本案例基于最近邻分类器这一分类器算法模型,在HarmonyOS上实现了简单的图像识别。事实上,最近邻分类器用在图像识别上的灵敏度并不高(错误率还是有点大的),而笔者编写这个案例的初衷,是为了能体验最近邻分类器的思维,以及探索如何在HarmonyOS中处理图像数据。

开发环境要求
• DevEco Studio版本:DevEco Studio 3.1 Release
• HarmonyOS SDK版本:API version 9
工程要求
• API9
• Stage模型

最近邻分类器简介
最近邻分类器是模式识别领域中的一个较为简单的分类器模型,而分类器指的是用于解决分类问题的机器学习算法。此分类器基于一个简单的假设,即如果一个样本在特征空间中的最近邻属于某个类别,则该样本也属于该类别。由此可见,最近邻分类器的基本逻辑是,让样本A模拟分类器中已经训练过的某个数据B(即将A视为B),当B属于某个类别λ时,A也属于类别λ。
下面是关于最近邻分类器的一个简单例子:
假设在传送带上有两种鱼,分别是鲈鱼(seabass)和鲑鱼(salmon)。现在我们需要用光学传感器对传送带上的鱼按品种进行分类,因此需要设计一个分类器,不妨设计一个最近邻分类器。假如我们只考虑鱼的两个特征——宽度和鱼身的亮度,现在我们选取十条鲈鱼和十条鲑鱼进行特征提取,并建立一个平面直角坐标系(y轴用于表示宽度特征的数值,x轴用于表示亮度特征的数值,这样就构成了一个二维特征空间),再将每条鱼的由其宽度值和亮度值确定的坐标在图中显示出来。

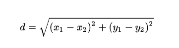
图中,红色点代表鲑鱼样本的特征向量,蓝色点代表鲈鱼样本的特征向量,它们都属于被训练的数据。当检测设备获取了某条品种未知的鱼的亮度特征和宽度特征时,最近邻分类器所要做的是:先将此品种未知的鱼的亮度值和宽度值表示成特征空间上的向量P,然后计算向量P与每个已训练样本向量的距离。其中,距离采用欧式范数,在二维空间中计算公式为

由于先前已训练了20项数据,所以我们可以获取20项距离数据,将它们表示为d1, d2, ... ,d20。接着,分类器通过逐项比较获取最小距离di(i∈[1,20]∩N),这意味着第i个已训练样本是未知品种的鱼的最近邻。因此,当第i个已训练样本属于鲈鱼品种时,上述品种未知的鱼将被分类为鲈鱼,否则分类为鲑鱼。
基于最近邻分类器的图像识别算法
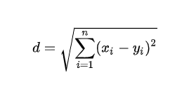
首先需要明确的是,本案例的图像识别分类器所分类的对象是灰度图。图像识别的最近邻分类器与前面提到的例子十分类似,只不过在图像识别中,样本的每个像素点的灰度值是一个特征维。假设分类器所处理的图像规模是100px乘100px,那么对应的特征空间就是10000维的高维空间,而每个图像样本经特征提取后都可以表示成10000维空间的一个向量。虽然特征空间的维度升高了不少,但分类算法在本质上没有差别。同先前的例子一样,图片分类的依据是被测样本的最近邻,所以我们需要计算被测样本对应在高维空间中的向量与其他已训练样本的向量的距离,这里的距离仍采用欧式范数

