基于SSM在线纳新系统
摘 要
21世纪时信息化的时代,几乎任何一个行业都离不开计算机,将计算机运用于在线纳新也是十分常见的。过去使用手工的管理方式对在线纳新进行管理,造成了管理繁琐、难以维护等问题,如今使用计算机对在线纳新的各项基本信息进行管理,比起手工管理来说既方便又简单,而且具有易于管理、搜索速度快、存储量大等多个优点。将其使用在在线纳新管理中,不仅能够提高在线纳新管理中管理员的工作效率,而且可以使在线纳新管理更加科学与规范。在信息化时代的不断冲击下,在线纳新管理与计算机技术的结合,将会是一条提高在线纳新管理水平的捷径。
经过本人的综合考虑,在线纳新系统的设计是基于Java技术、Mysql数据库、Tomcat服务器的方式设计,以Myeclipse和IDEA为开发工具,在Myeclipse集成环境下调试并允许,并运用SSM技术美化网页,辅之以CSS技术。
该系统实现了在线纳新系统内部的各种工作流程计算机管理化,其中包括管理员的系统站点管理、用户管理、社团宣传、宣传分类、入社考试、社团、视频宣传、报名信息、纳新任务等功能。
关键词:在线纳新;Java技术;Mysql数据库;
SSM based on-line innovation system
Abstract
In the information age in the 21st century, almost any industry is inseparable from computers. It is also very common to apply computers to online innovation. In the past, the manual management method was used to manage the online new recruitment, which caused the problems of cumbersome management and difficult maintenance. Now, the use of computer to manage the basic information of online new recruitment is not only convenient and simple compared with manual management, but also has many advantages, such as easy management, fast search speed, large storage capacity and so on. Using it in online recruitment management can not only improve the work efficiency of administrators in online recruitment management, but also make online recruitment management more scientific and standardized. Under the continuous impact of the information age, the combination of online innovation management and computer technology will be a shortcut to improve the level of online innovation management.
After my comprehensive consideration, the design of online new system is based on Java technology, MySQL database and Tomcat server. MyEclipse and idea are used as development tools, debugged and allowed in the MyEclipse integrated environment, and SSM technology is used to beautify web pages, supplemented by CSS technology.
The system realizes the computerized management of various work processes within the online new recruitment system, including the administrator's system site management, user management, community publicity, publicity classification, membership examination, community, video publicity, registration information, new recruitment tasks and other functions.
Key words: Online recruitment; Java technology; Mysql database;
目 录
以往的纳新系统相关信息管理,都是工作人员手工统计。这种方式不但时效性低,而且需要查找和变更的时候很不方便。随着科学的进步,技术的成熟,计算机信息化也日新月异的发展,社会也已经深刻的认识,计算机功能非常的强大,计算机已经进入了人类社会发展的各个领域,并且发挥着十分重要的作用。本系统利用网络沟通、计算机信息存储管理,有着与传统的方式所无法替代的优点。比如计算检索速度特别快、可靠性特别高、存储容量特别大、保密性特别好、可保存时间特别长、成本特别低等。在工作效率上,能够得到极大地提高,延伸至服务水平也会有好的收获,有了网络,在线纳新系统的各方面的管理更加科学和系统,更加规范和简便。
我国对在线纳新的研究主要形成于二十世纪末期。随着在线纳新发展的重要性逐渐凸显,我国对在线纳新的发展、建设能力略显陈旧,难以满足当下壮大并走向繁荣的在线纳新发展现状。我国早期在线纳新研究主要从以往的建设经验入手,较为感性的对大学生在线纳新进行探索、研究相关管理以及组织方法。直到近十年,少数学者在着眼于校园教育时对在线纳新的发展产生了较多的关注并进行了相关的学术研究,有关论文,逐年递增,使我们对社会在线纳新的了解更加深刻且具有理性。
在以北京、上海、天津等一线城市的部分网站进行调查中发现,在以访问的网站中,大多数网站上并没有专门的毕业生在线纳新相关模块,有的也只是在新闻内容中略微提及,缺少明确的在线纳新管理体系部分,且存在信息更新间隔过长、缺乏维护工作的问题。显然,在线纳新在信息化的管理方面缺乏相应的在线纳新管理的策略,更多地处于放任学生之间自由的发展在线纳新的阶段;这使得在线纳新之间发展的不均衡,或从根本上名存实亡的现象屡屡存在。
