逻辑回归(Logistic Regression)
分类问题
分类问题中,我们要预测的变量 y y y是一个离散值,而逻辑回归算法,通常运用于分类问题中的二元问题,也就是我们常说的二分类问题。
分类问题,正如它的名字,我们尝试用算法来预测某一个结果是否属于某一类(True or False)or (yes or no),比如判断一封电子邮件是否是垃圾邮件,一次交易中是否存在欺诈,区别肿瘤是良性还是恶性,etc,都可以成为是分类问题。
而所谓的“二分类问题”,意味着在结果预测中,可供分辨的类别只有两种,是或者不是。
我们将因变
x
x
x可能属于的这两个类分别称为负向类(Negative class)和正向类(Positive class),则因变量
y
∈
0
,
1
y\in{0,1\\}
y∈0,1,其中0代表负向类,1代表正向类。

如果我们要用一个线性回归算法来解决分类问题,对于分类,因变量 y y y取值0或者1,但如果你使用的是线性回归,那么假设函数的输出值可能远大于1,或者远小于0,即便所有训练样本的标签 y y y都等于0或者1,尽管我们知道标签应该取值0或者1,但如果算法得到的值远大于1或者远小于0,就会感觉到奇怪。
此时,逻辑回归算法解决了这个问题,它将输出值定义在了0-1之间。
逻辑回归算法实际上是一种分类算法。也是二分类中常用的方法。
假说表示
回顾一开始我们使用的癌症分类问题,我们可以使用线性回归的方法拟合出一条直线:

而根据二分类的要求,我们需要输出0或1,我们可以这样分类:
当
h
θ
(
x
)
>
=
0.5
{h_\theta}\left( x \right)>=0.5
hθ(x)>=0.5时,预测
y
=
1
y=1
y=1。
当
h
θ
(
x
)
<
0.5
{h_\theta}\left( x \right)<0.5
hθ(x)<0.5时,预测
y
=
0
y=0
y=0 。
对于这种分布较为均匀的数据,使用中值作为阈值可以很好的完成分类任务,但是如果直线的斜率再高低一些,线性回归模型预测的数值超过了[0,1],在使用0.5作为阈值可能就不合适了。

所以,我们引入了逻辑回归,该模型的输出变量范围始终在0和1之间:
逻辑回归模型的假设是:
h
θ
(
x
)
=
g
(
θ
T
X
)
h_\theta \left( x \right)=g\left(\theta^{T}X \right)
hθ(x)=g(θTX)
其中:
X
X
X 代表特征向量
g
g
g 代表逻辑函数(logistic function)是一个常用的逻辑函数为S形函数(Sigmoid function),公式为:
g
(
z
)
=
1
1
+
e
−
z
g\left( z \right)=\frac{1}{1+{{e}^{-z}}}
g(z)=1+e−z1。
python代码实现:
import numpy as np
def sigmoid(z):
return 1 / (1 + np.exp(-z))
该函数的图像为:

合起来,我们得到逻辑回归模型的假设:
对模型的理解: g ( z ) = 1 1 + e − z g\left( z \right)=\frac{1}{1+{{e}^{-z}}} g(z)=1+e−z1。
h
θ
(
x
)
h_\theta \left( x \right)
hθ(x)的作用是,对于给定的输入变量,根据选择的参数计算输出变量=1的可能性(estimated probablity)即
h
θ
(
x
)
=
P
(
y
=
1
∣
x
;
θ
)
h_\theta \left( x \right)=P\left( y=1|x;\theta \right)
hθ(x)=P(y=1∣x;θ)
例如,如果对于给定的
x
x
x,通过已经确定的参数计算得出
h
θ
(
x
)
=
0.7
h_\theta \left( x \right)=0.7
hθ(x)=0.7,则表示有70%的几率
y
y
y为正向类,相应地
y
y
y为负向类的几率为1-0.7=0.3。
判定边界
在具有两个类的统计分类问题中,判定边界或判定表面是超曲面,其将基础向量空间划分为两个集合,每个集合一个集合。 这就是决策边界(decision boundary)。
分类器将决策边界一侧的所有点分类为属于一个类,而将另一侧的所有点分类为属于另一个类。