找出被测样本的最近邻后,我们便可以凭借此最近邻进行图片分类。
代码结构
─entry/src/main
├─ module.json5
├─ resources
│ ├─ zh_CN
│ ├─ rawfile
│ │ ├─ p1.png
│ │ ├─ p2.png
│ │ ├─ p3.png
│ │ ├─ p4.png
│ │ ├─ p5.png
│ │ ├─ p6.png
│ │ ├─ s1.png
│ │ └─ s2.png
│ ├─ en_US
│ └─ base
└─ ets
├─ XL_Modules
│ └─ XL_Image_NNC.ts
├─ pages
│ └─ Index.ets
└─ entryability
└─ EntryAbility.ts
图片解码流程
图片解码指将所支持格式的存档图片解码成统一的PixelMap,以便在应用或系统中进行图片显示或图片处理。
在本案例中,不论是用于训练分类器的图片还是待检测的图片,都需要提前放入Demo
的rawfile目录下的。如果要获取某个图像资源,我们只需要知道此图像的名称(字符串数据),然后通过资源管理者模块resourceManager即可取得。如下给出以获取rawfile目录下名为'p1.png',大小为100px乘100px的图片资源为例,需要编写的相关操作语句。
获取resourceManager
let context = getContext(this)
const resourceMgr = context.resourceManager
获取rawfile文件夹下p1.png的ArrayBuffer
let Data = await resourceMgr.getRawFileContent('test.jpg')
let buffer = Data.buffer
创建ImageSource实例
const imageSource = image.createImageSource(buffer)
创建PixelMap实例
const pixelMap = await imageSource.createPixelMap();
因为我们需要做图像处理,所以还需要创建一个ArrayBuffer实例(buffer对象),并读取PixelMap实例的数据至buffer中。这样以后,buffer就是一个储存了p1.png图像数据的BGRA_8888格式的数组(也可以称之为向量)了。
let dim = 100*100*4 //维度
let buffer = new ArrayBuffer(dim)
await pixelMap.readPixelsToBuffer(buffer)
.catch(err => {
console.error(`err: +${err}`)
})
由于buffer是BGRA_8888格式的数组,所以buffer中第i,i+1,i+2, i+3(i∈[0,dim/4-1])分别代表某个像素点蓝色分量(B),绿色分量(G),红色分量(R)和透明度分量(A)。因为本案例的图像识别是在灰度图的基础上进行的,所以我们还需要将BGRA_8888格式的数组转化为灰度值数组。
RGB图转灰度图并不难,只需要将每个像素点的蓝色,绿色和红色分量加权求和,就可以得到每个像素点的灰度值。其中,灰度值 = (红色通道值 * 0.299) + (绿色通道值 * 0.587) + (蓝色通道值 * 0.114)。这里的加权系数是根据人眼对不同颜色敏感度的差异来确定的。
关键代码
XL_Image_NNC.ts
import image from '@ohos.multimedia.image';
import common from '@ohos.app.ability.common';
//所操作图片的尺寸(图片的宽高一致)
const OPERATION_SIZE = 100
/*
* 函数名: Get_NumberType_Array_MinValue_Index
* 描述: 返回输入的number型Array中数值最小的元素所在索引
*/
function Get_NumberType_Array_MinValue_Index(arr:Array<number>):number{
let location:number = 0
for(var i = 0; i < arr.length; ++i){
if(arr[i]<arr[location]){
location = i
}
}
return location
}
//最近邻分类器能力接口
interface I_Nearest_Neighbor_Classifier{
train(context:common.Context,Train_Data:Array<string>)
identify(test_data:string)
}
/*
* 类名: XL_Image_NNC
* 描述: 基于最近邻分类器的图像识别模块
*/
class XL_Image_NNC implements I_Nearest_Neighbor_Classifier{
//日志标签
private TAG:string = '------[XL_Image_NNC] '
//BGRA_8888图对应向量的规模
private dim_rgb:number = 4*(OPERATION_SIZE**2)
//灰度图对应向量的规模
private dim_gray:number = OPERATION_SIZE**2
//RGB图向量转化为灰度图向量时, 三原色(red green blue)通道值各自占灰度值的权重, 并且满足R_Weight + G_Weight + B_Weight = 1
private R_Weight:number = 0.299
private G_Weight:number = 0.587
private B_Weight:number = 0.114
//已加入的图像向量的集合(BGRA_8888)
private Trained_Data_RGB:Array<Uint8Array> = []
//已加入的图像向量的集合(灰度图)
private Trained_Data_Gray:Array<Uint8Array> = []
//存储距离(欧式范数)的数组
private Distance_Array:Array<number> = []
//储存资源管理模块的变量
private resourceMgr = null
/*
* 方法名: train
* 描述: 为分类器填充数据, 使得分类器获取监督模式识别的功能
* 参数: context: UIAbility的上下文对象 Train_Data: 待训练的图片集(图片需要提前储存在rawfile目录下)
*/
public async train(context:common.Context,Train_Data:Array<string>) {
//通过context获取ResourceManager(资源管理模块)
this.resourceMgr = context.resourceManager
//遍历和处理待输入的图片数据
for (var item of Train_Data) {