然而,在大多数网站上都没有找到较为完善的在线纳新管理模块,甚至有的仅仅只在新闻中略加提及,缺少明确的在线纳新管理体系结构。
国外的在线纳新管理系统种类繁多,但主要以单一的在线纳新管理为主体,这主要是因为国外的在线纳新成员大多在大学结束后,可直接加入具有社会性质的俱乐部。大多数在线纳新并不与学校有较明确的管理关系,但在在线纳新相关活动等信息上更新与维护较为及时。
本文的主要工作是研究如何将计算机和信息管理进行有机结合,从而利用Java语言以及Mysql数据库技术在Dreamweaver中实现了系统的功能模块,切实的开发出一套贴近¥新闻管理的实际,有效管理¥新闻的系统。
论文结构如下:
第一章绪论:主要对在线纳新管理系统的开发背景,研究现状,目的,及意义进行了分析。
第二章开发技术及软件:主要把系统开发工具进行介绍,另外讲解开发系统所用到的一些特殊功能技术。
第三章系统分析:主要是对在线纳新管理系统进行需求分析,以及对其数据流程与功能进行分析。
第四章系统设计:主要根据系统需求对系统的设计进行介绍,以及对数据的开发与功能模块设计的过程。
第五章系统实现:本章主要结合系统界面截图,介绍了系统各个功能实现的结果。
第六章系统测试:本章系统进行功能模块的测试,撰写测试用例,确保系统各大功能准确无误。
第七章总结与展望:对整个论文的研究内容进行总结,概括整个论文的特点,指出不足之处,为下步深究指明方向。
超文本传输协议(HTTP)作为协作式与分布式的通信协议,其以万维网交换信息作为前提条件。HTTP为IEIF的国际化标准指标,在制定相关标准与实现内,W3C积极参与其中,同时发挥着不可替代的作用。其能够借助超文本标记语言,将文档在服务器与浏览器之间相互传输。HTML作为构架文档的标记语言,这些文档内将包括有关信息的链接,用户仅需要点击其中一个链接就能够访问多媒体对象与图像,同时获得该链接项所具有的附加信息。
Java是美国sun公司所推出的一款程序设计语言,其能够在多个平台内应用,具有良好兼容性,进而其凭借自身优势在数据中心、个人PC与科技超级计算机等平台内广泛应用,具有目前最为庞大的开发者专业社群。
JDK为美国sun公司为java开发员所推出的一款全新产品,要是没有JDK的情况下,所安装的java程序也就无法运行。
SSM(Spring+SpringMVC+MyBatis)框架集由Spring、MyBatis两个开源框架整合而成(SpringMVC是Spring中的部分内容)。常作为数据源较简单的web项目的框架。
1.6.1 Spring
Spring就像是整个项目中装配bean的大工厂,在配置文件中可以指定使用特定的参数去调用实体类的构造方法来实例化对象。也可以称之为项目中的粘合剂。
Spring的核心思想是IoC(控制反转),即不再需要程序员去显式地`new`一个对象,而是让Spring框架帮你来完成这一切。
1.6.2 SpringMVC
SpringMVC在项目中拦截用户请求,它的核心Servlet即DispatcherServlet承担中介或是前台这样的职责,将用户请求通过HandlerMapping去匹配Controller,Controller就是具体对应请求所执行的操作。SpringMVC相当于SSH框架中struts。
1.6.3 mybatis
mybatis是对jdbc的封装,它让数据库底层操作变的透明。mybatis的操作都是围绕一个sqlSessionFactory实例展开的。mybatis通过配置文件关联到各实体类的Mapper文件,Mapper文件中配置了每个类对数据库所需进行的sql语句映射。在每次与数据库交互时,通过sqlSessionFactory拿到一个sqlSession,再执行sql命令。
页面发送请求给控制器,控制器调用业务层处理逻辑,逻辑层向持久层发送请求,持久层与数据库交互,后将结果返回给业务层,业务层将处理逻辑发送给控制器,控制器再调用视图展现数据。
Vue.js是一套构建用户界面的渐进式框架。与其他重量级框架不同的是,Vue采用自底向上增量开发的设计。Vue 的核心库只关注视图层,并且非常容易学习,非常容易与其它库或已有项目整合。另一方面,Vue 完全有能力驱动采用单文件组件和Vue生态系统支持的库开发的复杂单页应用。
Vue.js 的目标是通过尽可能简单的 API 实现响应的数据绑定和组合的视图组件。
Vue.js 自身不是一个全能框架——它只聚焦于视图层。因此它非常容易学习,非常容易与其它库或已有项目整合。另一方面,在与相关工具和支持库一起使用时,Vue.js 也能驱动复杂的单页应用。
-
- Mysql数据库
Mysql 经过多次的更新,功能层面已经非常的丰富和完善了,从Mysql4版本到5版本进行了比较大的更新,在商业的实际使用中取得了很好的实际应用效果。最新版本的Mysql支持对信息的压缩,同时还能进行加密能更好的满足对信息安全性的需求。同时经过系统的多次更新,数据库自身的镜像功能也得到了很大的增强,运行的流畅度和易用性方面有了不小的进步,驱动的使用和创建也更加的高效快捷。最大的变动还是进行了空间信息的显示优化,能更加方便的在应用地图上进行坐标的标注和运算。强大的备份功能也保证了用户使用的过程会更加安心,同时支持的Office特性还支持用户的自行安装和使用。在信息的显示形式上也进行了不小的更新,增加了两个非常使用的显示区,一个是信息区,对表格和文字进行了分类处理,界面的显示更加清爽和具体。第二是仪表的信息控件,能在仪表信息区进行信息的显示,同时还能进行多个信息的比对,为用户的实际使用带来了很大的便捷。
针对本文中设计的学生在线纳新管理系统在实际的实现过程中,最终选择Mysql数据库的主要原因在于在企业的应用系统应用及开发的过程中会存在大量的数据库比较频繁的操作,而且数据的安全性要求也是非常的高。综合这些因素,最终选择安全性系数比较高的Mysql来对学生在线纳新管理系统后台数据进行存储操作。
开发任何一个系统,都要对其可行性进行分析,对其时间和资源上的限制进行考虑,这样可以减少系统开发的风险。同时,分析之后不仅能够合理的运用人力,还能在各方面资源的消耗上得到节省。下面就对技术、经济和社会三个方面来介绍。
技术可行性主要考虑当前项目所用的技术是否能够符合,在设备上是否能够满足,及各种辅助工具是否提供帮助。本系统用的是Java开发语言,调试相对简单,当前的计算机硬件配置也完全能满足开发的需求,因此在技术上是绝对可行的。软件方面:由于软件的开发平台成熟可行,它们速度快、容量大、可靠性能高、价格低,完全能满足系统的需求。采用Java编程语言,已无技术上的问题。
系统所采用的Myeclipse开发平台和Mysql后端数据库均为免费开发工具。故开发成本主要集中在后期的推广及系统维护上。相对于成本较高的C/S模式,也是选用了成本较低的B/S模式,所以经济上几乎没任何问题。
本系统是自行开发的系统,以方便高效管理在线纳新为出发点,是具有实际意义的系统,开发的环境软件和用到的数据库也都是开源代码,不存在侵权等问题,所以在社会方面也是可行的。
用户用例图如下所示。

