PageRank 算法-Google 如何给网页排名
在互联网早期,随着网络上的网页逐渐增多,如何从海量网页中检索出我们想要的页面,变得非常的重要。
当时著名的雅虎和其它互联网公司都试图解决这个问题,但都没能有一个很好的解决方案。
直到1998 年前后,两位斯坦福大学的博士生,拉里·佩奇和谢尔盖·布林一起发明了著名的 PageRank 算法,才完美的解决了网页排名的问题。也正是因为这个算法,诞生了伟大的 Google 公司。

(上图中:左为布林,右为佩奇。)
1,PageRank 算法原理
PageRank 算法的核心原理是:在互联网中,如果一个网页被很多其它网页所链接,说明该网页非常的重要,那么它的排名就高。
拉里·佩奇将整个互联网看成一张大的图,每个网站就像一个节点,而每个网页的链接就像一个弧。那么,互联网就可以用一个图或者矩阵来描述。
拉里·佩奇也因该算法在30 岁时当选为美国工程院院士。
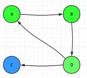
假设目前有4 个网页,分别是 A,B,C,D,它们的链接关系如下:

我们规定有两种链:
- 出链:从自身引出去的链。
- 入链:从外部引入自身的链。
比如图中的C 网页,有两个入链,一个出链。
PageRank 的思想就是,一个网页的影响力就等于它的所有入链的影响力之和。
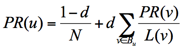
用数学公式表示为:

其中(分值代表页面影响力):
PR(u)是网页u的分值。Bu是网页u的入链集合。- 网页
v是网页u的任意一个入链。 PR(v)是网面v的分值。L(v)是网页v的出链数量。- 网页
v带给网页u的分值就是PR(v) / L(v)。 - 那么
PR(u)就等于所有的入链分值之和。
在上面的公式中,我们假设从一个页面v 到达它的所有的出链页面的概率是相等的。
比如上图来说,页面A 有三个出链分别链接到了 B、C、D 上。那么当用户访问 A 的时候,就有跳转到 B、C 或者 D 的可能性,跳转概率均为 1/3。
2,计算网页的分值
下面来看下如何计算网页的分值。
我们可以用一个表格,来表示上图中的网页的链接关系,及每个页面到其它页面的概率:
| A | B | C | D | |
|---|---|---|---|---|
| A | 0 A->A | 1/2 B->A | 1 C->A | 0 D->A |
| B | 1/3 A->B | 0 B->B | 0 C->B | 1/2 D->B |
| C | 1/3 A->C | 0 B->C | 0 C->C | 1/2 D->C |
| D | 1/3 A->D | 1/2 B->D | 0 C->D | 0 D->D |
根据这个表格中的数字,可以将其转换成一个矩阵M:

假设 A、B、C、D 四个页面的初始影响力都是相同的,都为 1/4,即:

经过第一次分值转移之后,可以得到 W<sub>1</sub>,如下:

同理可以得到W<sub>2</sub>,W<sub>3</sub> 一直到 W<sub>n</sub>:
- W<sub>2</sub> = M * W<sub>1</sub>
- W<sub>3</sub> = M * W<sub>2</sub>
- W<sub>n</sub> = M * W<sub>n-1</sub>
那么什么时候计算终止呢?
佩奇和布林已经证明,不管网页的初识值选择多少(我们这假设都是1/4),最终都能保证网页的分值能够收敛到一个真实确定值。
也就是直到 W<sub>n</sub> 不再变化为止。
这就是网页分值的计算过程,还是比较好理解的。
3,PageRank 的两个问题
我们上文中介绍到的是PageRank 的基本原理,是简化版本。在实际应用中会出现等级泄露(RankLeak)和等级沉没(Rank Sink)的问题。
如果一个网页没有出链,就会吸收其它网页的分值不释放,最终会导致其它网页的分值为0,这种现象叫做等级泄露。如下图中的网页C:

相反,如果一个网页没有入链,最终会导致该网页的分值为0,这种现象叫做等级沉没。如下图中的网页C:

4,PageRank 的随机浏览模型
为了解决上面的问题,拉里·佩奇提出了随机浏览模型,即用户并不都是依靠网页链接来访问网页,也有可能用其它方式访问网址,比如输入网址。
因此,提出了阻尼因子的概念,这个因子代表用户按照跳转链接来上网的概率,而 1-d 则代表用户通过其它方式访问网页的概率。
所以,将上文中的公式改进为:

其中:
- d 为阻尼因子,通常可以取0.85。
- N 为网页总数。
5,用代码计算网页分值
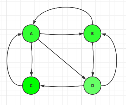
如何用代码来计算网页的PR 分值呢?(为了方便查看,我把上图放在这里)

我们可以看到,该图实际上就是数据结构中的有向图,因此我们可以通过构建有向图来构建 PageRank 算法。
NetworkX 是一个Python 工具包,其中集成了常用的图结构和网络分析算法。
我们可以用 NetworkX 来构建上图中的网络结构。
首先引入模块:
import networkx as nx
用 DiGraph 类创建有向图:
G = nx.DiGraph()
将4 个网页的链接关系,用数组表示:
edges = [
("A", "B"), ("A", "C"), ("A", "D"),
("B", "A"), ("B", "D"),
("C", "A"),
("D", "B"), ("D", "C")
]
数组中的元素作为有向图的边,并添加到图中:
for edge in edges:
G.add_edge(edge[0], edge[1])
使用pagerank 方法计算PR 分值:
# alpha 为阻尼因子
PRs = nx.pagerank(G, alpha=1)
print PRs
输出每个网页的PR 值:
{'A': 0.33333396911621094,
'B': 0.22222201029459634,
'C': 0.22222201029459634,
'D': 0.22222201029459634}
最终,我们计算出了每个网页的PR 值。
6,画出网络图
NetworkX 包中还提供了画出网络图的方法:
import matplotlib.pyplot as plt
# 画网络图
nx.draw_networkx(G)
plt.show()
如下:

我们还可以设置图的形状,节点的大小,边的长度等属性,具体可以点击这里查看。
更多关于 NetworkX 的内容可以参考其官方文档。
7,总结
PageRank 算法给了我们一个很重要的启发,权重在很多时候是一个非常重要的指标。
- 比如在人际交往中,个人的影响力不仅取决于你的朋友的数量,而且朋友的质量非常重要,说明了圈子的重要性。
- 比如在自媒体时代,粉丝数并不能真正的代表你的影响力,粉丝的质量也很重要。如果你的粉丝中有很多大V,那么将大大增加你影响力。
本篇文章主要介绍了:
- PageRank 算法的原理。
- 简化版的PageRank 算法遇到的问题,以及解决方案:
- 等级泄露和等级沉没。
- 引出随机浏览模型来解决这两个问题。
- 如何用代码模拟PageRank 算法:
- 使用了 NetworkX 模块。
(本节完。)
1373

被折叠的 条评论
为什么被折叠?



