Prompt Cache技术,旨在通过在大型语言模型(LLM)的推理过程中重用不同提示(prompts)之间的注意力状态来加速推理。
图1 比较大型语言模型(LLM)生成Token的方法,每种方法展示三个步骤(1至3)。每个框表示一个令牌。蓝色框代表提示。(a) 一个LLM接收一个提示(蓝色令牌)并预测下一个令牌(A)(1)。然后,它将生成的令牌(A)附加到提示上以预测下一个令牌(B)(2)。这个过程被称为自回归,会一直持续直到满足停止条件。(b) KV缓存仅在第一步(1)计算一次提示的时间注意力状态,并在随后的步骤中重复使用它们;© Prompt Cache在服务之间重用KV状态以绕过提示注意力计算。当加载一个模式时,Prompt Cache会填充其缓存,并为从模式派生的提示重用缓存状态(1)。图2进一步详细说明了步骤1。

-
问题识别:许多输入提示在结构上高度重叠,例如系统消息、提示模板和文档上下文。这些重叠的文本段可以预先计算并存储其注意力状态,以便在用户提示中出现时重用。
-
Prompt Cache技术:通过使用称为Prompt Markup Language(PML)的模式,明确定义可重用的文本段,称为提示模块(prompt modules)。PML确保在重用注意力状态时位置的准确性,并为用户提供了一个接口来访问他们的提示中的缓存状态。
-
工作流程:当Prompt Cache接收到一个提示时,它首先处理其模式,并计算其提示模块的注意力状态。然后,这些状态被重用于提示中的提示模块,以及其他从同一模式派生的提示。
图2 Prompt Cache中的重用机制:(i) 首先,PML在模式和提示中明确了可重用的提示模块。提示模块可以有参数,如行程计划。导入模块的提示为参数(持续时间)提供值(3天)。提示可以在排除的模块和参数的位置上包括新的文本段,并在末尾添加。(ii) 其次,提示模块编码为模式中的所有模块预先计算注意力状态(1),并为将来的重用而缓存它们。(iii) 第三,当提供提示时,Prompt Cache采用缓存推理:它检索为导入的提示模块缓存的注意力状态(2),为参数(3)和新的文本段(4)计算它们,最后将它们连接起来,以产生整个提示的注意力状态(5)。这个图是对图1c中步骤1的进一步阐述。

- 设计和实现:Prompt Cache的设计包括了对提示结构的明确化、提示模块的编码、以及缓存推理的详细过程。实现使用了HuggingFace的transformers库,并在CPU和GPU上进行了评估。
使用原型实现,在多个LLM上评估了Prompt Cache。结果表明,Prompt Cache显著减少了首次生成token的时间延迟,尤其是在基于文档的问答和推荐等长提示上。GPU上的性能提升范围从8倍到60倍,CPU上则高达60倍,所有这些提升都在保持输出准确性的同时,无需修改模型参数。
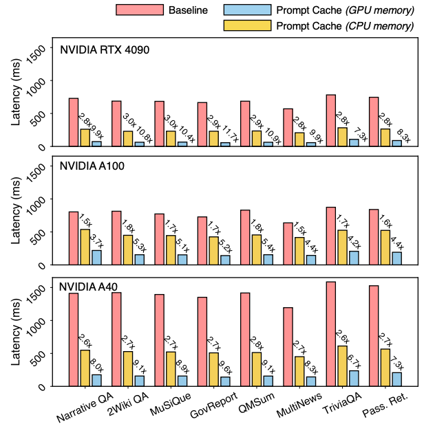
GPU延迟测量**:首次令牌时间(TTFT)对于三个NVIDIA GPU上的八个LongBench数据集。**

CPU延迟测量 :首次令牌时间(TTFT)对于两个CPU上的八个LongBench数据集。


读者福利:如果大家对大模型感兴趣,这套大模型学习资料一定对你有用
对于0基础小白入门:
如果你是零基础小白,想快速入门大模型是可以考虑的。
一方面是学习时间相对较短,学习内容更全面更集中。
二方面是可以根据这些资料规划好学习计划和方向。
包括:大模型学习线路汇总、学习阶段,大模型实战案例,大模型学习视频,人工智能、机器学习、大模型书籍PDF。带你从零基础系统性的学好大模型!
😝有需要的小伙伴,可以保存图片到wx扫描二v码免费领取【保证100%免费】🆓

👉AI大模型学习路线汇总👈
大模型学习路线图,整体分为7个大的阶段:(全套教程文末领取哈)

第一阶段: 从大模型系统设计入手,讲解大模型的主要方法;
第二阶段: 在通过大模型提示词工程从Prompts角度入手更好发挥模型的作用;
第三阶段: 大模型平台应用开发借助阿里云PAI平台构建电商领域虚拟试衣系统;
第四阶段: 大模型知识库应用开发以LangChain框架为例,构建物流行业咨询智能问答系统;
第五阶段: 大模型微调开发借助以大健康、新零售、新媒体领域构建适合当前领域大模型;
第六阶段: 以SD多模态大模型为主,搭建了文生图小程序案例;
第七阶段: 以大模型平台应用与开发为主,通过星火大模型,文心大模型等成熟大模型构建大模型行业应用。
👉大模型实战案例👈
光学理论是没用的,要学会跟着一起做,要动手实操,才能将自己的所学运用到实际当中去,这时候可以搞点实战案例来学习。

👉大模型视频和PDF合集👈
观看零基础学习书籍和视频,看书籍和视频学习是最快捷也是最有效果的方式,跟着视频中老师的思路,从基础到深入,还是很容易入门的。


👉学会后的收获:👈
• 基于大模型全栈工程实现(前端、后端、产品经理、设计、数据分析等),通过这门课可获得不同能力;
• 能够利用大模型解决相关实际项目需求: 大数据时代,越来越多的企业和机构需要处理海量数据,利用大模型技术可以更好地处理这些数据,提高数据分析和决策的准确性。因此,掌握大模型应用开发技能,可以让程序员更好地应对实际项目需求;
• 基于大模型和企业数据AI应用开发,实现大模型理论、掌握GPU算力、硬件、LangChain开发框架和项目实战技能, 学会Fine-tuning垂直训练大模型(数据准备、数据蒸馏、大模型部署)一站式掌握;
• 能够完成时下热门大模型垂直领域模型训练能力,提高程序员的编码能力: 大模型应用开发需要掌握机器学习算法、深度学习框架等技术,这些技术的掌握可以提高程序员的编码能力和分析能力,让程序员更加熟练地编写高质量的代码。
👉获取方式:
😝有需要的小伙伴,可以保存图片到wx扫描二v码免费领取【保证100%免费】🆓

1840

被折叠的 条评论
为什么被折叠?