图3-1 用户用例图
管理员用例图如下所示。

图3-2 管理员用例图
通过对用例图的分析和调查,根据本系统的实际需要,从用户角度提出需求功能如下:
1.管理员功能需求:
用户管理模块:管理员查看用户基本信息,并实现对用户信息的增加、删除、修改等功能。
站点管理模块:查询标题的增加、删除、修改等功能。
宣传分类管理:包括广播管理,视频管理和图文管理。广播管理是为了发布直接到达所有用户收件箱的重要消息。视频管理和图文管理是负责首页里纳新宣传里的视频宣传和图文宣传。
社团宣传管理模块:包含所有社团的纳新宣传页面,分为视频宣传和图文宣传。
纳新任务管理模块:管理员查看纳新任务,并且添加纳新数据,也能够删除纳新数据。
入社考试管理模块:处理入社考试新生,管理员对新生入社考试是否通过等操作。
报名信息管理模块:处理报名的新生,是否同意报名,同时可以选择是否完成纳新任务。
2.用户功能需求:
用户注册模块:将用户信息录入数据库,用户利用注册的账号以及密码登录系统,浏览查看各种信息,添加部分信息;
社团查询:可以通过社团分类来查询,也可以直接根据名字查询。
社团宣传模块:包含所有社团的在纳新宣传页面,分为视频宣传和图文宣传。
社团:毕业生登陆的模块,注册为毕业生的用户可以根据注册时填写的信息直接查看自己的社团。
-
- 系统性能需求
评判一个系统好坏的一项重要指标就是性能,下面是对此系统的一些性能进行阐述。
1.系统的安全性和稳定性: 新生在线纳新管理系统在管理权限上有着严格的控制,即想登录此平台进行操作,则必须要有操作权限,没有权限的用户是不可能登录平台查看任何的信息和数据,从而确保了系统的安全性。
2.数据的完整性和准确性:第一个是各项记录信息的完整性,信息记录的内容可以为空;第二个是各项信息数据之间相互联系的准确性;第三个是数据在不同记录信息的一致性
3.用户操作系统简单方便
在系统开发中按照“简单易用”的原则,能够使用户对系统的使用一目了然,既能保证用户使用,同时又能保证维护人员方便维护。
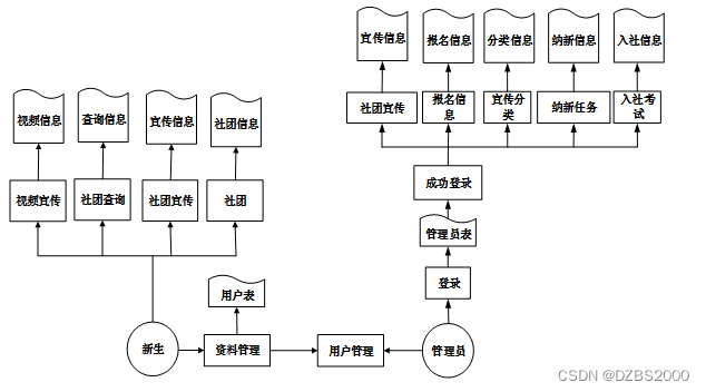
业务流程图不仅能反映出内部业务之间的关系,而且能体现出作业顺序及信息的流动。新生在线纳新管理系统必须支持整个组织在不同层次上的各种功能,各个功能模块之间又有各种不同相关的信息进行联系,构成了一个有机的整体,根据在线纳新管理的特点以及结合所面临的实际情况,设计出了系统的业务流程图。
系统的业务流程如下图所示。

图3-1系统业务流程图
在分析了系统的业务流程之后,就要分析系统的数据流,为后面设计系统的数据库做好基础。这里主要利用数据流程图来说明数据流程。数据流程图是一个图示工具,容易理解,容易在开发和用户方之间进行交流,以及在开发组织内部交流。因此数据流程图作为一种模型工具已经广泛使用在软件工程的实践中。
系统的顶层数据流图如下图所示。

图3-2系统数据流图(顶层)
根据系统的业务流程,用户浏览所使用到的数据归纳为输出信息。而用户提交的数据则作为系统的输入数据。相应的,根据系统管理员业务流程,管理员对系统内容的添加、更新和删除等所操作的数据定义为输入信息。
系统的底层数据流图如下图所示。

图3-3系统数据流图(底层)
本系统架构设计主要分为可以3层,主要有Web层,业务层,Model层。其中web层还包括View层和Controller层,Model层包括元数据扩展层和数据访问层。

