二叉树的前序遍历,中序遍历,后序遍历和层序遍历
144. 二叉树的前序遍历 - 力扣(LeetCode)
94. 二叉树的中序遍历 - 力扣(LeetCode)
145. 二叉树的后序遍历 - 力扣(LeetCode)
102. 二叉树的层序遍历 - 力扣(LeetCode)
1. 二叉树的实现:
#include <stdio.h>
#include <stdlib.h>
#include <time.h>
typedef struct TreeNode {
int data;
struct TreeNode *left, *right;
}node;
node *GetNewNode(int val){
node *newnode = (node *)malloc(sizeof(node));
newnode->left = NULL;
newnode->right = NULL;
newnode->data = val;
return newnode;
}
void TreeNodeClear(node *root){
if(root == NULL){
return;
}
TreeNodeClear(root->left);
TreeNodeClear(root->right);
free(root);
return;
}
node *Insert(node *root, int val){
if(root == NULL){
return GetNewNode(val);
}
if(rand() % 2){
root->left = Insert(root->left, val);
}else{
root->right = Insert(root->right, val);
}
return root;
}
//广度优先遍历bfs
node *queue[15];
int head = 0, tail = 0;
void bfs(node *root){
queue[tail++] = root;
while(head < tail){
node *node = queue[head];
printf("\nnode : %d\n", node->data);
if(node->left){
queue[tail++] = node->left;
printf("\t%d->%d (left)\n", node->data, node->left->data);
}
if(node->right){
queue[tail++] = node->right;
printf("\t%d->%d (right)\n", node->data, node->right->data);
}
head++;
}
return;
}
int main()
{
srand(time(0));
node *root = NULL;
for(int i = 0 ; i < 10 ; i++){
root = Insert(root, rand() % 100);
}
bfs(root);
return 0;
}
2. 二叉树的前序遍历

【前序遍历】如果二叉树为空,则直接返回。否则,先访问根结点,再递归前序遍历左子树,再递归前序遍历右子树。
code:
void pre_order(node *root){
if(root == NULL){
return; //(1)
}
printf("%d ", root->data); //(2)
pre_order(root->left); //(3)
pre_order(root->right); //(4)
return;
}
- (1) 待访问结点为空时,直接返回;
- (2)先访问当前树的根;
- (3)再前序遍历左子树;
- (4)最后前序遍历右子树;
3. 二叉树的中序遍历

【中序遍历】如果二叉树为空,则直接返回。否则,先递归中序遍历左子树,再访问根结点,再递归中序遍历右子树。
code:
void in_order(node *root){
if(root == NULL){
return; //(1)
}
pre_order(root->left); //(2)
printf("%d ", root->data); //(3)
pre_order(root->right); //(4)
return;
}
- (1) 待访问结点为空时,直接返回;
- (2) 先中序遍历左子树;
- (3) 再访问当前树的根;
- (4) 最后中序遍历右子树;
4. 二叉树的后序遍历

