目录
本篇文章主要学习使用动态规划来解决回文串相关问题,我们通过相关练习来学习
练习1:回文子串
题目链接:
题目描述:
给你一个字符串 s ,请你统计并返回这个字符串中 回文子串 的数目。
回文字符串 是正着读和倒过来读一样的字符串。
子字符串 是字符串中的由连续字符组成的一个序列。
具有不同开始位置或结束位置的子串,即使是由相同的字符组成,也会被视作不同的子串。
示例 1:
输入:s = "abc" 输出:3 解释:三个回文子串: "a", "b", "c"
示例 2:
输入:s = "aaa" 输出:6 解释:6个回文子串: "a", "a", "a", "aa", "aa", "aaa"
提示:
1 <= s.length <= 1000s由小写英文字母组成
思路分析:
题目要求我们统计字符串中 回文子串 的数目,其中,具有不同开始位置或结束位置的子串,即使是由相同的字符组成,也会被视作不同的子串。如例2所示:

选择前两个位置的字符,形成子串 "aa",选择后两个位置的字符,形成子串"aa",这两个子串虽然字符相同,但其开始 和 结束位置不同,因此,视作不同的子串
子串:字符串中的由连续字符组成的一个序列。
我们来分析状态表示
状态表示:
要统计字符串中回文子串的个数,就是要判断字符串的所有子串是否回文,如何判断呢?
要判断子串是否是回文,首先要找到所有子串,
表示出所有子串
我们以 i 位置作为子串的起始位置,j 位置作为子串的结束位置
我们固定 i 位置,然后向后移动 j 位置,就可以枚举出 以 i 位置为起始的所有子串

然后向后移动 i,继续向后枚举

因此,我们使用两层 for 循环,就可以枚举出字符串的所有子串,也就是说,我们用 一个二维数组就可以表示出所有情况
我们以横坐标作为子串的起始位置,纵坐标作为子串的结束位置:
dp[i][j]:以 i 位置为起始,j 位置为结束的子串
由于起始位置 <= 结束位置,因此,我们只需要使用dp表中右上三角部分的空间就可以表示出所有子串

接下来,我们判断子串是否是回文串
判断子串是否是回文串
我们已经使用二维dp表表示出了所有情况,因此,我们只需要想办法在对应[i, j]位置上填上 true 或 false,就可以表示以 i 位置为起始,j位置为结束的字符是否是回文串了
因此,dp[i][j]:以 i 位置为起始,j位置为结束的子串是否是回文串
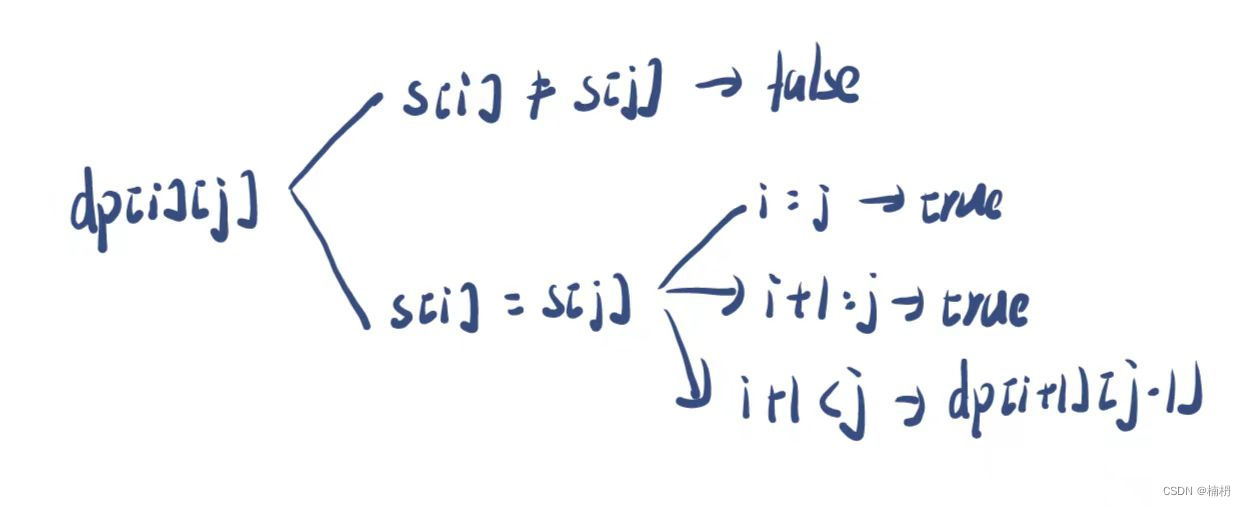
状态转移方程:

要判断子串(从i位置到j位置)是否是回文串,首先要判断两端点(s[i] == s[j])是否相同,
若两端的字符都不相同,则子串一定不是回文串
若两端点相同,我们还需分情况讨论:
若 i = j,则该子串只有一个字符,一定是回文串,dp[i][j] = true
若 i + 1 = j,该子串有两个字符且相同,一定是回文串,dp[i][j] = true
若 i + 1 < j,则该子串有多个字符,我们已经判断出两端点的字符相同,接下来,我们需要判断 [i+1, j-1]区间内的字符是否相同,即判断以 i + 1位置为起始,j - 1位置为结束的子串是否是回文串

而 dp[i+1][j-1] 表示 以 i + 1位置为起始,j - 1位置的子串是否是回文串,因此 dp[i][j] = dp[i+1][j-1]
因此,状态转移方程为:

初始化:
初始化要保证填表时不越界,但在填写dp表时,不会发生越界,因此我们无需初始化
填表顺序:
当 s[i] = s[j] 且 i + 1 < j 时,dp[i][j] = dp[i+1][j-1]

因此,在填写 [i][j]位置时要保证[i+1][j-1]位置已经填写,因此,需要从下往上填写,而在填写每一行时,从左往右或从右往左都可以
返回值:
要求回文子串的个数,因此,要返回 dp 表中 true 的个数
代码实现:
class Solution {
public int countSubstrings(String s) {
int n = s.length();
int ret = 0;//统计回文子串的个数
//创建dp表
boolean[][] dp = new boolean[n][n];
//初始化
//填表
for(int i = n - 1; i >= 0; i--){
for(int j = i; j < n; j++){
if(s.charAt(i) == s.charAt(j)){
if(i == j || i + 1 == j) dp[i][j] = true;
else dp[i][j] = dp[i + 1][j - 1];
}
if(dp[i][j]) ret++;
}
}
//返回
return ret;
}
}
练习2:最长回文子串
题目链接:
题目描述:
给你一个字符串 s,找到 s 中最长的回文子串。
如果字符串的反序与原始字符串相同,则该字符串称为回文字符串。
示例 1:
输入:s = "babad" 输出:"bab" 解释:"aba" 同样是符合题意的答案。
示例 2:
输入:s = "cbbd" 输出:"bb"
提示:
1 <= s.length <= 1000s仅由数字和英文字母组成
思路分析:
题目要求我们找到字符串中的最长回文子串。因此,我们首先要判断子串是否是回文串,然后再找到其中最长的回文子串
本题的解题思路与 练习1:回文子串 类似
我们可以使用二维dp表表示出所有情况,判断出所有子串是否为回文串
若 dp[i][j] = true,则以 i 位置为起始,j 位置为结尾的子串是回文串,其长度为 j - i + 1
因此,我们只需找到回文子串中 j - i + 1 的最大值,即可找到最长的回文子串
代码实现:
class Solution {
public String longestPalindrome(String s) {
int n = s.length();
int begin = 0, len = 1;//记录最长子串的起始位置和长度
//创建dp表
boolean[][] dp = new boolean[n][n];
//初始化
//填表
for(int i = n - 1; i >= 0; i--){
for(int j = i; j < n; j++){
if(s.charAt(i) == s.charAt(j)){
dp[i][j] = i + 1 < j ? dp[i + 1][j - 1] : true;
}
if(dp[i][j] && j - i + 1 > len){
len = j - i + 1;
begin = i;
}
}
}
//返回
return s.substring(begin, begin + len);
}
}
练习3:回文串分割IV
题目链接:
题目描述:
给你一个字符串 s ,如果可以将它分割成三个 非空 回文子字符串,那么返回 true ,否则返回 false 。
当一个字符串正着读和反着读是一模一样的,就称其为 回文字符串 。
示例 1:
输入:s = "abcbdd" 输出:true 解释:"abcbdd" = "a" + "bcb" + "dd",三个子字符串都是回文的。
示例 2:
输入:s = "bcbddxy" 输出:false 解释:s 没办法被分割成 3 个回文子字符串。
提示:
3 <= s.length <= 2000s 只包含小写英文字母。
思路分析:
将字符串分割成三个非空字符串,若分割后三个子串都是回文串,则返回true,不能分割,则返回false