图4-1系统架构图
根据对系统的功能进行分析可以总结在线纳新系统的具体功能模块包括下面的几个主要的功能模块:该系统主要从两大模块进行设计的,首先就是用户参与操作需要的模块,此外还需要有管理员用到的模块,两者之间不是互相独立的,他们之间有着密切的联系,同数据库表中的数据连接起来进行操作。每个模块访问相同的数据库,但访问的表不同。系统的各个功能模块是根据所收集的资料研究得到的。在以上分析功能的基础上,系统模块分为多个模块。用户含有的功能有注册,登录,社团、社团宣传、社团查询、视频宣传等,退出登录等功能,管理员含有的功能有修改密码,用户管理、纳新任务管理、社团宣传、视频宣传管理、宣传分类管理、入社考试管理、报名信息等功能。
系统的功能结构图如下图所示。

图4-2系统功能结构图
用户模块主要实现用户的注册、登录、论坛中心、入社考试、公告栏、社团宣传、社团、视频宣传、个人资料修改、登录密码修改等功能。
用户注册:用户通过账号注册得到用户名和密码。
用户登录:用户在被管理员添加成功后,通过管理员提供的用户名、密码和输入验证码进行登录,操作非常简单。
个人资料管理:用户根据用户ID修改当前ID的一些属性的值。
修改个人登录密码:用户登录在线纳新系统后可以自己修改自己的密码。
论坛中心:测试标题、搜索发布内容。
入社考试模块:进入纳新新生要入社考试,新生入社考试是否通过等操作。
社团宣传:包含所有社团的纳新宣传页面,分为视频宣传和图文宣传。
社团:社团:毕业生登陆的模块,注册为毕业生的用户可以根据注册时填写的信息直接查看自己的社团。
视频宣传:用户根据自己的需求选中某个在线纳新进行视频宣传。
管理员模块是本系统重要开发部分,它的使用对象是系统管理员,在进入管理员模块前,需要输入正确的用户姓名、密码和验证码,才能进入管理员模块。界面右上方有退出系统按钮,点击可退出管理员模块界面。
系统用户管理:管理员添加、管理、查询管理员信息并有修改他们密码的权限。
注册用户管理:管理员管理已注册的用户,审核刚注册的用户,修改用户的基本信息。
社团管理:管理员录入社团信息,跳转至添社团页面,填写社团信息,提交后,社团信息存储数据库的社团信息表中,包括社团名称、社团位置、社团背景、封面、社团公告、现任成员等信息。
纳新任务管理:纳新任务信息管理包括纳新任务信息录入、纳新任务信息修改、纳新任务信息删除,在数据库中设计并建立纳新任务信息表,管理员添加纳新任务信息,即往数据表中插入一条数据,删除纳新任务信息,则在数据库删除一条数据,修改纳新任务信息,则修改数据库的数据。
报名信息:只属于新生登陆,这个模块的功能是新生完成兴趣选择题,根据选择结果进行社团推荐。
视频宣传:包括所有社团的视频宣传页面。
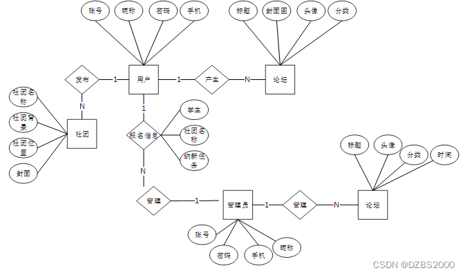
E-R图一般是由实体、实体的属性与联系三个要素组成的。在规划系统中所使用的数据库实体对象及实体E-R图,则需要通过对系统的需求分析、业务流程设计和系统功能结构来确定的。
总体ER图如下图所示。