在逻辑回归中,我们预测:
当 h θ ( x ) > = 0.5 {h_\theta}\left( x \right)>=0.5 hθ(x)>=0.5时,预测 y = 1 y=1 y=1。
当 h θ ( x ) < 0.5 {h_\theta}\left( x \right)<0.5 hθ(x)<0.5时,预测 y = 0 y=0 y=0 。
根据上面绘制出的 S 形函数图像,我们知道当
z = 0 z=0 z=0 时 g ( z ) = 0.5 g(z)=0.5 g(z)=0.5
z > 0 z>0 z>0 时 g ( z ) > 0.5 g(z)>0.5 g(z)>0.5
z < 0 z<0 z<0 时 g ( z ) < 0.5 g(z)<0.5 g(z)<0.5
又
z
=
θ
T
x
z={\theta^{T}}x
z=θTx ,即:
θ
T
x
>
=
0
{\theta^{T}}x>=0
θTx>=0 时,预测
y
=
1
y=1
y=1
θ
T
x
<
0
{\theta^{T}}x<0
θTx<0 时,预测
y
=
0
y=0
y=0
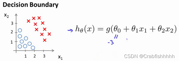
假设我们现在有一个模型:

并且参数
θ
\theta
θ是向量[-3 1 1],则当
−
3
+
x
1
+
x
2
≥
0
-3+{x_1}+{x_2} \geq 0
−3+x1+x2≥0,即
x
1
+
x
2
≥
3
{x_1}+{x_2} \geq 3
x1+x2≥3时,模型将预测
y
=
1
y=1
y=1。
我们可以绘制直线
x
1
+
x
2
=
3
{x_1}+{x_2} = 3
x1+x2=3,这条线便是我们模型的分界线,将预测为1的区域和预测为 0的区域分隔开。

又比如,我们的数据分布呈现这样的情况:

因为需要用曲线才能分隔
y
=
0
y=0
y=0 的区域和
y
=
1
y=1
y=1 的区域,我们需要二次方特征:
h
θ
(
x
)
=
g
(
θ
0
+
θ
1
x
1
+
θ
2
x
2
+
θ
3
x
1
2
+
θ
4
x
2
2
)
{h_\theta}\left( x \right)=g\left( {\theta_0}+{\theta_1}{x_1}+{\theta_{2}}{x_{2}}+{\theta_{3}}x_{1}^{2}+{\theta_{4}}x_{2}^{2} \right)
hθ(x)=g(θ0+θ1x1+θ2x2+θ3x12+θ4x22)是[-1 0 0 1 1],则我们得到的判定边界恰好是圆点在原点且半径为1的圆形。
我们可以用非常复杂的模型来适应非常复杂形状的判定边界。
代价函数
我们要了解如何拟合逻辑回归模型的参数
θ
\theta
θ,要定义用来拟合参数的优化目标或者叫代价函数,这便是监督学习问题中的逻辑回归模型的拟合问题。

对于线性回归模型,我们定义的代价函数是所有模型误差的平方和。理论上来说,我们也可以对逻辑回归模型沿用这个定义,但是问题在于,当我们将
h
θ
(
x
)
=
1
1
+
e
−
θ
T
x
{h_\theta}\left( x \right)=\frac{1}{1+{e^{-\theta^{T}x}}}
hθ(x)=1+e−θTx1带入到这样定义了的代价函数中时,我们得到的代价函数将是一个非凸函数(non-convexfunction)。
这意味着我们的代价函数有许多局部最小值,这将影响梯度下降算法寻找全局最小值。
线性回归的代价函数为:
J
(
θ
)
=
1
m
∑
i
=
1
m
1
2
(
h
θ
(
x
(
i
)
)
−
y
(
i
)
)
2
J\left( \theta \right)=\frac{1}{m}\sum\limits_{i=1}^{m}{\frac{1}{2}{{\left( {h_\theta}\left({x}^{\left( i \right)} \right)-{y}^{\left( i \right)} \right)}^{2}}}
J(θ)=m1i=1∑m21(hθ(x(i))−y(i))2 。
我们重新定义逻辑回归的代价函数为:
J
(
θ
)
=
1
m
∑
i
=
1
m
C
o
s
t
(
h
θ
(
x
(
i
)
)
,
y
(
i
)
)
J\left( \theta \right)=\frac{1}{m}\sum\limits_{i=1}^{m}{{Cost}\left( {h_\theta}\left( {x}^{\left( i \right)} \right),{y}^{\left( i \right)} \right)}
J(θ)=m1i=1∑mCost(hθ(x(i)),y(i)),其中

h
θ
(
x
)
{h_\theta}\left( x \right)
hθ(x)与
C
o
s
t
(
h
θ
(
x
)
,
y
)
Cost\left( {h_\theta}\left( x \right),y \right)
Cost(hθ(x),y)之间的关系如下图所示:

这样构建的
C
o
s
t
(
h
θ
(
x
)
,
y
)
Cost\left( {h_\theta}\left( x \right),y \right)
Cost(hθ(x),y)函数的特点是:当实际的
y
=
1
y=1
y=1 且
h
θ
(
x
)
{h_\theta}\left( x \right)
hθ(x)也为 1 时误差为 0,当
y
=
1
y=1
y=1 但
h
θ
(
x
)
{h_\theta}\left( x \right)
hθ(x)不为1时误差随着
h
θ
(
x
)
{h_\theta}\left( x \right)
hθ(x)变小而变大;当实际的
y
=
0
y=0
y=0 且
h
θ
(
x
)
{h_\theta}\left( x \right)
hθ(x)也为 0 时代价为 0,当
y
=
0
y=0
y=0 但
h
θ
(
x
)
{h_\theta}\left( x \right)
hθ(x)不为 0时误差随着
h
θ
(
x
)
{h_\theta}\left( x \right)
hθ(x)的变大而变大。
将构建的
C
o
s
t
(
h
θ
(
x
)
,
y
)
Cost\left( {h_\theta}\left( x \right),y \right)
Cost(hθ(x),y)简化如下:
C
o
s
t
(
h
θ
(
x
)
,
y
)
=
−
y
×
l
o
g
(
h
θ
(
x
)
)
−
(
1
−
y
)
×
l
o
g
(
1
−
h
θ
(
x
)
)
Cost\left( {h_\theta}\left( x \right),y \right)=-y\times log\left( {h_\theta}\left( x \right) \right)-(1-y)\times log\left( 1-{h_\theta}\left( x \right) \right)
Cost(hθ(x),y)=−y×log(hθ(x))−(1−y)×log(1−hθ(x))
带入代价函数得到:
J
(
θ
)
=
1
m
∑
i
=
1
m
[
−
y
(
i
)
log
(
h
θ
(
x
(
i
)
)
)
−
(
1
−
y
(
i
)
)
log
(
1
−
h
θ
(
x
(
i
)
)
)
]
J\left( \theta \right)=\frac{1}{m}\sum\limits_{i=1}^{m}{[-{{y}^{(i)}}\log \left( {h_\theta}\left( {{x}^{(i)}} \right) \right)-\left( 1-{{y}^{(i)}} \right)\log \left( 1-{h_\theta}\left( {{x}^{(i)}} \right) \right)]}
J(θ)=m1i=1∑m[−y(i)log(hθ(x(i)))−(1−y(i))log(1−hθ(x(i)))]
即:
J
(
θ
)
=
−
1
m
∑
i
=
1
m
[
y
(
i
)
log
(
h
θ
(
x
(
i
)
)
)
+
(
1
−
y
(
i
)
)
log
(
1
−
h
θ
(
x
(
i
)
)
)
]
J\left( \theta \right)=-\frac{1}{m}\sum\limits_{i=1}^{m}{[{{y}^{(i)}}\log \left( {h_\theta}\left( {{x}^{(i)}} \right) \right)+\left( 1-{{y}^{(i)}} \right)\log \left( 1-{h_\theta}\left( {{x}^{(i)}} \right) \right)]}
J(θ)=−m1i=1∑m[y(i)log(hθ(x(i)))+(1−y(i))log(1−hθ(x(i)))]
用python实现的话:
import numpy as np
def cost(theta, X, y):
theta = np.matrix(theta)
X = np.matrix(X) y = np.matrix(y)
first = np.multiply(-y, np.log(sigmoid(X* theta.T)))
second = np.multiply((1 - y), np.log(1 - sigmoid(X* theta.T)))
return np.sum(first - second) / (len(X))
在得到这样一个代价函数以后,我们便可以用梯度下降算法来求得能使代价函数最小的参数了。算法为:
Repeat {
θ
j
:
=
θ
j
−
α
∂
∂
θ
j
J
(
θ
)
\theta_j := \theta_j - \alpha \frac{\partial}{\partial\theta_j} J(\theta)
θj:=θj−α∂θj∂J(θ)
(simultaneously update all )
}
求导后得到:
Repeat {
θ
j
:
=
θ
j
−
α
1
m
∑
i
=
1
m
(
h
θ
(
x
(
i
)
)
−
y
(
i
)
)
x
j
(
i
)
\theta_j := \theta_j - \alpha \frac{1}{m}\sum\limits_{i=1}^{m}{{\left( {h_\theta}\left( \mathop{x}^{\left( i \right)} \right)-\mathop{y}^{\left( i \right)} \right)}}\mathop{x}_{j}^{(i)}
θj:=θj−αm1i=1∑m(hθ(x(i))−y(i))xj(i)
(simultaneously update all )
}
在这个视频中,我们定义了单训练样本的代价函数,凸性分析的内容是超出这门课的范围的,但是可以证明我们所选的代价值函数会给我们一个凸优化问题。代价函数 J ( θ ) J(\theta) J(θ)会是一个凸函数,并且没有局部最优值。
推导过程:
J
(
θ
)
=
−
1
m
∑
i
=
1
m
[
y
(
i
)
log
(
h
θ
(
x
(
i
)
)
)
+
(
1
−
y
(
i
)
)
log
(
1
−
h
θ
(
x
(
i
)
)
)
]
J\left( \theta \right)=-\frac{1}{m}\sum\limits_{i=1}^{m}{[{{y}^{(i)}}\log \left( {h_\theta}\left( {{x}^{(i)}} \right) \right)+\left( 1-{{y}^{(i)}} \right)\log \left( 1-{h_\theta}\left( {{x}^{(i)}} \right) \right)]}
J(θ)=−m1i=1∑m[y(i)log(hθ(x(i)))+(1−y(i))log(1−hθ(x(i)))]
考虑:
h
θ
(
x
(
i
)
)
=
1
1
+
e
−
θ
T
x
(
i
)
{h_\theta}\left( {{x}^{(i)}} \right)=\frac{1}{1+{{e}^{-{\theta^T}{{x}^{(i)}}}}}
hθ(x(i))=1+e−θTx(i)1
则:
y
(
i
)
log
(
h
θ
(
x
(
i
)
)
)
+
(
1
−
y
(
i
)
)
log
(
1
−
h
θ
(
x
(
i
)
)
)
{{y}^{(i)}}\log \left( {h_\theta}\left( {{x}^{(i)}} \right) \right)+\left( 1-{{y}^{(i)}} \right)\log \left( 1-{h_\theta}\left( {{x}^{(i)}} \right) \right)
y(i)log(hθ(x(i)))+(1−y(i))log(1−hθ(x(i)))
=
y
(
i
)
log
(
1
1
+
e
−
θ
T
x
(
i
)
)
+
(
1
−
y
(
i
)
)
log
(
1
−
1
1
+
e
−
θ
T
x
(
i
)
)
