👨🎓个人主页
💥💥💞💞欢迎来到本博客❤️❤️💥💥
🏆博主优势:🌞🌞🌞博客内容尽量做到思维缜密,逻辑清晰,为了方便读者。
⛳️座右铭:行百里者,半于九十。
📋📋📋本文目录如下:🎁🎁🎁
目录
💥1 概述
相移键控(PS K )是利用载波相位直接表示数字信号。假设载波的相位是对固定参考相位0而言,二进制相位调制(BPS K )以数字基带信号的“1”对应于已调信号中载波的“0”相位,而以数字基带信号的“0”对应于已调信号载波的相位(反之也可),BPS K 的表达式为:

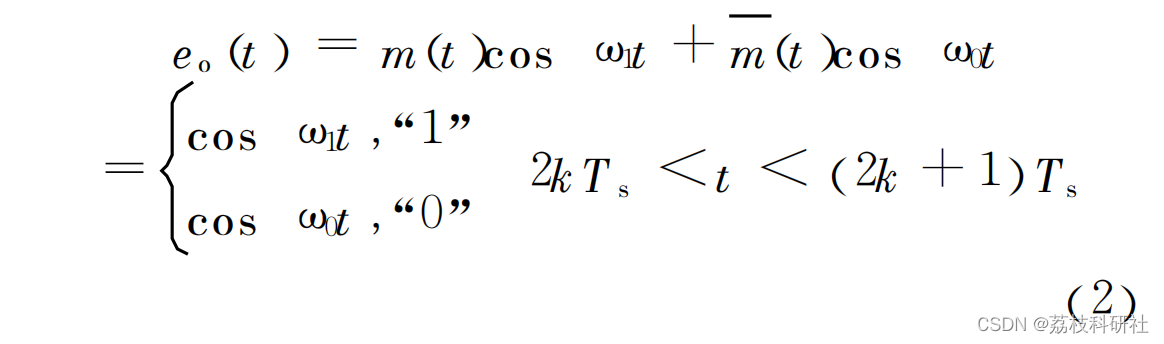
频移键控(FS K )调制是用数字基带信号来控制载波频率的变化,调制后的载波信号频率代表了 要 传 送 的 数 字 信 号,二 进 制 频 移 键 控 (BFS K )是用两个不同频率的载波信号来表示两个数字信号“1”或“0”。BFS K 的表达式为:

BPS K 、BFS K 信号的通用软件调制流程如图1所示。

BPS K 、BFS K 信号的通用软件解调流程如图2所示,采用这样的解调方法是因为在加性高斯白噪声信道中,最佳接收机是由信号相关器或匹配滤波器与检测器构成的接收机。
二进制频移键控FSK的数字调制研究
一、概述
二进制频移键控(Binary Frequency Shift Keying,BFSK)是一种数字调制技术,它利用载波的频率变化来传递数字信息。在BFSK中,两个不同的载波频率被用来表示二进制数据中的“0”和“1”。这种调制方式具有实现简单、抗噪声性能好等优点,在通信领域有着广泛的应用。
二、BFSK调制原理
BFSK调制的基本原理是通过改变载波的频率来表征数字信号的状态。具体来说,当发送二进制数据“0”时,载波频率为f1;当发送二进制数据“1”时,载波频率为f2。f1和f2是两个不同的频率值,它们之间的切换是瞬间的。因此,BFSK信号可以看作是两个不同载频的信号的叠加。
在数学上,BFSK信号可以表示为分段函数。例如,当发送“0”时,e2FSK(t)=Acos(ω1t);当发送“1”时,e2FSK(t)=Acos(ω2t),其中A是载波振幅,ω1和ω2分别是f1和f2的角频率。
三、BFSK调制方法
BFSK调制方法主要有以下几种:
- 频率键控法:利用受矩形脉冲序列控制的开关电路对两个不同的独立频率源进行选通,从而产生BFSK信号。这种方法的特点是转换速度快、波形好、稳定度高且易于实现。
- 直接调频法:直接用二进制基带矩形脉冲信号去调制一个调频器,使其输出两个不同频率的码元。虽然这种方法简单,但频率稳定度不高,同时转移速度也不能太高。
四、BFSK信号波形与特性
BFSK信号的波形由两个不同频率的载波组成,分别对应二进制数据中的“0”和“1”。在传输过程中,这两个载波信号的频率会在瞬间进行切换,以表示不同的数字信号。
BFSK信号具有以下特性:
- 抗干扰能力强:由于BFSK信号采用两个不同频率的载波来表示数字信号,因此它对频率偏移和相位噪声等干扰因素具有较强的抵抗能力。
- 实现简单:BFSK调制和解调的实现相对简单,不需要复杂的电路和算法。
- 频谱利用率低:由于BFSK信号需要占用两个不同频率的载波,因此其频谱利用率相对较低。
五、BFSK调制的应用
BFSK调制在通信领域有着广泛的应用,特别是在中低速数据传输中。以下是一些典型的应用场景:
- 无线电通信:在无线电通信中,BFSK调制常被用于实现简单的数字信号传输。
- 遥测遥控系统:在遥测遥控系统中,BFSK调制被用于传输控制指令和数据信息。
- 物联网通信:在物联网通信中,BFSK调制被用于实现设备之间的简单数据交换和通信。
六、结论
本文档对二进制频移键控(BFSK)的数字调制进行了深入研究。通过介绍BFSK调制原理、方法、信号波形与特性以及应用场景等方面的内容,我们了解了BFSK调制的基本原理和实现方式。同时,通过MATLAB代码示例的展示,我们也掌握了如何在MATLAB中进行BFSK调制的模拟和实现。BFSK调制作为一种简单而有效的数字调制技术,在通信领域具有广泛的应用前景。
📚2 运行结果

部分代码:
%For Plotting The First Carrier wave
figure('name','BFSK MODULATION','numbertitle','off');
subplot(4,1,1);
plot(t,c1,'m','linewidth',2');
xlabel('Time');
ylabel('Amplitude');
title('Carrier 1 Wave');
axis([0 1 -2 2]);
%For Plotting The Second Carrier wave
subplot(4,1,2);
plot(t,c2,'c','linewidth',2');
xlabel('Time');
ylabel('Amplitude');
title('Carrier 2 Wave');
axis([0 1 -2 2]);
subplot(4,1,3);
%For Plotting The Square Binary Pulse (Message)
plot(t,m,'r','linewidth',2');
xlabel('Time');
ylabel('Amplitude');
title('Binary Message Pulses');
axis([0 1 0 4]);
%For Plotting The Modulated wave
subplot(4,1,4);
plot(t,mm,'linewidth',2');
xlabel('Time');
ylabel('Amplitude');
title('Modulated Wave');
axis([0 1 -2 2]);
grid on;
🎉3 参考文献
部分理论来源于网络,如有侵权请联系删除。
[1]林顺英,卫翀华.基于虚拟仪器和软件无线电的BPSK、BFSK信号调制解调技术[J].北京石油化工学院学报,2006(02):30-32.
[2]王植,董梦菲,徐东明.基于BFSK的低压电力线通信系统研究[J].中国集成电路,2016,25(04):67-72.
[3]陈大平. 基于时频分析的BFSK信号解调的研究和实现[D].福州大学,2010.
[4]王平,高俊,王红霞.基于BFSK的紫外光调制电路设计与实现[J].舰船电子工程,2009,29(09):75-78+104.
1221

被折叠的 条评论
为什么被折叠?