设中间字符串的起始位置为 i,结束位置为 j
则划分后三个子串的区间分别为:[0, i - 1] [i, j] [j + 1, n-1]
此时,我们需要判断三个子串是否是回文串
同样的,我们可以使用二维dp表表示出所有情况,判断出所有子串是否为回文串
此时,判断这三个子串是否是回文串就变得非常简单了,只需判断 dp[0][i - 1]、dp[i, j] 和 dp[j + 1][n - 1] 是否都为true,就可以判断出这三个子串是否都是回文串了
因此,只需先判断所有子串是否是回文串,然后枚举第二个字符串所有的起始位置和结束位置,查询这三段非空子串是否是回文串即可
代码实现:
class Solution {
public boolean checkPartitioning(String s) {
int n = s.length();
boolean[][] dp = new boolean[n][n];
//判断所有子串是否是回文串
for(int i = n - 1; i >= 0; i--){
for(int j = i; j < n; j++){
if(s.charAt(i) == s.charAt(j)) dp[i][j] = i + 1 < j ? dp[i + 1][j - 1] : true;
}
}
//枚举第二个字符串的所有起始位置和结束位置
for(int i = 1; i < n - 1; i ++){
for(int j = i; j < n - 1; j++){
if(dp[0][i - 1] && dp[i][j] && dp[j + 1][n - 1]) return true;
}
}
return false;
}
}
练习4:分割回文串
题目链接:
题目描述:
给你一个字符串 s,请你将 s 分割成一些子串,使每个子串都是回文串。
返回符合要求的 最少分割次数 。
示例 1:
输入:s = "aab" 输出:1 解释:只需一次分割就可将 s 分割成 ["aa","b"] 这样两个回文子串。
示例 2:
输入:s = "a" 输出:0
示例 3:
输入:s = "ab" 输出:1
提示:
1 <= s.length <= 2000s仅由小写英文字母组成
思路分析:
要求将字符串分割成子串的最少分割次数
状态表示:
我们首先以 i 位置为结尾进行分析:
则 dp[i]: [0, i]区间内的最少分割次数
状态转移方程:
若 以 0 位置为起始,i位置为结尾的子串是回文串,此时不需要分割,dp[i] = 0
而 以 0 位置为起始,i位置为结尾的子串不是回文串时,我们根据前面的状态来推导 dp[i]
假设我们在 j 位置进行分割,则分割出 以 j 位置为起始,i 位置为结尾的子串,若这个子串是回文串

则 我们只需要考虑 [0, j - 1]区间内分割了多少词(dp[j - 1]),再加上这一次,就可以 得到 dp[i]
因此,我们先考虑最后一次分割:
假设在 j 位置进行分割(0 < j <= i),然后判断 从 j 到 i 这个子串是否是回文串:
若 是 回文串,则 dp[i] = dp[j - 1] + 1
若 不是 回文串,此时这种分割方式不合理,不考虑
我们要求最小分割次数,因此 我们要求能够分割的情况中的最小值(即min(dp[j - 1] + 1))
在此过程中,我们需要判断 [0, i ] 区间子串是否是回文,[j, i]区间子串是否是回文,因此,我们同样可以使用 二维dp表,判断所有子串是否是回文串