void post_order(node *root){
if(root == NULL){
return; //(1)
}
post_order(root->left); //(2)
post_order(root->right); //(3)
printf("%d ", root->data); //(4)
return;
}
- (1)待访问结点为空时,直接返回;
- (2) 先后序遍历左子树;
- (3)再后序遍历右子树;
- (4) 再访问当前树的根;
5.力扣三种遍历的练习
144. 二叉树的前序遍历 - 力扣(LeetCode)
94. 二叉树的中序遍历 - 力扣(LeetCode)
145. 二叉树的后序遍历 - 力扣(LeetCode)
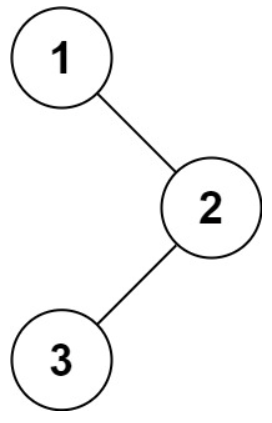
给你二叉树的根节点 root ,返回它节点值的 前序 遍历。
示例 1:
输入:root = [1,null,2,3]
输出:[1,2,3]
示例 2:
输入:root = []
输出:[]
示例 3:
输入:root = [1]
输出:[1]
示例 4:
输入:root = [1,2]
输出:[1,2]
示例 5:
输入:root = [1,null,2]
输出:[1,2]
/**
* Definition for a binary tree node.
* struct TreeNode {
* int val;
* struct TreeNode *left;
* struct TreeNode *right;
* };
*/
/**
* Note: The returned array must be malloced, assume caller calls free().
*/
void pre_order(struct TreeNode* root, int *ret, int* returnSize){
if(root == NULL){
return;
}
ret[(*returnSize)++] = root->val;
pre_order(root->left, ret, returnSize);
pre_order(root->right, ret, returnSize);
}
int* preorderTraversal(struct TreeNode* root, int* returnSize) {
int *ret = (int *)malloc(sizeof(int) * 100);
*returnSize = 0;
pre_order(root, ret, returnSize);
return ret;
}
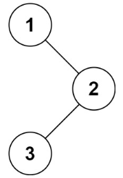
给定一个二叉树的根节点 root ,返回 它的 中序 遍历 。
示例 1:
输入:root = [1,null,2,3]
输出:[1,3,2]
示例 2:
输入:root = []
输出:[]
示例 3:
输入:root = [1]
输出:[1]
/**
* Definition for a binary tree node.
* struct TreeNode {
* int val;
* struct TreeNode *left;
* struct TreeNode *right;
* };
*/
/**
* Note: The returned array must be malloced, assume caller calls free().
*/
void in_order(struct TreeNode* root, int* ret, int *returnSize){
if(root == NULL){
return;
}
in_order(root->left, ret, returnSize);
ret[(*returnSize)++] = root->val;
in_order(root->right, ret, returnSize);
}
int* inorderTraversal(struct TreeNode* root, int* returnSize) {
int *ret = (int *)malloc(sizeof(int) * 100);
*returnSize = 0;
in_order(root, ret, returnSize);
return ret;
}
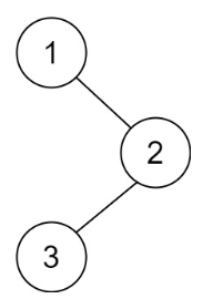
给你一棵二叉树的根节点 root ,返回其节点值的 后序遍历 。
示例 1:
输入:root = [1,null,2,3]
输出:[3,2,1]
示例 2:
输入:root = []
输出:[]
示例 3:
输入:root = [1]
输出:[1]
/**
* Definition for a binary tree node.
* struct TreeNode {
* int val;
* struct TreeNode *left;
* struct TreeNode *right;
* };
*/
/**
* Note: The returned array must be malloced, assume caller calls free().
*/
void post_order(struct TreeNode *root, int *ret, int *returnSize){
if(root == NULL){
return;
}
post_order(root->left, ret, returnSize);
post_order(root->right, ret, returnSize);
ret[(*returnSize)++] = root->val;
}
int* postorderTraversal(struct TreeNode* root, int* returnSize) {
int *ret = (int *)malloc(sizeof(int) * 100);
*returnSize = 0;
post_order(root, ret, returnSize);
return ret;
}
6. 二叉树的层序遍历
层序遍历所要解决的问题很好理解,就是按二叉树从上到下,从左到右依次打印每个节点中存储的数据。实现过程为:
- 创建一个队列。
- 将根节点入队。
- 取出队首元素,输出该元素的值,如果该元素有左孩子,将左孩子入队,如果该元素有右孩子,将右孩子入队。
- 重复步骤3,直到队列为空。
code:
node *queue[15];
int head = 0, tail = 0;
void bfs(node *root){
queue[tail++] = root;
while(head < tail){
node *node = queue[head];
printf("\nnode : %d\n", node->data);
if(node->left){
queue[tail++] = node->left;
printf("\t%d->%d (left)\n", node->data, node->left->data);
}
if(node->right){
queue[tail++] = node->right;
printf("\t%d->%d (right)\n", node->data, node->right->data);
}
head++;
}
return;
}
输出结果:

102. 二叉树的层序遍历 - 力扣(LeetCode)
给你二叉树的根节点 root ,返回其节点值的 层序遍历 。 (即逐层地,从左到右访问所有节点)。

输入:root = [3,9,20,null,null,15,7]
输出:[[3],[9,20],[15,7]]
输入:root = [1]
输出:[[1]]
输入:root = []
输出:[]
code:
/**
* Definition for a binary tree node.
* struct TreeNode {
* int val;
* struct TreeNode *left;
* struct TreeNode *right;
* };
*/
/**
* Return an array of arrays of size *returnSize.
* The sizes of the arrays are returned as *returnColumnSizes array.
* Note: Both returned array and *columnSizes array must be malloced, assume caller calls free().
*/
int** levelOrder(struct TreeNode* root, int* returnSize, int** returnColumnSizes) {
typedef struct TreeNode node;
int **ret = (int **)malloc(sizeof(int *) * 2000);//申请一个二维数组,这个数组有两千行
int returnCnt = 0;//定义一个要返回的ret这个二维数组的行数,并将它初始为0
if(root == NULL){
*returnSize = 0;
return NULL;
}//如果根节点为NULL,*returnSize = 0 并返回NULL
int *returnColSize = (int *)malloc(sizeof(int) * 2000);//定义一个数组returnColsize,它的含义是ret二维数组每一行的列数
node *queue[2000];
int head = 0, tail = 0;
queue[tail++] = root;//将根节点放入队列
while(head < tail){
int queueCurSize = tail - head;//计算当前队列的长度
ret[returnCnt] = (int *)malloc(sizeof(int) * queueCurSize);//二叉树每层节点的数量是queueCurSize,并将每层节点的数量放入每层ret数组,即这个二维数组每层的列数应该是queueCurSize
returnColSize[returnCnt] = queueCurSize;//ret数组每层的列数为queueCurSize
for(int i = 0 ; i < queueCurSize ; i++){
ret[returnCnt][i] = queue[head]->val;//将二叉树每层节点的值放入用来记录的二维数组
if(queue[head]->left){
queue[tail++] = queue[head]->left;
}
if(queue[head]->right){
queue[tail++] = queue[head]->right;
}
head++;//遍历到当前根节点时,如果当前根节点有左右孩子节点,就压入队列,随后弹出当前根节点,继续遍历当前层的根节点,遍历完每一层都能将每一层节点的值放入ret数组,并将下一层节点压入队列
}
returnCnt++;//ret的行数returnCnt++
}
*returnSize = returnCnt;//要返回的ret数组的行数应该是returnCnt
*returnColumnSizes = returnColSize;//要返回的ret数组的每行的列数的数组为returnColSize
return ret;
}
36万+

被折叠的 条评论
为什么被折叠?