={{y}^{(i)}}\log \left( \frac{1}{1+{{e}^{-{\theta^T}{{x}^{(i)}}}}} \right)+\left( 1-{{y}^{(i)}} \right)\log \left( 1-\frac{1}{1+{{e}^{-{\theta^T}{{x}^{(i)}}}}} \right)
=y(i)log(1+e−θTx(i)1)+(1−y(i))log(1−1+e−θTx(i)1)
=
−
y
(
i
)
log
(
1
+
e
−
θ
T
x
(
i
)
)
−
(
1
−
y
(
i
)
)
log
(
1
+
e
θ
T
x
(
i
)
)
=-{{y}^{(i)}}\log \left( 1+{{e}^{-{\theta^T}{{x}^{(i)}}}} \right)-\left( 1-{{y}^{(i)}} \right)\log \left( 1+{{e}^{{\theta^T}{{x}^{(i)}}}} \right)
=−y(i)log(1+e−θTx(i))−(1−y(i))log(1+eθTx(i))
所以:
∂
∂
θ
j
J
(
θ
)
=
∂
∂
θ
j
[
−
1
m
∑
i
=
1
m
[
−
y
(
i
)
log
(
1
+
e
−
θ
T
x
(
i
)
)
−
(
1
−
y
(
i
)
)
log
(
1
+
e
θ
T
x
(
i
)
)
]
]
\frac{\partial }{\partial {\theta_{j}}}J\left( \theta \right)=\frac{\partial }{\partial {\theta_{j}}}[-\frac{1}{m}\sum\limits_{i=1}^{m}{[-{{y}^{(i)}}\log \left( 1+{{e}^{-{\theta^{T}}{{x}^{(i)}}}} \right)-\left( 1-{{y}^{(i)}} \right)\log \left( 1+{{e}^{{\theta^{T}}{{x}^{(i)}}}} \right)]}]
∂θj∂J(θ)=∂θj∂[−m1i=1∑m[−y(i)log(1+e−θTx(i))−(1−y(i))log(1+eθTx(i))]]
=
−
1
m
∑
i
=
1
m
[
−
y
(
i
)
−
x
j
(
i
)
e
−
θ
T
x
(
i
)
1
+
e
−
θ
T
x
(
i
)
−
(
1
−
y
(
i
)
)
x
j
(
i
)
e
θ
T
x
(
i
)
1
+
e
θ
T
x
(
i
)
]
=-\frac{1}{m}\sum\limits_{i=1}^{m}{[-{{y}^{(i)}}\frac{-x_{j}^{(i)}{{e}^{-{\theta^{T}}{{x}^{(i)}}}}}{1+{{e}^{-{\theta^{T}}{{x}^{(i)}}}}}-\left( 1-{{y}^{(i)}} \right)\frac{x_j^{(i)}{{e}^{{\theta^T}{{x}^{(i)}}}}}{1+{{e}^{{\theta^T}{{x}^{(i)}}}}}}]
=−m1i=1∑m[−y(i)1+e−θTx(i)−xj(i)e−θTx(i)−(1−y(i))1+eθTx(i)xj(i)eθTx(i)]
=
−
1
m
∑
i
=
1
m
y
(
i
)
x
j
(
i
)
1
+
e
θ
T
x
(
i
)
−
(
1
−
y
(
i
)
)
x
j
(
i
)
e
θ
T
x
(
i
)
1
+
e
θ
T
x
(
i
)
]
=-\frac{1}{m}\sum\limits_{i=1}^{m}{{y}^{(i)}}\frac{x_j^{(i)}}{1+{{e}^{{\theta^T}{{x}^{(i)}}}}}-\left( 1-{{y}^{(i)}} \right)\frac{x_j^{(i)}{{e}^{{\theta^T}{{x}^{(i)}}}}}{1+{{e}^{{\theta^T}{{x}^{(i)}}}}}]
=−m1i=1∑my(i)1+eθTx(i)xj(i)−(1−y(i))1+eθTx(i)xj(i)eθTx(i)]
=
−
1
m
∑
i
=
1
m
y
(
i
)
x
j
(
i
)
−
x
j
(
i
)
e
θ
T
x
(
i
)
+
y
(
i
)
x
j
(
i
)
e
θ
T
x
(
i
)
1
+
e
θ
T
x
(
i
)
=-\frac{1}{m}\sum\limits_{i=1}^{m}{\frac{{{y}^{(i)}}x_j^{(i)}-x_j^{(i)}{{e}^{{\theta^T}{{x}^{(i)}}}}+{{y}^{(i)}}x_j^{(i)}{{e}^{{\theta^T}{{x}^{(i)}}}}}{1+{{e}^{{\theta^T}{{x}^{(i)}}}}}}
=−m1i=1∑m1+eθTx(i)y(i)xj(i)−xj(i)eθTx(i)+y(i)xj(i)eθTx(i)
=
−
1
m
∑
i
=
1
m
y
(
i
)
(
1
+
e
θ
T
x
(
i
)
)
−
e
θ
T
x
(
i
)
1
+
e
θ
T
x
(
i
)
x
j
(
i
)
=-\frac{1}{m}\sum\limits_{i=1}^{m}{\frac{{{y}^{(i)}}\left( 1\text{+}{{e}^{{\theta^T}{{x}^{(i)}}}} \right)-{{e}^{{\theta^T}{{x}^{(i)}}}}}{1+{{e}^{{\theta^T}{{x}^{(i)}}}}}x_j^{(i)}}
=−m1i=1∑m1+eθTx(i)y(i)(1+eθTx(i))−eθTx(i)xj(i)
=
−
1
m
∑
i
=
1
m
(
y
(
i
)
−
e
θ
T
x
(
i
)
1
+
e
θ
T
x
(
i
)
)
x
j
(
i
)
=-\frac{1}{m}\sum\limits_{i=1}^{m}{({{y}^{(i)}}-\frac{{{e}^{{\theta^T}{{x}^{(i)}}}}}{1+{{e}^{{\theta^T}{{x}^{(i)}}}}})x_j^{(i)}}
=−m1i=1∑m(y(i)−1+eθTx(i)eθTx(i))xj(i)
=
−
1
m
∑
i
=
1
m
(
y
(
i
)
−
1
1
+
e
−
θ
T
x
(
i
)
)
x
j
(
i
)
=-\frac{1}{m}\sum\limits_{i=1}^{m}{({{y}^{(i)}}-\frac{1}{1+{{e}^{-{\theta^T}{{x}^{(i)}}}}})x_j^{(i)}}
=−m1i=1∑m(y(i)−1+e−θTx(i)1)xj(i)
=
−
1
m
∑
i
=
1
m
[
y
(
i
)
−
h
θ
(
x
(
i
)
)
]
x
j
(
i
)
=-\frac{1}{m}\sum\limits_{i=1}^{m}{[{{y}^{(i)}}-{h_\theta}\left( {{x}^{(i)}} \right)]x_j^{(i)}}
=−m1i=1∑m[y(i)−hθ(x(i))]xj(i)
=
1
m
∑
i
=
1
m
[
h
θ
(
x
(
i
)
)
−
y
(
i
)
]
x
j
(
i
)
=\frac{1}{m}\sum\limits_{i=1}^{m}{[{h_\theta}\left( {{x}^{(i)}} \right)-{{y}^{(i)}}]x_j^{(i)}}
=m1i=1∑m[hθ(x(i))−y(i)]xj(i)
注:虽然得到的梯度下降算法表面上看上去与线性回归的梯度下降算法一样,但是这里的 h θ ( x ) = g ( θ T X ) {h_\theta}\left( x \right)=g\left( {\theta^T}X \right) hθ(x)=g(θTX)与线性回归中不同,所以实际上是不一样的。另外,在运行梯度下降算法之前,进行特征缩放依旧是非常必要的。
简化的成本函数和梯度下降
逻辑回归的代价函数:

这个式子可以合并成:
C
o
s
t
(
h
θ
(
x
)
,
y
)
=
−
y
×
l
o
g
(
h
θ
(
x
)
)
−
(
1
−
y
)
×
l
o
g
(
1
−
h
θ
(
x
)
)
Cost\left( {h_\theta}\left( x \right),y \right)=-y\times log\left( {h_\theta}\left( x \right) \right)-(1-y)\times log\left( 1-{h_\theta}\left( x \right) \right)
Cost(hθ(x),y)=−y×log(hθ(x))−(1−y)×log(1−hθ(x))
即,逻辑回归的代价函数:
C
o
s
t
(
h
θ
(
x
)
,
y
)
=
−
y
×
l
o
g
(
h
θ
(
x
)
)
−
(
1
−
y
)
×
l
o
g
(
1
−
h
θ
(
x
)
)
Cost\left( {h_\theta}\left( x \right),y \right)=-y\times log\left( {h_\theta}\left( x \right) \right)-(1-y)\times log\left( 1-{h_\theta}\left( x \right) \right)
Cost(hθ(x),y)=−y×log(hθ(x))−(1−y)×log(1−hθ(x))
=
−
1
m
∑
i
=
1
m
[
y
(
i
)
log
(
h
θ
(
x
(
i
)
)
)
+
(
1
−
y
(
i
)
)
log
(
1
−
h
θ
(
x
(
i
)
)
)
]
=-\frac{1}{m}\sum\limits_{i=1}^{m}{[{{y}^{(i)}}\log \left( {h_\theta}\left( {{x}^{(i)}} \right) \right)+\left( 1-{{y}^{(i)}} \right)\log \left( 1-{h_\theta}\left( {{x}^{(i)}} \right) \right)]}
=−m1i=1∑m[y(i)log(hθ(x(i)))+(1−y(i))log(1−hθ(x(i)))]
根据这个代价函数,为了拟合出参数,该怎么做呢?我们要试图找尽量让
J
(
θ
)
J\left( \theta \right)
J(θ) 取得最小值的参数$\theta $。
min
θ
J
(
θ
)
\underset{\theta}{\min }J\left( \theta \right)
θminJ(θ)
所以我们想要尽量减小这一项,这将我们将得到某个参数$\theta $。
如果我们给出一个新的样本,假如某个特征
x
x
x,我们可以用拟合训练样本的参数$\theta
,来输出对假设的预测。另外,我们假设的输出,实际上就是这个概率值:
,来输出对假设的预测。 另外,我们假设的输出,实际上就是这个概率值:
,来输出对假设的预测。另外,我们假设的输出,实际上就是这个概率值:p(y=1|x;\theta)$,就是关于
x
x
x以$\theta
为参数,
为参数,
为参数,y=1$ 的概率,你可以认为我们的假设就是估计
y
=
1
y=1
y=1 的概率,所以,接下来就是弄清楚如何最大限度地最小化代价函数
J
(
θ
)
J\left( \theta \right)
J(θ),作为一个关于$\theta
的函数,这样我们才能为训练集拟合出参数
的函数,这样我们才能为训练集拟合出参数
的函数,这样我们才能为训练集拟合出参数\theta $。
最小化代价函数的方法,是使用梯度下降法(gradient descent)。这是我们的代价函数:
J
(
θ
)
=
−
1
m
∑
i
=
1
m
[
y
(
i
)
log
(
h
θ
(
x
(
i
)
)
)
+
(
1
−
y
(
i
)
)
log
(
1
−
h
θ
(
x
(
i
)
)
)
]
J\left( \theta \right)=-\frac{1}{m}\sum\limits_{i=1}^{m}{[{{y}^{(i)}}\log \left( {h_\theta}\left( {{x}^{(i)}} \right) \right)+\left( 1-{{y}^{(i)}} \right)\log \left( 1-{h_\theta}\left( {{x}^{(i)}} \right) \right)]}
J(θ)=−m1i=1∑m[y(i)log(hθ(x(i)))+(1−y(i))log(1−hθ(x(i)))]
如果我们要最小化这个关于
θ
\theta
θ的函数值,这就是我们通常用的梯度下降法的模板。