图4-3总体ER图
将实体属性模型转换为关系数据库应该遵循以下几个原则:
1.一个实体转换后要对应一个关系。
2.所有的主键必须要定义为非空(not null)。
3.针对二元联系也应该按照一对多、弱对实、一对一和多对多等联系来定义外键。
得到数据库的关系后,设计如下表结构。
| 名称 | 类型 | 长度 | 不是null | 主键 | 注释 |
| accept_new_tasks_id | int | 11 | 是 | 是 | 纳新任务ID |
| community_name | varchar | 64 | 否 | 否 | 社团名称 |
| to_be_completed | int | 11 | 否 | 否 | 需完成 |
| completed | int | 11 | 否 | 否 | 已完成 |
| examine_state | varchar | 16 | 是 | 否 | 审核状态 |
| recommend | int | 11 | 是 | 否 | 智能推荐 |
| create_time | datetime | 0 | 是 | 否 | 创建时间 |
| update_time | timestamp | 0 | 是 | 否 | 更新时间 |
| 名称 | 类型 | 长度 | 不是null | 主键 | 注释 |
| an_association_id | int | 11 | 是 | 是 | 社团ID |
| community_name | varchar | 64 | 否 | 否 | 社团名称 |
| community_location | varchar | 64 | 否 | 否 | 社团位置 |
| community_background | text | 0 | 否 | 否 | 社团背景 |
| cover | varchar | 255 | 否 | 否 | 封面 |
| community_announcement | text | 0 | 否 | 否 | 社团公告 |
| current_members_ | text | 0 | 否 | 否 | 现任成员 |
| hits | int | 11 | 是 | 否 | 点击数 |
| examine_state | varchar | 16 | 是 | 否 | 审核状态 |
| recommend | int | 11 | 是 | 否 | 智能推荐 |
| create_time | datetime | 0 | 是 | 否 | 创建时间 |
| update_time | timestamp | 0 | 是 | 否 | 更新时间 |
| 名称 | 类型 | 长度 | 不是null | 主键 | 注释 |
| graduate_id | int | 11 | 是 | 是 | 毕业生ID |
| full_name | varchar | 64 | 否 | 否 | 姓名 |
| graduation_time | varchar | 64 | 否 | 否 | 毕业时间 |
| gender | varchar | 64 | 否 | 否 | 性别 |
| affiliated_association | varchar | 64 | 否 | 否 | 所属社团 |
| examine_state | varchar | 16 | 是 | 否 | 审核状态 |
| recommend | int | 11 | 是 | 否 | 智能推荐 |
| user_id | int | 11 | 是 | 否 | 用户ID |
| create_time | datetime | 0 | 是 | 否 | 创建时间 |
| update_time | timestamp | 0 | 是 | 否 | 更新时间 |
| 名称 | 类型 | 长度 | 不是null | 主键 | 注释 |
| newborn_id | int | 11 | 是 | 是 | 新生ID |
| full_name | varchar | 64 | 否 | 否 | 姓名 |
| gender | varchar | 64 | 否 | 否 | 性别 |
| student_number | varchar | 64 | 是 | 否 | 学号 |
| examine_state | varchar | 16 | 是 | 否 | 审核状态 |
| recommend | int | 11 | 是 | 否 | 智能推荐 |
| user_id | int | 11 | 是 | 否 | 用户ID |
| create_time | datetime | 0 | 是 | 否 | 创建时间 |
| update_time | timestamp | 0 | 是 | 否 | 更新时间 |
| 名称 | 类型 | 长度 | 不是null | 主键 | 注释 |
| registration_information_id | int | 11 | 是 | 是 | 报名信息ID |
| community_name | varchar | 64 | 否 | 否 | 社团名称 |
| student | int | 11 | 否 | 否 | 学生 |
| answer_or_not | varchar | 64 | 否 | 否 | 答题与否 |
| audit_status | varchar | 64 | 否 | 否 | 审核状态 |
| accept_new_tasks | varchar | 64 | 否 | 否 | 纳新任务 |
| examine_state | varchar | 16 | 是 | 否 | 审核状态 |
| recommend | int | 11 | 是 | 否 | 智能推荐 |
| create_time | datetime | 0 | 是 | 否 | 创建时间 |
| update_time | timestamp | 0 | 是 | 否 | 更新时间 |
| 名称 | 类型 | 长度 | 不是null | 主键 | 注释 |
| video_publicity_id | int | 11 | 是 | 是 | 视频宣传ID |
| title | varchar | 64 | 否 | 否 | 标题 |
| video_introduction | text | 0 | 否 | 否 | 视频简介 |
| video | varchar | 255 | 否 | 否 | 视频 |
| an_association | varchar | 64 | 否 | 否 | 社团 |
| cover | varchar | 255 | 否 | 否 | 封面 |
| hits | int | 11 | 是 | 否 | 点击数 |
| examine_state | varchar | 16 | 是 | 否 | 审核状态 |
| recommend | int | 11 | 是 | 否 | 智能推荐 |
| create_time | datetime | 0 | 是 | 否 | 创建时间 |
| update_time | timestamp | 0 | 是 | 否 | 更新时间 |
从web系统查询数据的根本的查询步骤:
Step1: 进行检查并且过滤来自用户的系统数据;
Step2: 成立起一个合适的数据库进行连接;
Step3: 进行查询系统数据库;
Step4: 获得查询的结构;
Step5: 把查询的结果展示给用户。
Step6: 数据库连接断开,释放资源。
数据库连接原理如下图所示。

图5-1数据库连接原理
数据库连接关键代码如下所示。
/**
* 临时访问牌(AccessToken)表实体类
*
*/
@TableName("access_token")
@Data
@EqualsAndHashCode(callSuper = false)
public class AccessToken implements Serializable {
private static final long serialVersionUID = 913269304437207500L;
/**
* 临时访问牌ID
*/
@TableId(value = "token_id", type = IdType.AUTO)
private Integer tokenId;
/**
* 临时访问牌
*/
@TableField(value = "token")
private String token;
/**
* 最大寿命:默认2小时
*/
@TableField(value = "maxage")
private Integer maxage;
/**
* 创建时间:
*/
@TableField(value = "create_time")
private Timestamp createTime;
/**
* 更新时间:
*/
@TableField(value = "update_time")
private Timestamp updateTime;
/**
* 用户信息
*/
@TableField(value = "user_id")
private Integer user_id;
}
为确保系统安全性,系统操作员只有在登录界面输入正确的用户名、密码、权限以及验证码,单击“登录”按钮后才能够进入本系统的主界面。
用户登录流程图如下所示。