初始化:
初始化要保证填表时不越界,当 j = 0时可能会越界,但 j 不可能为 0,因此不会发生越界,但由于我们要求 dp[i]的最小值,因此我们可以将所有的值都初始化为最大值
填表顺序:
填写 dp[i] 时,要保证 dp[j - 1]已经填写,j - 1 在 i 位置之前,因此 填表顺序为从左到右
返回值:
dp[i] :0 到 i 位置的最小分割次数,要求字符串的最小分割次数,因此返回 dp[n - 1]
代码实现:
class Solution {
public int minCut(String s) {
//预处理
int n = s.length();
boolean[][] isPal = new boolean[n][n];
for(int i = n - 1; i >= 0; i--){
for(int j = i; j < n; j++){
if(s.charAt(i) == s.charAt(j)) isPal[i][j] = i + 1 < j ? isPal[i + 1][j - 1] : true;
}
}
//创建dp表
int[] dp = new int[n];
//初始化
for(int i = 0; i < n; i++) dp[i] = Integer.MAX_VALUE;
//填表
for(int i = 0; i < n; i++){
if(isPal[0][i]) dp[i] = 0;
else{
for(int j = 1; j <= i; j++){
if(isPal[j][i]) dp[i] = Math.min(dp[i], dp[j - 1] + 1);
}
}
}
//返回
return dp[n - 1];
}
}
练习5:最长回文子序列
题目链接:
题目描述:
给你一个字符串 s ,找出其中最长的回文子序列,并返回该序列的长度。
子序列定义为:不改变剩余字符顺序的情况下,删除某些字符或者不删除任何字符形成的一个序列。
示例 1:
输入:s = "bbbab" 输出:4 解释:一个可能的最长回文子序列为 "bbbb" 。
示例 2:
输入:s = "cbbd" 输出:2 解释:一个可能的最长回文子序列为 "bb" 。
提示:
1 <= s.length <= 1000s仅由小写英文字母组成
思路分析:
本题与前面的题不同,要求的是最长回文序列,子串,是连续的字符串,而子序列,可以是连续的,也可以是不连续的,是在不改变剩余字符顺序的情况下,删除某些字符或者不删除任何字符形成的一个序列。
状态表示:
我们首先以 i 位置为结尾进行分析,则 dp[i]:以 i 位置为结尾的所有子序列中,最长的回文子序列的长度
接着,我们来分析状态转移方程:
我们需要根据前面的状态来推导dp[i],我们以 i - 1位置进行分析,但是 dp[i - 1] :以 i 位置为结尾的所有子序列中,最长的回文子序列的长度,我们不知道回文子序列是怎样的,不能确定添加s[i]后是否依旧是回文子序列,因此无法确定dp[i]
我们再考虑其他方法
若 以 i 位置为起始,j 位置为结尾的子串是回文串,在这个子串的左右加上相同的字符,新的子串依旧是回文串
则,若[i + 1, j - 1]内存在最长回文子序列,则

