最后
经过日积月累, 以下是小编归纳整理的深入了解Java虚拟机文档,希望可以帮助大家过关斩将顺利通过面试。
由于整个文档比较全面,内容比较多,篇幅不允许,下面以截图方式展示 。







由于篇幅限制,文档的详解资料太全面,细节内容太多,所以只把部分知识点截图出来粗略的介绍,每个小节点里面都有更细化的内容!

图1 QPSK信号产生原理
2.3 2FSK
FSK( Frequency shift Keying) 频移键控是利用载 波的频率变化来传递数字信息。它是利用基带数字信 号离散取值特点去键控载波频率以传递信息的一种数 字调制技术。FSK 是信息传输中使用得较早的一种调 制方式,它的主要优点是: 实现起来较容易,抗噪声与 抗衰减的性能较好,在中低速数据传输中得到了广泛的应用[3]。
最常见的是用两个频率承载二进制1 和0 的双频 2FSK[4]。2FSK键控法则是利用受矩形脉冲序列控制的开关电路对两个不同的独立频率源进行选通。键控 法的特点是转换速度快、波形好、稳定度高且易于实 现,故应用广泛。最常见的是用两个频率承载二进制 1 和0 的二进制频移键控( 2FSK) ,其时域表达式可写为:

****2.****4 QAM
随着通信技术的发展,随着业务类型的 多样化和用户数目的迅速增长,带宽的限制 越来越明显。如何能在有限的带宽下提高频 谱利用率、获得更高的传输速率,改变传输 方式、引入先进通信技术成为主要的追求。 最小频移键控、正交幅度调制、正交频分复 用调制等技术都是提高频谱利用率、获得更 高的传输速率的典型代表。 正交幅度调制,也就是 QAM技术,它 是利用正交载波分别对两路信号进行抑制载 波的调幅,然后相加后进入后续的传输和处 理。对于MQAM 信号,一般的表达式为:

(9)
式中,An是基带信号的振幅,g(t-nTs)是宽度为Ts的第n个码元基带信号波形,
是第n个码元载波的相位。
通常的QAM 技术有 4QAM、16QAM、64QAM,分别对应空间星座点的个数是4个、 16个、64个。星座点个数越多,频谱利用 率越高,单位时间传输的信息量越大;但是 QAM的阶数越多,星座点个数就越多,星 座点之间的距离越近(如图1),差错率越高。



图2 QAM星座图
可以看出星座点均匀的分布在四个象限,在信道比较理想,没有噪声和干扰影响时,星座点很清晰。但是如果加入了信道影响后,信号会发生失真,从时域波形上表现为毛刺增多抖动增大;如果从星座点上来看,表现为星座点位置上的扩张,星座点的模 糊。因此,QAM的阶数越多,相位就会越 模糊,相邻的星座点甚至会连在一起,无法 判断或识别本来信号面目。可见,在同样的 信道环境和其他技术条件的情况下,QAM 阶数越高,传输速率越大,但是误码率越高。 选择哪种 QAM 方式,要依据的传输环境和 系统性能来定。当输入的两路信号是二进制 数字信号时,通过乘以正交载波后,生成了 4QAM方式;当输入的两路信号是四进制 数字信号时,通过乘以正交载波后,生成了 16QAM方式;当输入的两路信号是八进制 数字信号时,通过乘以正交载波后,生成了 64QAM方式。可以看出正交载波的调制, 再并上多进制的输入信号,就可以生成多阶 QAM。需要关注的是,在采用QAM技术时, 为了产生良好的星座图,就要保证仿真数据足够多。
Ⅲ 信道模型
3****.****1 高斯信道模型
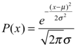
在通信系统中噪声是一个随机过程,很难通过简单的计算方式预测某个时刻噪声信号的强度,故从概率论的角度去分析噪声. 白噪声存在于整个频谱范围内,所以在任何的信道内都存在高斯白噪声. 对于一维的高斯随机变量x ,如果它的均值为μ ,方差等于 σ 2,则随机变量取值为x的概率P(x) ,由下 式确定:

(10)
****2.****5 瑞利衰落信道模型

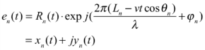
图3 信号的多径传播
参考图3,式(11)为基站发出信号的延迟波, fc(Hz)为发出时频率,θn为附加角度

(11)
其中,Re给出附加波复包络的实部,n为附加波编号,j是虚单位。en(t)由式(12)给出,Ln为传输路径长度(m) , v 为移动台的速度(m/s),λ为波长(m)

(12)
Rn和
是附加波n的包络和相位,xn(t)和 yn(t)分别是en(t)同相和正交分量,附加波n由多普勒效应引起的多普勒频移为

(13)
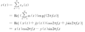
移动台收到的波形是以上所提到的附加波的合成,当波的数目为 N 时,接收波记为r(t):

(14)
x(t)和y(t)表达式如式(15)、式(16)所示:

(15)

(16)
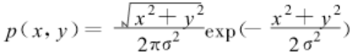
x(t)和y(t)是归一化随机过程. 当 N 足够大时,其均值为 0,方差为 σ. 令 x =x(t) ,y =y(t) ,可以得出 x(t)和 y( t)的联合概率密度函数:

(17)
此外,也可以用接收波的幅度和相位表示r(t):

(18)
R(t)和θ(t)为:

(19)
通过使用变量代换,p(x ,y)表示为 p(R , θ ):

(20)
对θ从0到2π积分,可得概率密度函数p®:

(21)
对R从0到∞积分,可得概率密度函数p(θ):

(22)
式(11)和式(12)表明信号衰落的包络变化服从瑞利分布,相位变化服从均匀分布。
最后
分享一套我整理的面试干货,这份文档结合了我多年的面试官经验,站在面试官的角度来告诉你,面试官提的那些问题他最想听到你给他的回答是什么,分享出来帮助那些对前途感到迷茫的朋友。
面试经验技巧篇
- 经验技巧1 如何巧妙地回答面试官的问题
- 经验技巧2 如何回答技术性的问题
- 经验技巧3 如何回答非技术性问题
- 经验技巧4 如何回答快速估算类问题
- 经验技巧5 如何回答算法设计问题
- 经验技巧6 如何回答系统设计题
- 经验技巧7 如何解决求职中的时间冲突问题
- 经验技巧8 如果面试问题曾经遇见过,是否要告知面试官
- 经验技巧9 在被企业拒绝后是否可以再申请
- 经验技巧10 如何应对自己不会回答的问题
- 经验技巧11 如何应对面试官的“激将法”语言
- 经验技巧12 如何处理与面试官持不同观点这个问题
- 经验技巧13 什么是职场暗语

面试真题篇
- 真题详解1 某知名互联网下载服务提供商软件工程师笔试题
- 真题详解2 某知名社交平台软件工程师笔试题
- 真题详解3 某知名安全软件服务提供商软件工程师笔试题
- 真题详解4 某知名互联网金融企业软件工程师笔试题
- 真题详解5 某知名搜索引擎提供商软件工程师笔试题
- 真题详解6 某初创公司软件工程师笔试题
- 真题详解7 某知名游戏软件开发公司软件工程师笔试题
- 真题详解8 某知名电子商务公司软件工程师笔试题
- 真题详解9 某顶级生活消费类网站软件工程师笔试题
- 真题详解10 某知名门户网站软件工程师笔试题
- 真题详解11 某知名互联网金融企业软件工程师笔试题
- 真题详解12 国内某知名网络设备提供商软件工程师笔试题
- 真题详解13 国内某顶级手机制造商软件工程师笔试题
- 真题详解14 某顶级大数据综合服务提供商软件工程师笔试题
- 真题详解15 某著名社交类上市公司软件工程师笔试题
- 真题详解16 某知名互联网公司软件工程师笔试题
- 真题详解17 某知名网络安全公司校园招聘技术类笔试题
- 真题详解18 某知名互联网游戏公司校园招聘运维开发岗笔试题

资料整理不易,点个关注再走吧
真题详解18 某知名互联网游戏公司校园招聘运维开发岗笔试题
[外链图片转存中…(img-uqnwdih7-1715282126068)]
资料整理不易,点个关注再走吧
2289

被折叠的 条评论
为什么被折叠?