图5-2用户登录流程图
登录界面如下图所示。
图5-3登录界面
/**
* 登录
* @param data
* @param httpServletRequest
* @return
*/
@PostMapping("login")
public Map<String, Object> login(@RequestBody Map<String, String> data, HttpServletRequest httpServletRequest) {
log.info("[执行登录接口]");
String username = data.get("username");
String email = data.get("email");
String phone = data.get("phone");
String password = data.get("password");
List resultList = null;
QueryWrapper wrapper = new QueryWrapper<User>();
Map<String, String> map = new HashMap<>();
if(username != null && "".equals(username) == false){
map.put("username", username);
resultList = service.selectBaseList(service.select(map, new HashMap<>()));
}
else if(email != null && "".equals(email) == false){
map.put("email", email);
resultList = service.selectBaseList(service.select(map, new HashMap<>()));
}
else if(phone != null && "".equals(phone) == false){
map.put("phone", phone);
resultList = service.selectBaseList(service.select(map, new HashMap<>()));
}else{
return error(30000, "账号或密码不能为空");
}
if (resultList == null || password == null) {
return error(30000, "账号或密码不能为空");
}
//判断是否有这个用户
if (resultList.size()<=0){
return error(30000,"用户不存在");
}
User byUsername = (User) resultList.get(0);
Map<String, String> groupMap = new HashMap<>();
groupMap.put("name",byUsername.getUserGroup());
List groupList = userGroupService.selectBaseList(userGroupService.select(groupMap, new HashMap<>()));
if (groupList.size()<1){
return error(30000,"用户组不存在");
}
UserGroup userGroup = (UserGroup) groupList.get(0);
//查询用户审核状态
if (!StringUtils.isEmpty(userGroup.getSourceTable())){
String res = service.selectExamineState(userGroup.getSourceTable(),byUsername.getUserId());
if (res==null){
return error(30000,"用户不存在");
}
if (!res.equals("已通过")){
return error(30000,"该用户审核未通过");
}
}
//查询用户状态
if (byUsername.getState()!=1){
return error(30000,"用户非可用状态,不能登录");
}
String md5password = service.encryption(password);
if (byUsername.getPassword().equals(md5password)) {
// 存储Token到数据库
AccessToken accessToken = new AccessToken();
accessToken.setToken(UUID.randomUUID().toString().replaceAll("-", ""));
accessToken.setUser_id(byUsername.getUserId());
tokenService.save(accessToken);
// 返回用户信息
JSONObject user = JSONObject.parseObject(JSONObject.toJSONString(byUsername));
user.put("token", accessToken.getToken());
JSONObject ret = new JSONObject();
ret.put("obj",user);
return success(ret);
} else {
return error(30000, "账号或密码不正确");
}
}
public String select(Map<String,String> query,Map<String,String> config){
StringBuffer sql = new StringBuffer("select ");
sql.append(config.get(FindConfig.FIELD) == null || "".equals(config.get(FindConfig.FIELD)) ? "*" : config.get(FindConfig.FIELD)).append(" ");
sql.append("from ").append("`").append(table).append("`").append(toWhereSql(query, "0".equals(config.get(FindConfig.LIKE))));
if (config.get(FindConfig.GROUP_BY) != null && !"".equals(config.get(FindConfig.GROUP_BY))){
sql.append("group by ").append(config.get(FindConfig.GROUP_BY)).append(" ");
}
if (config.get(FindConfig.ORDER_BY) != null && !"".equals(config.get(FindConfig.ORDER_BY))){
sql.append("order by ").append(config.get(FindConfig.ORDER_BY)).append(" ");
}
if (config.get(FindConfig.PAGE) != null && !"".equals(config.get(FindConfig.PAGE))){
int page = config.get(FindConfig.PAGE) != null && !"".equals(config.get(FindConfig.PAGE)) ? Integer.parseInt(config.get(FindConfig.PAGE)) : 1;
int limit = config.get(FindConfig.SIZE) != null && !"".equals(config.get(FindConfig.SIZE)) ? Integer.parseInt(config.get(FindConfig.SIZE)) : 10;
sql.append(" limit ").append( (page-1)*limit ).append(" , ").append(limit);
}
log.info("[{}] - 查询操作,sql: {}",table,sql);
return sql.toString();
}
public List selectBaseList(String select) {
List<Map<String,Object>> mapList = baseMapper.selectBaseList(select);
List<E> list = new ArrayList<>();
for (Map<String,Object> map:mapList) {
list.add(JSON.parseObject(JSON.toJSONString(map),eClass));
}
return list;
}
用户输入账号、设置密码、确认密码、昵称、邮箱、手机号、身份、姓名 性别、学号等必填信息后,点击注册按钮完成用户的注册。
用户注册流程图如下所示。

图5-4用户注册流程图
用户注册界面如下图所示。

图5-5用户注册界面
/**
* 注册
* @return
*/
@PostMapping("register")
public Map<String, Object> signUp(HttpServletRequest request) throws IOException {
// 查询用户
Map<String, String> query = new HashMap<>();
Map<String,Object> map = service.readBody(request.getReader());
query.put("username",String.valueOf(map.get("username")));
List list = service.selectBaseList(service.select(query, new HashMap<>()));
if (list.size()>0){
return error(30000, "用户已存在");
}
map.put("password",service.encryption(String.valueOf(map.get("password"))));
service.insert(map);
return success(1);
}
public Map<String,Object> readBody(BufferedReader reader){
BufferedReader br = null;
StringBuilder sb = new StringBuilder("");
try{
br = reader;
String str;
while ((str = br.readLine()) != null){
sb.append(str);
}
br.close();
String json = sb.toString();
return JSONObject.parseObject(json, Map.class);
}catch (IOException e){
e.printStackTrace();
}finally{
if (null != br){
try{
br.close();
}catch (IOException e){
e.printStackTrace();
}
}
}
return null;
}
public void insert(Map<String,Object> body){
E entity = JSON.parseObject(JSON.toJSONString(body),eClass);
baseMapper.insert(entity);
log.info("[{}] - 插入操作:{}",entity);
}
-
-
- 入社考试模块的实现
-
学生点击社团入社考试按钮进入社团里面,名称、答题时长、总分等操作。
入社考试流程图如下所示。

图5-6入社考试流程图
入社考试界面如图所示。

图5-7入社考试界面
学生点击某个标题搜索进入社团宣传视频详细页,标题、社团、封面进行操作。
视频宣传流程图如下所示。

图5-8视频宣传流程图
视频宣传界面如图所示。

图5-9视频宣传界面
为确保系统安全性,系统操作员只有在登录界面输入正确的用户名、密码、权限以及验证码,单击“登录”按钮后才能够进入本系统的主界面。
管理员登陆流程图如下所示。
图5-10管理员登陆流程图
管理员登陆界面如下图所示。