若s[i] == s[j],则最长回文子序列长度 + 2,则[i, j]区间内的最长回文子序列长度 = [i + 1, j - 1]区间内最长回文子序列长度 + 2,因此我们可以根据[i+1, j - 1]区间内的最长回文子序列长度,推导出[i, j]区间内最长回文子序列的长度
我们根据这个思路来定义状态表示:
dp[i][j]:字符串[i, j]区间内的最长回文子序列长度
接下来,我们分析状态转移方程
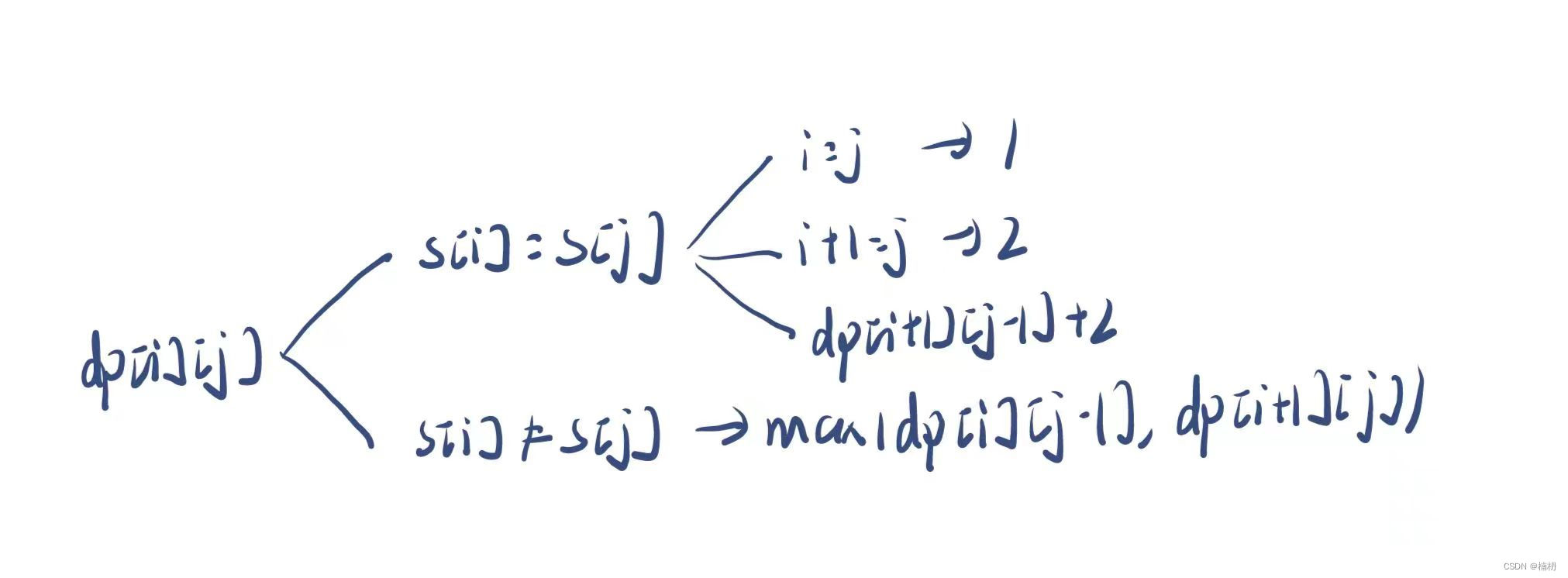
状态转移方程:
我们以 i 位置为起始,j 位置为结束
若 s[i] = s[j],则 dp[i][j] = dp[i + 1][j - 1] + 1,但前提条件是dp[i + 1][j - 1]存在,因此,我们需要分情况讨论:
若 i = j,则[i, j]区间内只有一个字符,则 最长回文子序列长度为 1
若 i + 1 = j,则[i, j]区间内有两个相同的字符,则 最长回文子序列长度为 2
若 i + 1 < j,则[i, j]区间内有多个字符,则只需要在[i + 1, j - 1]区间内找到最长回文子序列长度,然后再 + 2,即 dp[i + 1][j - 1] + 2
若 s[i] != s[j],则最长回文子序列一定不可能 以 i 位置为起始,以 j 位置为结束,因此,我们可以在[i, j - 1]内找最长回文子序列长度,然后在[i + 1, j]区间内找最长回文子序列长度,最后取其中的较大值,即 max(dp[i, j - 1], dp[i + 1, j])

因此,状态转移方程为:

初始化:
由于在填表时不会发生越界,因此无需初始化
填表顺序:
由于 i <= j,因此只会填写:

在填写dp[i][j]时,需要 dp[i + 1][j - 1]、dp[i][j - 1] 和 dp[i - 1][j]