我们要反复更新每个参数,用这个式子来更新,就是用它自己减去学习率
α
\alpha
α
乘以后面的微分项。求导后得到:

如果你计算一下的话,你会得到这个等式:
θ
j
:
=
θ
j
−
α
1
m
∑
i
=
1
m
(
h
θ
(
x
(
i
)
)
−
y
(
i
)
)
x
j
(
i
)
{\theta_j}:={\theta_j}-\alpha \frac{1}{m}\sum\limits_{i=1}^{m}{({h_\theta}({{x}^{(i)}})-{{y}^{(i)}}){x_{j}}^{(i)}}
θj:=θj−αm1i=1∑m(hθ(x(i))−y(i))xj(i)
我把它写在这里,将后面这个式子,在
i
=
1
i=1
i=1 到
m
m
m 上求和,其实就是预测误差乘以
x
j
(
i
)
x_j^{(i)}
xj(i) ,所以你把这个偏导数项
∂
∂
θ
j
J
(
θ
)
\frac{\partial }{\partial {\theta_j}}J\left( \theta \right)
∂θj∂J(θ)放回到原来式子这里,我们就可以将梯度下降算法写作如下形式:
θ
j
:
=
θ
j
−
α
1
m
∑
i
=
1
m
(
h
θ
(
x
(
i
)
)
−
y
(
i
)
)
x
j
(
i
)
{\theta_j}:={\theta_j}-\alpha \frac{1}{m}\sum\limits_{i=1}^{m}{({h_\theta}({{x}^{(i)}})-{{y}^{(i)}}){x_{j}}^{(i)}}
θj:=θj−αm1i=1∑m(hθ(x(i))−y(i))xj(i)
所以,如果你有
n
n
n 个特征,也就是说:

,参数向量$\theta 包括 包括 包括{\theta_{0}}$ θ 1 {\theta_{1}} θ1 θ 2 {\theta_{2}} θ2 一直到 θ n {\theta_{n}} θn,那么你就需要用这个式子:
θ j : = θ j − α 1 m ∑ i = 1 m ( h θ ( x ( i ) ) − y ( i ) ) x j ( i ) {\theta_j}:={\theta_j}-\alpha \frac{1}{m}\sum\limits_{i=1}^{m}{({h_\theta}({{x}^{(i)}})-{{y}^{(i)}}){{x}_{j}}^{(i)}} θj:=θj−αm1i=1∑m(hθ(x(i))−y(i))xj(i)来同时更新所有 θ \theta θ的值。
现在,如果你把这个更新规则和我们之前用在线性回归上的进行比较的话,你会惊讶地发现,这个式子正是我们用来做线性回归梯度下降的。
那么,线性回归和逻辑回归是同一个算法吗?要回答这个问题,我们要观察逻辑回归看看发生了哪些变化。实际上,假设的定义发生了变化。
对于线性回归假设函数:
h θ ( x ) = θ T X = θ 0 x 0 + θ 1 x 1 + θ 2 x 2 + . . . + θ n x n {h_\theta}\left( x \right)={\theta^T}X={\theta_{0}}{x_{0}}+{\theta_{1}}{x_{1}}+{\theta_{2}}{x_{2}}+...+{\theta_{n}}{x_{n}} hθ(x)=θTX=θ0x0+θ1x1+θ2x2+...+θnxn
而现在逻辑函数假设函数:
h θ ( x ) = 1 1 + e − θ T X {h_\theta}\left( x \right)=\frac{1}{1+{{e}^{-{\theta^T}X}}} hθ(x)=1+e−θTX1
因此,即使更新参数的规则看起来基本相同,但由于假设的定义发生了变化,所以逻辑函数的梯度下降,跟线性回归的梯度下降实际上是两个完全不同的东西。
当我们在谈论线性回归的梯度下降法时,我们谈到了如何监控梯度下降法以确保其收敛,我通常也把同样的方法用在逻辑回归中,来监测梯度下降,以确保它正常收敛。
当使用梯度下降法来实现逻辑回归时,我们有这些不同的参数$\theta
,就是
,就是
,就是{\theta_{0}}$
θ
1
{\theta_{1}}
θ1
θ
2
{\theta_{2}}
θ2 一直到
θ
n
{\theta_{n}}
θn,我们需要用这个表达式来更新这些参数。我们还可以使用 for循环来更新这些参数值,用 for i=1 to n,或者 for i=1 to n+1。当然,不用 for循环也是可以的,理想情况下,我们更提倡使用向量化的实现,可以把所有这些
n
n
n个参数同时更新。
我们之前在谈线性回归时讲到的特征缩放,看到了特征缩放是如何提高梯度下降的收敛速度的,这个特征缩放的方法,也适用于逻辑回归。
如果你的特征范围差距很大的话,那么应用特征缩放的方法,同样也可以让逻辑回归中,梯度下降收敛更快。
多类别分类:一对多
第一个例子:假如说你现在需要一个学习算法能自动地将邮件归类到不同的文件夹里,或者说可以自动地加上标签,那么,你也许需要一些不同的文件夹,或者不同的标签来完成这件事,来区分开来自工作的邮件、来自朋友的邮件、来自家人的邮件或者是有关兴趣爱好的邮件,那么,我们就有了这样一个分类问题:其类别有四个,分别用 y = 1 y=1 y=1、 y = 2 y=2 y=2、 y = 3 y=3 y=3、 y = 4 y=4 y=4 来代表。
第二个例子是有关药物诊断的,如果一个病人因为鼻塞来到你的诊所,他可能并没有生病,用 y = 1 y=1 y=1 这个类别来代表;或者患了感冒,用 y = 2 y=2 y=2 来代表;或者得了流感用 y = 3 y=3 y=3来代表。
第三个例子:如果你正在做有关天气的机器学习分类问题,那么你可能想要区分哪些天是晴天、多云、雨天、或者下雪天,对上述所有的例子, y y y 可以取一个很小的数值,一个相对"谨慎"的数值,比如1 到3、1到4或者其它数值,以上说的都是多类分类问题,顺便一提的是,对于下标是0 1 2 3,还是 1 2 3 4 都不重要,我更喜欢将分类从 1 开始标而不是0,其实怎样标注都不会影响最后的结果。
在多分类问题中,结果的类型不止2个,我们的数据集看起来可能像:


我们用三角形表示
y
=
1
y=1
y=1,方框表示
y
=
2
y=2
y=2,叉叉表示
y
=
3
y=3
y=3。我们下面要做的就是使用一个训练集,将其分成3个二元分类问题。
我们先从用三角形代表的类别1开始,实际上我们可以创建一个,新的"伪"训练集,类型2和类型3定为负类,类型1设定为正类,我们创建一个新的训练集,如下图所示的那样,我们要拟合出一个合适的分类器。

这里的三角形是正样本,而圆形代表负样本。可以这样想,设置三角形的值为1,圆形的值为0,下面我们来训练一个标准的逻辑回归分类器,这样我们就得到一个正边界。
为了能实现这样的转变,我们将多个类中的一个类标记为正向类(
y
=
1
y=1
y=1),然后将其他所有类都标记为负向类,这个模型记作
h
θ
(
1
)
(
x
)
h_\theta^{\left( 1 \right)}\left( x \right)
hθ(1)(x)。接着,类似地第我们选择另一个类标记为正向类(
y
=
2
y=2
y=2),再将其它类都标记为负向类,将这个模型记作
h
θ
(
2
)
(
x
)
h_\theta^{\left( 2 \right)}\left( x \right)
hθ(2)(x),依此类推。
最后我们得到一系列的模型简记为:
h
θ
(
i
)
(
x
)
=
p
(
y
=
i
∣
x
;
θ
)
h_\theta^{\left( i \right)}\left( x \right)=p\left( y=i|x;\theta \right)
hθ(i)(x)=p(y=i∣x;θ)其中:
i
=
(
1
,
2
,
3....
k
)
i=\left( 1,2,3....k \right)
i=(1,2,3....k)
最后,在我们需要做预测时,我们将所有的分类机都运行一遍,然后对每一个输入变量,都选择最高可能性的输出变量。
总之,我们已经把要做的做完了,现在要做的就是训练这个逻辑回归分类器: h θ ( i ) ( x ) h_\theta^{\left( i \right)}\left( x \right) hθ(i)(x), 其中 i i i 对应每一个可能的 y = i y=i y=i,最后,为了做出预测,我们给出输入一个新的 x x x 值,用这个做预测。我们要做的就是在我们三个分类器里面输入 x x x,然后我们选择一个让 h θ ( i ) ( x ) h_\theta^{\left( i \right)}\left( x \right) hθ(i)(x) 最大的 i i i,即 max i h θ ( i ) ( x ) \mathop{\max}\limits_i\,h_\theta^{\left( i \right)}\left( x \right) imaxhθ(i)(x)。
知道了基本的挑选分类器的方法,选择出哪一个分类器是可信度最高效果最好的,那么就可认为得到一个正确的分类,无论 i i i值是多少,我们都有最高的概率值,我们预测 y y y就是那个值。这就是多类别分类问题,以及一对多的方法,通过这个小方法,你现在也可以将逻辑回归分类器用在多类分类的问题上。
本文围绕逻辑回归算法展开,介绍其常用于二分类问题,输出值在0 - 1之间。阐述了假说表示、判定边界、代价函数等原理,给出简化的成本函数和梯度下降算法。还讲解了多类别分类的一对多方法,通过创建多个二元分类器进行预测。

被折叠的 条评论
为什么被折叠?