图5-11管理员登陆界面
站点管理在进入轮播图可查询标题、轮播图、正文、链接对其添加、删除等操作。
轮播图界面如图所示。

图5-12轮播图界面
项目方法集成在BaseController.java文件中,增的代码如下:
@PostMapping("/add")
@Transactional
public Map<String, Object> add(HttpServletRequest request) throws IOException {
service.insert(service.readBody(request.getReader()));
return success(1);
}
@Transactional
public Map<String, Object> addMap(Map<String,Object> map){
service.insert(map);
return success(1);
}
公告栏界面图如图所示:

图5-13公告栏界面
论坛列表信息添加功能主要指对其标题、封面图、分类、标签等一些基本信息的添加、删除和修改。
论坛列表流程图如下所示。

图5-14论坛列表流程图
论坛列表界面如下图所示。

图5-15论坛列表界面
管理员发布新的社团宣传信息,系统显示社团宣传信息,社团信息添加功能主要指对其标题、封面图、文章分类、点击数、来源、标签等一些基本信息的添加、删除和修改。社团宣传能根据多种条件对社团信息进行查询。
社团宣传流程图如下所示。

图5-16社团宣传流程图
社团宣传界面如下所示。

图5-17社团宣传界面
社团宣传查询界面如下所示。

图5-18社团宣传查询界面
社团宣传查询关键代码如下所示。
@RequestMapping("/get_list")
public Map<String, Object> getList(HttpServletRequest request) {
Map<String, Object> map = service.selectToPage(service.readQuery(request), service.readConfig(request));
return success(map);
}
社团信息添加功能主要指对其社团名称、社团位置、社团公告、社团背景、现任成员等一些基本信息的添加、删除和修改。社团查询能根据社团位置、社团名称等多种条件对社团信息进行查询。
社团添加流程图如下所示。

图5-29社团添加流程图
社团添加界面如下所示。

图5-20社团添加界面
社团查询界面如下所示。

图5-21社团查询界面
报名信息模块可以分解为社团名称、学生、答题与否、审核状态、纳新任务等功能,首选用户先选择社团,然后点击报名人按钮,填写报名人数据,系统会通过ajax来验证表单填写是否符合,不符合则提示,用户继续输入到符合为止,符合之后,用户可以成功提交数据。
报名信息流程图如下所示。