因此,我们首先要保证从下往上填写,在填写时需要用到左边的值,因此在填写每一行时,要从左往右填写
返回值:
dp[i][j]: 字符串[i, j]区间内的最长回文子序列长度,而需要求字符串的最长回文子序列长度,即起始位置为0,结束位置为 n - 1,因此,返回dp[0][n - 1]
代码实现:
class Solution {
public int longestPalindromeSubseq(String s) {
int n = s.length();
//创建dp表
int[][] dp = new int[n][n];
//初始化
//填表
for(int i = n - 1; i >= 0; i--){
for(int j = i; j < n; j++){
if(s.charAt(i) == s.charAt(j)){
if(i == j) dp[i][j] = 1;
else if(i + 1 == j) dp[i][j] = 2;
else dp[i][j] = dp[i + 1][j - 1] + 2;
}else{
dp[i][j] = Math.max(dp[i][j - 1], dp[i + 1][j]);
}
}
}
//返回
return dp[0][n - 1];
}
}
练习6:让字符串成为回文串的最小插入次数
题目链接:
1312. 让字符串成为回文串的最少插入次数 - 力扣(LeetCode)
题目描述:
给你一个字符串 s ,每一次操作你都可以在字符串的任意位置插入任意字符。
请你返回让 s 成为回文串的 最少操作次数 。
「回文串」是正读和反读都相同的字符串。
示例 1:
输入:s = "zzazz" 输出:0 解释:字符串 "zzazz" 已经是回文串了,所以不需要做任何插入操作。
示例 2:
输入:s = "mbadm" 输出:2 解释:字符串可变为 "mbdadbm" 或者 "mdbabdm" 。
示例 3:
输入:s = "leetcode" 输出:5 解释:插入 5 个字符后字符串变为 "leetcodocteel" 。
提示:
1 <= s.length <= 500s中所有字符都是小写字母。
思路分析:
题目要求我们在字符串中插入字符使其成为回文串,要求出最少插入次数
状态表示:
与 练习5:最长回文子序列 类似,当我们选择以 i 位置为结尾时,很难推出状态转移方程,因此,我们以 [i, j]区间来研究问题(i <= j)
dp[i][j]:[i, j]区间内,使其成为回文串的最小插入次数
状态转移方程:
我们根据最后一步来划分问题,也就是根据两个端点(i,j)来划分问题:
若 s[i] = s[j]:
若 i = j,则[i, j]区间内只有一个字符,此时已经是回文串了,插入次数为0
若 i + 1 = j,则[i, j]区间内有两个字符相同的字符,此时也是回文串了,插入次数为 0
若 i + 1 < j,则[i, j]区间内有多个字符,由于s[i] = s[j],因此两端字符不用考虑,只需考虑[i + 1, j - 1]区间内的最小插入次数,即 dp[i + 1][j - 1]
若 s[i] != s[j]:
此时我们在[i, j]区间的最左边添加上字符s[j],就可以与 最右边的s[j]匹配,此时,我们只需考虑[i, j - 1]区间内的最小操作次数,即 dp[i][j - 1],然后再加上此时添加的一个字符,即 dp[i][j - 1] + 1

同样的,在最右边添加上字符s[i],就可以和最左边的s[i]匹配,此时只需考虑[i + 1, j]区间内的最小操作次数,即 dp[i + 1][j],然后再加上此时添加的一个字符,即 dp[i + 1][j] + 1
要最小操作次数,只需取最小值,min(dp[i + 1][j] + 1, dp[i][j - 1] + 1)
因此,状态转移方程为:

初始化: 由于在填表时不会发生越界,因此无需初始化
填表顺序:
在填写dp[i][j]时,需要 dp[i + 1][j - 1]、dp[i][j - 1] 和 dp[i - 1][j]

因此,我们首先要保证从下往上填写,在填写时需要用到左边的值,因此在填写每一行时,要从左往右填写
返回值:
dp[i][j]:[i, j]区间内,使其成为回文串的最小插入次数,而需要求字符串成为回文串的最少插入次数,即起始位置为0,结束位置为 n - 1,因此,返回dp[0][n - 1]
代码实现:
class Solution {
public int minInsertions(String s) {
int n = s.length();
//创建dp表
int[][] dp = new int[n][n];
//填表
for(int i = n-1; i >= 0; i--){
for(int j = i + 1; j < n; j++){//i = j的时候,dp[i][j] = 0,因此无需再考虑
if(s.charAt(i) == s.charAt(j)){
dp[i][j] = dp[i+1][j-1];
}else{
dp[i][j] = Math.min(dp[i][j - 1] + 1, dp[i + 1][j] + 1);
}
}
}
//返回
return dp[0][n - 1];
}
}
1502

被折叠的 条评论
为什么被折叠?



