狮子王123
码龄6年
关注
提问 私信
  • 博客:48,607
    动态:293
    48,900
    总访问量
  • 10
    原创
  • 1,690,157
    排名
  • 50
    粉丝
  • 0
    铁粉

个人简介:多少长安名利客,机关用尽不如君。

IP属地以运营商信息为准,境内显示到省(区、市),境外显示到国家(地区)
IP 属地:上海市
  • 加入CSDN时间: 2019-05-30
博客简介:

CloudInSky1的博客

查看详细资料
个人成就
  • 获得93次点赞
  • 内容获得149次评论
  • 获得332次收藏
  • 代码片获得1,064次分享
创作历程
  • 4篇
    2023年
  • 6篇
    2022年
成就勋章
TA的专栏
  • GAMS使用小记
    3篇
  • 和服务器的相爱相杀
    4篇
  • 学海无涯
    3篇
创作活动更多

超级创作者激励计划

万元现金补贴,高额收益分成,专属VIP内容创作者流量扶持,等你加入!

去参加
  • 最近
  • 文章
  • 代码仓
  • 资源
  • 问答
  • 帖子
  • 视频
  • 课程
  • 关注/订阅/互动
  • 收藏
搜TA的内容
搜索 取消

GAMS使用小记(三)

在前两篇博文的基础上,本篇博文记录了后续遇到的问题与解决。
原创
发布博客 2023.12.14 ·
1067 阅读 ·
19 点赞 ·
0 评论 ·
17 收藏

Java调用Matlab中自定义函数

本文介绍了通过Java调用Matlab中自定义函数的实践经历,最终通过拼接命令并在终端执行的方式实现了需求。
原创
发布博客 2023.11.05 ·
402 阅读 ·
1 点赞 ·
0 评论 ·
1 收藏

GAMS使用小记(二)

本文延续上一篇博文的场景,记录了后续的问题和解决方案。
原创
发布博客 2023.10.29 ·
503 阅读 ·
0 点赞 ·
0 评论 ·
1 收藏

GAMS使用小记(一)

本文介绍了在使用Java API连接GAMS中遇到的问题和解决的方案。
原创
发布博客 2023.10.28 ·
879 阅读 ·
0 点赞 ·
2 评论 ·
2 收藏

群魔乱舞

发布动态 2023.01.10

远程运行pyspark程序报错的解决

本文记录了本地Pycharm中配置远程解释器开发基础的pyspark程序中的四个报错以及解决
原创
发布博客 2022.10.10 ·
2389 阅读 ·
4 点赞 ·
1 评论 ·
4 收藏

Xshell突然连接不上虚拟机的解决

本文记录了桥接模式下Xshell突然连接不上虚拟机的尝试和解决
原创
发布博客 2022.10.09 ·
2558 阅读 ·
0 点赞 ·
0 评论 ·
4 收藏

SQL里加上limit,显得安全、温馨、稳重,hhh

发布动态 2022.09.22

Hive可以成功启动却无法执行语句的解决

本文记录了“Hive可以成功启动却无法执行语句”这一问题的出现、探索和解决。
原创
发布博客 2022.09.21 ·
2719 阅读 ·
2 点赞 ·
0 评论 ·
5 收藏

Centos虚拟机桥接模式无法连接外网的解决

本文记录了Centos虚拟机桥接模式无法连接外网这一问题的解决。
原创
发布博客 2022.09.17 ·
3991 阅读 ·
0 点赞 ·
0 评论 ·
8 收藏

端口是否也是先占好数字? webmin端口是6666,bt宝塔端口是8888。。。。

发布动态 2022.08.23

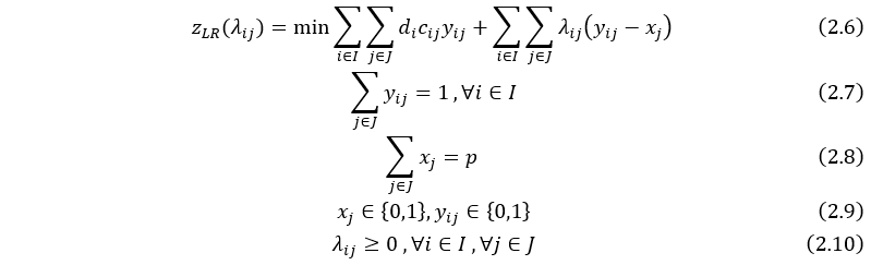
拉格朗日松弛(二)——实例及代码

本篇博文尝试将本系列上篇博文所介绍的拉格朗日松弛启发式算法应用于选址问题中经典的p-中值模型,该模型是一个整数规划(0-1规划)模型。并使用Python语言实现了拉格朗日松弛启发式算法,还与Gurobi求解进行了比较。
原创
发布博客 2022.01.06 ·
7723 阅读 ·
32 点赞 ·
127 评论 ·
90 收藏

拉格朗日松弛(一)——理论及算法

本篇博文综合现有的各种资料,系统性地介绍了拉格朗日松弛的基本理论和常见的变形。还介绍了拉格朗日松弛算法,包括次梯度优化算法和拉格朗日松弛启发式算法。
原创
发布博客 2022.01.06 ·
26185 阅读 ·
35 点赞 ·
19 评论 ·
199 收藏

2016年SODA大赛摩拜单车订单数据

发布资源 2022.01.05 ·
csv