图5-22报名信息流程图
报名信息界面如图所示。

图5-23报名信息界面
纳新任务界面如图所示。

图5-24纳新任务管理界面
1、服务器端
操作系统:Windows 7
Web服务器:Tomcat7.0
数据库:Mysql
开发语言:Java
2、客户端
浏览器:Internet Explorer10
界面布局:DIV+CSS
分辨率:最佳效果1027*768以上像素
3、开发工具
Visual Studio Code
Myeclipse
系统测试是用于检查软件的质量、性能、可靠性等是否符合用户需求。一套严谨的、规范的、完善的测试过程将大大提高软件的质量、可信度、可靠性,降低软件的出错率,降低用户风险系数。通过在计算机上对系统进行测试试验并从中发现此系统中存在的问题和错误然后加以修改,使之更加符合用户需求。
1.测试的目的是通过测试来发现程序在执行过程中的错误的过程。
2.好的测试方案是可以检验出还未被发现的错误的方案。
3.好的测试是发现了到目前为止还未被发现的错误的测试。
4.该系统能够完成在线纳新活动/经费申请、在线纳新维护、活动/经费申请维护、用户维护、系统维护等功能,做到所开发的系统操作简单,尽量使系统操作不受用户对电脑知识水平的限制。
下表是在线纳新系统功能的测试用例,检测了在线纳新系统中对在线纳新信息的增加,删除,修改,查询操作是否成功运行。观察系统的响应情况,得出该功能也达到了设计目标,系统运行正确。
前置条件;用户登录系统。
表6-1 社团管理的测试用例
| 功能描述 | 用于社团管理 | |
| 测试目的 | 检测社团管理时的各种操作的运行情况 | |
| 测试数据以及操作 | 预期结果 | 实际结果 |
| 点击添加社团,必填项合法输入,点击保存 | 提示添加成功 | 与预期结果一致 |
| 点击添加社团,必填项输入不合法,点击保存 | 提示必填项不能为空 | 与预期结果一致 |
| 点击修改社团,必填项修改为空,点击保存 | 提示必填项不能为空 | 与预期结果一致 |
| 点击修改社团,必填项输入不合法,点击保存 | 提示必填项不能为空 | 与预期结果一致 |
| 点击删除社团,选择社团删除 | 提示删除成功 | 与预期结果一致 |
| 点击搜索社团,输入存在的社团名 | 查找出社团 | 与预期结果一致 |
| 点击搜索社团 ,输入不存在的在线纳新名 | 不显示社团 | 与预期结果一致 |
下表是报名信息管理功能的测试用例,检测了报名信息的操作是否成功运行。观察系统的响应情况,得出该功能也达到了设计目标,系统运行正确。
前置条件;用户登录系统。
表6-2 报名信息管理的测试用例
| 功能描述 | 用于报名信息管理 | |
| 测试目的 | 检测报名信息管理时各种操作的情况 | |
| 测试数据以及操作 | 预期结果 | 实际结果 |
| 未选择报名,点击提交 | 提示请选择报名 | 与预期结果一致 |
| 未上传附件,点击提交 | 提示请选择附件 | 与预期结果一致 |
| 未选择原因,点击提交 | 提示请选择原因 | 与预期结果一致 |
根据以上测试情况,测试结果如下表所示。
表6-1测试结果表
| 测试项目 | 测试结果 |
| 登录测试 | 成功 |
| 修改密码测试 | 成功 |
| 报名信息测试 | 成功 |
| 社团测试 | 成功 |
| 纳新任务 | 成功 |
| 社团宣传测试 | 成功 |
| 用户管理测试 | 成功 |
| 入社考试管理测试 | 成功 |
| 社团管理测试 | 成功 |
| 站点管理测试 | 成功 |
本研究针对在线纳新系统地需求建模,数据建模及过程建模分析设计并实现在线纳新系统的过程。给出系统应用架构并分析优劣势,通过功能分解图,系统组件图描述功能需求。设计建立了数据库,给出系统关键数据结构的定义。通过类关系图描述组件间的协作关系,给出各个类的定义方法。通过描述每一个类的字段,属性及方法实现在线纳新系统的前后端代码。最终给出系统集成整合方法,完成在线纳新系统地设计与实现。
在此项目的开发中,先要按照产品经理做出的产品模型铺出大体的页面,并在其中找好页面的逻辑关系,并且中途总结一些页面上的问题重新反馈给产品经理,当静态页面的搭建的大体已经完善时,就需要和负责后台开发的技术开发者联系,来接好前后台的数据接口,可以让后台的信息在前台显示出来,在这个项目实现中,不光明白了前端开发和产品经理的联系,也明白了后台在整个系统中起到了什么作用,因为前后台的连接,用户可以对系统进行操作,可以在输入自己的相关信息后,通过后台加工,完成对数据库的查找、修改、添加,而理解了这些关系与实现的方法后。再去完善整个系统的功能就更加清晰与简单了。此次的项目它涉及了前台与后台系统的搭建,在学校所学的知识基础上,此次的项目,让我对于一个系统的前端开发,以及后台的作用都有了一个更深切的认知。
参考文献
[1]陈进强.某学院学生在线纳新管理系统设计与实现[J].科学技术创新,2021(24):108-110.
[2]韩煦.加强政治建设与高校学生在线纳新管理体系升级[J].党政论坛,2021(04):37-40.
[3]唐克.基于结构功能主义视角的大学生在线纳新管理探究[J].安徽理工大学学报(社会科学版),2021,23(04):91-95.
[4]孙梦,郎朗.高校学生在线纳新管理机制研究评述[J].教育教学论坛,2021(24):29-32.
[5]奚楠. 基于知识地图的中国近代科技在线纳新资料数据库及应用系统的设计与实现[D].北京邮电大学,2021.DOI:10.26969/d.cnki.gbydu.2021.001912.
[6]任鑫梅,刘小英.高校在线纳新管理信息系统的设计与实现[J].电脑知识与技术,2021,17(11):31-32+35.DOI:10.14004/j.cnki.ckt.2021.0923.
[7]吴尚妍,陈贵平.基于JavaWeb的校园在线纳新平台设计与开发[J].电脑知识与技术,2021,17(10):76-78+92.DOI:10.14004/j.cnki.ckt.2021.1039.
[8]Meng Hou. Analysis and Design of Community Management System based on Web[J]. Frontiers in Economics and Management,2021,2(2):
[9]张思远,姜欣彤,宁常鑫,许秀英,周正.新工科背景下科技创新在线纳新管理平台的开发与实现[J].科技与创新,2020(23):80-81.DOI:10.15913/j.cnki.kjycx.2020.23.031.
[10]Faquan Yang,Yang Faquan,Su Huana,Huang Mei,Cai Zihong,Lan Di. Community Management System Based on Embedded WEB Server Data Transmission Method[J]. Journal of Physics: Conference Series,2020,1673(1):
[11]全宝霞. 中等职业技术学校学生在线纳新管理的个案研究[D].江西师范大学,2020.DOI:10.27178/d.cnki.gjxsu.2020.001696.
[12]符毓晟.高校学生在线纳新管理系统设计与实现[J].电脑知识与技术,2020,16(27):75-78.DOI:10.14004/j.cnki.ckt.2020.2879.
[13]高鉴.基于JAVA的在线纳新管理后台系统设计[J].中阿科技论坛(中英文),2020(09):90-93.
[14]胡业宇.书院制模式下学生在线纳新管理的问题与对策——以南京审计大学为例[J].高教学刊,2020(27):162-165.
[15]贾秋玲.高校学生在线纳新管理及其文化建设探索[J].产业与科技论坛,2020,19(16):279-280.
致谢
在此论文完成之际,感谢我的指导老师。在指导老师的网页设计课上,当时我学到了很多东西,这对于我实习过程中也打了一定的基础,而且指导老师对于我的设计也提出许多建议,并予以悉心的指导,对于一些细小的问题都耐心的指导我去完善,授予我写论文的好友,时常的鼓励我,另外感谢教导我完善此项目的前端同学,对于这个项目,我是边学习边实现完成的,有许多东西开始并不是很明白,但前端开发的同学非常耐心的引导我去将这个项目完成,在系统的后端开发中,所用到的后台开发技术也时常会给我讲解,助于我更好的将论文完成,在此对帮助到我的同学和一直予以教导的指导老师致以衷心的感谢,祝事业有成。
135

被折叠的 条评论
为什么被折叠?



