1.拓扑排序 图论例题 软件构建
题目描述:
某个大型软件项目的构建系统拥有 N 个文件,文件编号从 0 到 N - 1,在这些文件中,某些文件依赖于其他文件的内容,这意味着如果文件 A 依赖于文件 B,则必须在处理文件 A 之前处理文件 B (0 <= A, B <= N - 1)。请编写一个算法,用于确定文件处理的顺序。
输入描述:
第一行输入两个正整数 N, M。表示 N 个文件之间拥有 M 条依赖关系。
后续 M 行,每行两个正整数 S 和 T,表示 T 文件依赖于 S 文件。
输出描述:
输出共一行,如果能处理成功,则输出文件顺序,用空格隔开。
如果不能成功处理(相互依赖),则输出 -1。
输入示例:
5 4
0 1
0 2
1 3
2 4
输出示例:
0 1 2 3 4
提示信息:
文件依赖关系如下:

所以,文件处理的顺序除了示例中的顺序,还存在
0 2 4 1 3
0 2 1 3 4
等等合法的顺序。
数据范围:
- 0 <= N <= 10 ^ 5
- 1 <= M <= 10 ^ 9
#include<iostream>
#include<vector>
#include<queue>
#include<unordered_map>
using namespace std;
int main(){
int m,n,s,t;
cin>>n>>m;
vector<int> inDegree(n,0);// 记录每个文件的入度
unordered_map<int,vector<int>> umap;// 记录文件依赖关系
vector<int> result;// 记录结果
while(m--){
// s->t,先有s才能有t
cin>>s>>t;
inDegree[t]++;// t的入度加一
umap[s].push_back(t);// 记录s指向哪些文件
}
queue<int> que;
for(int i=0;i<n;i++){
// 入度为0的文件,可以作为开头,先加入队列
if(inDegree[i]==0) que.push(i);
//cout << inDegree[i] << endl;
}
// int count = 0;
while(que.size()){
int current=que.front();// 当前选中的文件
que.pop();
//count++;
result.push_back(current);
vector<int> files=umap[current];//获取该文件指向的文件
if(files.size()){// cur有后续文件
for(int i=0;i<files.size();i++){
inDegree[files[i]]--;// cur的指向的文件入度-1
if(inDegree[files[i]]==0) que.push(files[i]);
}
}
}
if(result.size()==n) {
for(int i=0;i<n-1;i++) cout<<result[i]<<" ";
cout<<result[n-1];
}
else cout<<-1<<endl;
return 0;
}
思路总结:
本题是拓扑排序的经典题目。
一聊到 拓扑排序,一些录友可能会想这是排序,不会想到这是图论算法。
其实拓扑排序是经典的图论问题。
先说说 拓扑排序的应用场景。
大学排课,例如 先上A课,才能上B课,上了B课才能上C课,上了A课才能上D课,等等一系列这样的依赖顺序。 问给规划出一条 完整的上课顺序。
拓扑排序在文件处理上也有应用,我们在做项目安装文件包的时候,经常发现 复杂的文件依赖关系, A依赖B,B依赖C,B依赖D,C依赖E 等等。
如果给出一条线性的依赖顺序来下载这些文件呢?
有人想上面的例子都很简单啊,我一眼能给排序出来。
那如果上面的依赖关系是一百对呢,一千对甚至上万个依赖关系,这些依赖关系中可能还有循环依赖,你如何发现循环依赖呢,又如果排出线性顺序呢。
所以 拓扑排序就是专门解决这类问题的。
概括来说,给出一个 有向图,把这个有向图转成线性的排序 就叫拓扑排序。
当然拓扑排序也要检测这个有向图 是否有环,即存在循环依赖的情况,因为这种情况是不能做线性排序的。
所以拓扑排序也是图论中判断有向无环图的常用方法。
拓扑排序指的是一种 解决问题的大体思路, 而具体算法,可能是广搜也可能是深搜。
大家可能发现 各式各样的解法,纠结哪个是拓扑排序?
其实只要能在把 有向无环图 进行线性排序 的算法 都可以叫做 拓扑排序。
实现拓扑排序的算法有两种:卡恩算法(BFS)和DFS
卡恩1962年提出这种解决拓扑排序的思路
一般来说我们只需要掌握 BFS (广度优先搜索)就可以了,清晰易懂,如果还想多了解一些,可以再去学一下 DFS 的思路,但 DFS 不是本篇重点。
接下来我们来讲解BFS的实现思路。
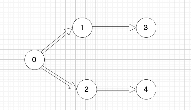
做拓扑排序的话,如果肉眼去找开头的节点,一定能找到 节点0 吧,都知道要从节点0 开始。
但为什么我们能找到 节点0呢,因为我们肉眼看着 这个图就是从 节点0出发的。
作为出发节点,它有什么特征?
你看节点0 的入度 为0 出度为2, 也就是 没有边指向它,而它有两条边是指出去的。
节点的入度表示 有多少条边指向它,节点的出度表示有多少条边 从该节点出发。
所以当我们做拓扑排序的时候,应该优先找 入度为 0 的节点,只有入度为0,它才是出发节点。 理解以上内容很重要!
