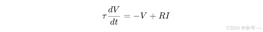
Lapicque模型描述了神经元膜电位的动态变化。该模型的基本方程可以表示为:

其中:
- V:膜电位。
- I:输入电流。
- R:膜电阻。
- τ=R×C :时间常数,控制膜电位对输入的响应速度。
参数解释
-
膜电阻(R):决定了膜电位对输入电流的响应强度。较大的电阻意味着较大的电位变化。
-
膜电容(C):决定了膜电位的充放电速度。较大的电容会导致膜电位的变化更加缓慢,因为它需要更多时间来充电或放电。
如何影响神经元行为
-
放电阈值:当膜电位达到一定的阈值时,神经元会产生脉冲(放电)。R和C的值会影响放电的频率和模式。
-
时间响应:膜电容和电阻的组合决定了神经元对输入信号的时间响应特性。这使得Lapicque模型能够模拟不同类型的神经元动态。
在代码中的使用
self.lif2 = snn.Lapicque(R=R, C=C)
这行代码定义了一个Lapicque型的脉冲神经元层,使用指定的膜电阻和膜电容。这使得神经元能够根据设置的电特性对输入信号进行动态响应,从而生成相应的脉冲输出。
611

被折叠的 条评论
为什么被折叠?



