引言
以下笔记是本人归纳总结宋浩老师概率论与数理统计网课的精简版,顺序大纲不会和宋浩老师的网课有太大出入。
想要课前快速预习重点的同学可以看这个,十分钟可以看完。之后你们在学校上课或者听网课就着重听这些关键知识点就行,保证大家一节课下来想要知道的重点都能听懂。重点我都会列出来,有时加一些宋浩老师的举例帮助大家理解。
第一章
(一)有关概率论的基础概念
1.1 有关名词
一
① 确定性现象:在一定条件下必然出现某一结果的现象。
② 随机现象:在一定条件下,出现不确切且无法预知结果的现象。
③ 统计规律:经过大量实验统计总结出的规律。
二 随机试验(简称试验)
① 定义 :在相同条件下可重复;
事件可能结果不唯一;
结果无法预测;
(满足以上的试验称为随机试验)
② 符号表示:E
三
样本空间:随机试验的所有可能结果组成的集合。(Ω表示)
样本点:样本空间的某一个点,即事件的每一可能结果。(ω表示)
1.2 实例表示(以掷一颗骰子为基本举例)
① 随机事件:某些样本点的集合。(简称事件,用大写字母ABC等表示)
例:事件A:点数为1
事件B:点数为1或2
② 基本事件:以实验目的为准确定的最基础结果。
例:目的为记录骰子点数,
则基本事件为A:点数为1,B:点数为2……
目的为记录骰子落地是否旋转,
则基本事件为A:旋转 与 B:不旋转
③ 复合事件:以基本事件复合而成。
例:复合事件G:骰子点数小于5的次数,
是基本事件A:点数为1,B:点数为2,C点数为3……的复合。
④ 不可能事件:不会发生(∅表示)
⑤ 必然事件:一定发生(同Ω表示)
1.3 额外拓展理解(这部分可以上课听老师讲,更好理解)
①
②
(二)事件间的关系与运算律
2.1 事件间的关系
① 包含:事件A发生事件B一定发生。(记作A⊂B)
(理解:B包含A部分和不包含A部分,A发生,即B中包含A部分的发生,故B发生)
相等:A⊂B,B⊂A,则A=B。
② 并(也称和):事件A和B至少发生一个。(记作:A+B 或 A∪B)
③ 交(也称积):事件A和B同时发生。(记作:AB 或A∩B)
④ 差:事件A发生,B不发生。(记作:A-B)
2.2 无限可列个(建议看宋浩视频)
① 定义:指一个集合,其元素可以按照某种顺序进行排列,并且可以和自然数集(1,2,3,…)进行一一对应。换句话说,无限可列个集合是一个无穷大的集合,但是它的元素可以被数数清楚。
② 实例:有理数集,整数集都为无限可列个,因为这些集合中的元素可被排序数出来。
2.3 互不相容事件 / 对立事件 / 完备事件组
① 互不相容事件:不会同时发生的事件。
② 对立事件:在是互不相容事件的基础上,两事件可构成全集的事件。


补不相容 对立
③ 完备事件组:事件A1,事件A2……事件An 两两互不相容,∑Ai = Ω,
所有事件构成全集的事件组。
2.4 运算律

2.5 实例理解
①
②
③
(三)古典概率模型和排列组合
3.1 概率 记作:P(A)
① P(Ω)= 1
② P(∅)= 0
③ 0 <= P(A)<= 1
3.2 古典概率
①满足条件:基本事件为有限个;
基本事件发生的可能性相同;
②表示:P(A)= A中包含基本事件个数 / 样本空间总数
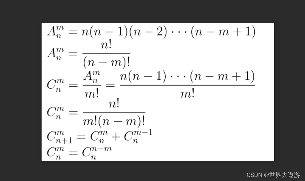
3.3 排列组合(宋浩老师延伸)
(建议未学习过该内容的,选择精讲该知识点的网课;学过的复习一下即可)
① 排列:A(上m下n),将m个放在n个条件下排序。
② 组合:C(上m下n),从n中选择m个。

3.4 实例拓展
①
②
③
本文概述了概率论与数理统计课程的初步概念,包括随机现象、随机试验、样本空间、事件类型(确定性、随机、不可能、必然、基本事件和复合事件)、事件间的包含、并、交、差关系,以及古典概率模型和排列组合的基本原理。提供了一个十分钟预习重点的精简大纲,适合课前预习或复习。
1万+

被折叠的 条评论
为什么被折叠?