接下来我给出 拓扑排序的过程,其实就两步:
- 找到入度为0 的节点,加入结果集
- 将该节点从图中移除
循环以上两步,直到 所有节点都在图中被移除了。
结果集的顺序,就是我们想要的拓扑排序顺序 (结果集里顺序可能不唯一)
2.dijkstra算法 图论例题 参加科学大会
【题目描述】
小明是一位科学家,他需要参加一场重要的国际科学大会,以展示自己的最新研究成果。
小明的起点是第一个车站,终点是最后一个车站。然而,途中的各个车站之间的道路状况、交通拥堵程度以及可能的自然因素(如天气变化)等不同,这些因素都会影响每条路径的通行时间。
小明希望能选择一条花费时间最少的路线,以确保他能够尽快到达目的地。
【输入描述】
第一行包含两个正整数,第一个正整数 N 表示一共有 N 个公共汽车站,第二个正整数 M 表示有 M 条公路。
接下来为 M 行,每行包括三个整数,S、E 和 V,代表了从 S 车站可以单向直达 E 车站,并且需要花费 V 单位的时间。
【输出描述】
输出一个整数,代表小明从起点到终点所花费的最小时间。
输入示例
7 9
1 2 1
1 3 4
2 3 2
2 4 5
3 4 2
4 5 3
2 6 4
5 7 4
6 7 9
输出示例:12
【提示信息】
能够到达的情况:
如下图所示,起始车站为 1 号车站,终点车站为 7 号车站,绿色路线为最短的路线,路线总长度为 12,则输出 12。

不能到达的情况:
如下图所示,当从起始车站不能到达终点车站时,则输出 -1。

数据范围:
1 <= N <= 500; 1 <= M <= 5000;
#include<iostream>
#include<vector>
#include<climits>
using namespace std;
int main(){
int n,m,p1,p2,val;
cin>>n>>m;
vector<vector<int>> grid(n+1,vector<int>(n+1,INT_MAX));
for(int i=0;i<m;i++){
cin>>p1>>p2>>val;
grid[p1][p2]=val;
}
int start=1;
int end=n;
// 存储从源点到每个节点的最短距离
vector<int> minDist(n+1,INT_MAX);
// 记录顶点是否被访问过
vector<bool> visited(n+1,false);
minDist[start]=0;// 起始点到自身的距离为0
for(int i=1;i<=n;i++){// 遍历所有节点
int minVal=INT_MAX;
int current=1;
// 1、选距离源点最近且未访问过的节点
for(int v=1;v<=n;v++){
if(!visited[v]&&minDist[v]<minVal){
minVal=minDist[v];
current=v;
}
}
visited[current]=true;// 2、标记该节点已被访问
// 3、第三步,更新非访问节点到源点的距离(即更新minDist数组)
for(int v=1;v<=n;v++){
if(!visited[v]&&grid[current][v]!=INT_MAX&&minDist[current]+grid[current][v]<minDist[v]){
minDist[v]=minDist[current]+grid[current][v];
}
}
}
if(minDist[end]==INT_MAX) cout<<-1<<endl;// 不能到达终点
else cout<<minDist[end]<<endl;// 到达终点最短路径
return 0;
}
思路总结:
本题就是求最短路,最短路是图论中的经典问题即:给出一个有向图,一个起点,一个终点,问起点到终点的最短路径。
接下来,我们来详细讲解最短路算法中的 dijkstra 算法。
dijkstra算法:在有权图(权值非负数)中求从起点到其他节点的最短路径算法。
需要注意两点:
- dijkstra 算法可以同时求 起点到所有节点的最短路径
- 权值不能为负数
(这两点后面我们会讲到)
其实 dijkstra 算法 和 我们之前讲解的prim算法思路非常接近,如果大家认真学过prim算法,那么理解dijkstra算法会相对容易很多。
(这也是我要先讲prim再讲dijkstra的原因)
dijkstra 算法 同样是贪心的思路,不断寻找距离 源点最近的没有访问过的节点。
这里我也给出 dijkstra三部曲:
- 第一步,选源点到哪个节点近且该节点未被访问过
- 第二步,该最近节点被标记访问过
- 第三步,更新非访问节点到源点的距离(即更新minDist数组)
大家此时已经会发现,这和prim算法 怎么这么像呢。
prim 和 dijkstra 确实很像,思路也是类似的,这一点我在后面还会详细来讲。
在dijkstra算法中,同样有一个数组很重要,起名为:minDist。
minDist数组 用来记录 每一个节点距离源点的最小距离。
理解这一点很重要,也是理解 dijkstra 算法的核心所在。
大家现在看着可能有点懵,不知道什么意思。
没关系,先让大家有一个印象,对理解后面讲解有帮助。
0、初始化
minDist数组数值初始化为int最大值。
这里在强点一下 minDist数组的含义:记录所有节点到源点的最短路径,那么初始化的时候就应该初始为最大值,这样才能在后续出现最短路径的时候及时更新。
以下为dijkstra 三部曲
1、选源点到哪个节点近且该节点未被访问过
源点距离源点最近,距离为0,且未被访问。
2、该最近节点被标记访问过
标记源点访问过
3、更新非访问节点到源点的距离(即更新minDist数组) 。
更新 minDist数组,即:源点(节点1) 到 节点2 和 节点3的距离。
- 源点到节点2的最短距离为1,小于原minDist[2]的数值max,更新minDist[2] = 1
- 源点到节点3的最短距离为4,小于原minDist[3]的数值max,更新minDist[3] = 4
可能有人问:为啥和 minDist[2] 比较?