//通过resourceMgr的getRawFileContent方法(填入图片的文件名字符串),获取rawfile目录下某个图片所资源对应的UintArray
let rawData = await this.resourceMgr.getRawFileContent(item)
//通过先前获取的UintArray创建ImageSource实例
let imageSource = image.createImageSource(rawData.buffer)
//通过ImageSource实例创建像素表
let pixelMap = await imageSource.createPixelMap()
//将像素表读取到新建的ArrayBuffer变量中
let buffer = new ArrayBuffer(this.dim_rgb)
await pixelMap.readPixelsToBuffer(buffer)
.catch(err => {
console.error(this.TAG+`err: +${err}`)
})
//最后将ArrayBuffer携带的RGB型图像向量存入Trained_Data_RGB(向量集合)中
this.Trained_Data_RGB.push(new Uint8Array(buffer))
}
//将获取的RGB型图像向量集合转化为灰度型图像向量集合
for(var element of this.Trained_Data_RGB){
let GrayScaleVector = new Uint8Array(this.dim_gray)
let index:number = 0
//遍历RGB型图像向量的元素
for(var i = 0; i < element.length; i++){
if((i+1)%4 == 0){
//获取像素点的R,G,B通道值, 将他们加权求和得到灰度值
var grayScale = this.R_Weight*element[i-3]+this.G_Weight*element[i-2]+this.B_Weight*element[i-1]
//存储
GrayScaleVector[index++] = grayScale
}
}
//最后将GrayScaleVector携带的灰度型图像向量存入Trained_Data_Gray(向量集合)中
this.Trained_Data_Gray.push(GrayScaleVector)
}
}
/*
* 方法名: identify
* 描述: 基于已获取的数据,完成监督模式识别,返回输入样本的最近邻在Trained_Data_Gray中的索引
* 参数: test_data: 待识别的图片(图片需要储存在rawfile目录下)
*/
public async identify(test_data:string):Promise<number>{
//排除异常情况
if(this.resourceMgr == null){
console.error(this.TAG+'Please train the image data before identifying')
return -1
}
//获取rawfile目录下某个图片所对应的UintArray
let rawData = await this.resourceMgr.getRawFileContent(test_data)
//通过先前获取的UintArray创建ImageSource实例
let imageSource = image.createImageSource(rawData.buffer)
//通过ImageSource实例创建像素表
let pixelMap = await imageSource.createPixelMap()
//将像素表读取到新建的buffer变量中
let buffer = new ArrayBuffer(this.dim_rgb)
await pixelMap.readPixelsToBuffer(buffer)
.catch(err => {
console.error(this.TAG+`err: +${err}`)
})
let Sample_RGB = new Uint8Array(buffer)
let Sample_Gray = new Uint8Array(this.dim_gray)
let index:number = 0
//将RGB型的图像向量转化为灰度型的图像向量
for(var i = 0; i < Sample_RGB.length; i++){
if((i+1)%4 == 0){
var grayScale = this.R_Weight*Sample_RGB[i-3]+this.G_Weight*Sample_RGB[i-2]+this.B_Weight*Sample_RGB[i-1]
Sample_Gray[index++] = grayScale
}
}
//赋初值
this.Distance_Array = []
//计算待检测图像向量与每项已训练图片向量在高维空间的的距离(距离采用欧式范数), 即(Σ(A[i] - B[i]))^0.5, i ∈ [0, dim_gray) ∩ N
for(var item of this.Trained_Data_Gray){
var distance:number = 0
//计算dim_gray维向量空间上样本与已训练数据的距离(欧式范数)
for(var i = 0; i < this.dim_gray; i++){
distance += (Sample_Gray[i]-item[i])**2
}
distance = distance**0.5
this.Distance_Array.push(distance)
console.info(this.TAG+'distance: '+distance)
}
//获取Distance_Array中最小元素所在索引并输出, 此索引即为样本的最近邻在Trained_Data_Gray中的索引
return Get_NumberType_Array_MinValue_Index(this.Distance_Array)
}
}
//导出本模块
export default new XL_Image_NNC()
同往期一样,笔者青睐于将新开发的功能集成到一个ts文件里并导出,以方便管理与维护。在本模块中,功能被集成在类XL_Image_NNC中,其中,train方法用于为分类器训练数据(虽然不涉及迭代的过程,姑且将其称为"训练"吧),identify方法则是基于已训练的数据进行图像分类。
最后
如果你想快速提升鸿蒙技术,那么可以直接领取这份包含了:【OpenHarmony多媒体技术、Stage模型、ArkUI多端部署、分布式应用开发、音频、视频、WebGL、Napi组件、OpenHarmony内核、Harmony南向开发、鸿蒙项目实战】等技术知识点。
鸿蒙Next全套VIP学习资料←点击领取!(安全链接,放心点击)
1.鸿蒙核心技术学习路线
2.大厂面试必问面试题
3.鸿蒙南向开发技术
4.鸿蒙APP开发必备
5.HarmonyOS Next 最新全套视频教程
6.鸿蒙生态应用开发白皮书V2.0PDF

6939

被折叠的 条评论
为什么被折叠?