再强调一下 minDist[2] 的含义,它表示源点到节点2的最短距离,那么目前我们得到了 源点到节点2的最短距离为1,小于默认值max,所以更新。 minDist[3]的更新同理
1、选源点到哪个节点近且该节点未被访问过
未访问过的节点中,源点到节点2距离最近,选节点2
2、该最近节点被标记访问过
节点2被标记访问过
3、更新非访问节点到源点的距离(即更新minDist数组)。
更新 minDist数组,即:源点(节点1) 到 节点6 、 节点3 和 节点4的距离。
为什么更新这些节点呢? 怎么不更新其他节点呢?
因为 源点(节点1)通过 已经计算过的节点(节点2) 可以链接到的节点 有 节点3,节点4和节点6.
更新 minDist数组:
- 源点到节点6的最短距离为5,小于原minDist[6]的数值max,更新minDist[6] = 5
- 源点到节点3的最短距离为3,小于原minDist[3]的数值4,更新minDist[3] = 3
- 源点到节点4的最短距离为6,小于原minDist[4]的数值max,更新minDist[4] = 6
1、选源点到哪个节点近且该节点未被访问过
未访问过的节点中,源点距离哪些节点最近,怎么算的?
其实就是看 minDist数组里的数值,minDist 记录了 源点到所有节点的最近距离,结合visited数组筛选出未访问的节点就好。
从 上面的图,或者 从minDist数组中,我们都能看出 未访问过的节点中,源点(节点1)到节点3距离最近。
2、该最近节点被标记访问过
节点3被标记访问过
3、更新非访问节点到源点的距离(即更新minDist数组)。
由于节点3的加入,那么源点可以有新的路径链接到节点4 所以更新minDist数组:
更新 minDist数组:
- 源点到节点4的最短距离为5,小于原minDist[4]的数值6,更新minDist[4] = 5
1、选源点到哪个节点近且该节点未被访问过
距离源点最近且没有被访问过的节点,有节点4 和 节点6,距离源点距离都是 5 (minDist[4] = 5,minDist[6] = 5) ,选哪个节点都可以。
2、该最近节点被标记访问过
节点4被标记访问过
3、更新非访问节点到源点的距离(即更新minDist数组)。
由于节点4的加入,那么源点可以链接到节点5 所以更新minDist数组:
- 源点到节点5的最短距离为8,小于原minDist[5]的数值max,更新minDist[5] = 8
1、选源点到哪个节点近且该节点未被访问过
距离源点最近且没有被访问过的节点,是节点6,距离源点距离是 5 (minDist[6] = 5)
2、该最近节点被标记访问过
节点6 被标记访问过
3、更新非访问节点到源点的距离(即更新minDist数组) 。
由于节点6的加入,那么源点可以链接到节点7 所以 更新minDist数组:
- 源点到节点7的最短距离为14,小于原minDist[7]的数值max,更新minDist[7] = 14
1、选源点到哪个节点近且该节点未被访问过
距离源点最近且没有被访问过的节点,是节点5,距离源点距离是 8 (minDist[5] = 8)
2、该最近节点被标记访问过
节点5 被标记访问过
3、更新非访问节点到源点的距离(即更新minDist数组)。
由于节点5的加入,那么源点有新的路径可以链接到节点7 所以 更新minDist数组:
- 源点到节点7的最短距离为12,小于原minDist[7]的数值14,更新minDist[7] = 12
1、选源点到哪个节点近且该节点未被访问过
距离源点最近且没有被访问过的节点,是节点7(终点),距离源点距离是 12 (minDist[7] = 12)
2、该最近节点被标记访问过
节点7 被标记访问过
3、更新非访问节点到源点的距离(即更新minDist数组)。
节点7加入,但节点7到节点7的距离为0,所以 不用更新minDist数组
最后我们要求起点(节点1) 到终点 (节点7)的距离。
再来回顾一下minDist数组的含义:记录 每一个节点距离源点的最小距离。
那么起到(节点1)到终点(节点7)的最短距离就是 minDist[7] ,按上面举例讲解来说,minDist[7] = 12,节点1 到节点7的最短路径为 12。
在上面的讲解中,每一步 我都是按照 dijkstra 三部曲来讲解的,理解了这三部曲,代码也就好懂的。
1160

被折叠的 条评论
为什么被折叠?



