【软考软件评测师】2017综合知识历年真题
2017软件评测师综合知识历年真题
【2017年评测真题第01题:红色】
01.在Excel中,设单元格F1的值为38,若在单元格F2中输入公式“=IF(AND(38<F1,F1<100)“输入正确”,“输入错误”)”,则单元格F2显示的内容为( )。
A.输入正确
B.输入错误
C.TRUE
D.FALSE
解答:答案选择B。
函数IF (条件,值1,值2)的功能是当满足条件时,则结果返回“值1”;否则,返回“值2”。本题不满足条件,故应当返回“输入错误”。
【2017年评测真题第02题:绿色】
02.采用IE浏览器访问清华大学校园网主页时,正确的地址格式为( )。
A.Smtp://www.tsinghua.edu.cn
B.http://www.tsinghua.edu.cn
C.Smtp:\www.tsinghua.edu.cn
D.http:\www.tsinghua.edu.cn
解答:答案选择B。送分题。
http协议:超文本传输协议,用于从web服务器向Web用户代理(即浏览器)传送文件(或对象);
Smtp协议:为简单邮件传输协议,用于从一个邮件服务器向另一个邮件服务器传送文件(也就是电子邮件消息)。
另外http协议后面为双正斜杠//,而不是双反斜杠\。
【2017年评测真题第03题:绿色】
03.CPU中设置了多个寄存器,其中,( )用于保存待执行指令的地址。
A.通用寄存器
B.程序计数器
C.指令寄存器
D.地址寄存器
解答:答案选择B。
通用寄存器:用于传送和暂存数据,也可参与算术逻辑运算,并保存运算结果。
程序计数器:用于存放下一条指令所在单元的地址的地方。
指令寄存器:临时放置从内存里面取得的程序指令的寄存器,用于存放当前从主存储器读出的正在执行的一条指令。
地址寄存器:用来保存当前CPU所访问的内存单元的地址。
【2017年评测真题第04题:绿色】
04.在计算机系统中常用的输入/输出控制方式有无条件传送、中断、程序查询和DMA等。其中,采用( )方式时,不需要CPU控制数据的传输过程。
A.中断
B.程序查询
C.DMA
D.无条件传送
解答:答案选择C。
无条件传送、程序查询和中断方式都需要CPU执行程序指令进行数据的输入和输出,DMA方式则是一种不经过CPU而直接从内存存取数据的数据交换模式。在DMA模式下,CPU只需向DMA控制器下达指令,让DMA控制器来处理数据的传送,数据传送完之后再把信息反馈给CPU即可。
【2017年评测真题第05题:绿色】
05.CPU是一块超大规模的集成电路,其中主要部件有( )。
A.运算器、控制器和系统总线
B.运算器、寄存器组和内存储器
C.控制器、存储器和寄存器组
D.运算器,控制器,和寄存器组
解答:答案选择D。
中央处理器主要包括运算器和高速缓冲存储器(Cache)及实现它们之间联系的数据(Data)、控制及状态的总线(Bus)。它与内部存储器(Memory)和输入/输出(I/O)设备合称为电子计算机三大核心部件。所以CPU主要由运算器、控制器、寄存器组和内部总线等部件组成。
【2017年评测真题第06题:绿色】
06.对计算机评价的主要性能指标有时钟频率、( )、运算精度、内存容量等。
A.丢包率
B.端口吞吐量
C.可移植性
D.数据处理速率
解答:答案选择D。
对计算机评价的主要性能指标有时钟频率、数据处理速率、运算精度、内存容量等。
【2017年评测真题第07题:绿色】
07.在字长为16位、32位、64位或128位的计算机中,字长为( )位的计算机数据运算精度最高。
A.16
B.32
C.64
D.128
解答:答案选择D。
字长是计算机运算部件一次能同时处理的二进制数据的位数,字长越长数据的运算精度也就越高,计算机的处理能力就越强。
【2017年评测真题第08题:绿色】
08.以下关于防火墙功能特性的说法中,错误的是( )。
A.控制进出网络的数据包和数据流向
B.提供流量信息的日志和审计
C.隐藏内部IP以及网络结构细节
D.提供漏洞扫描功能
解答:答案选择D。
防火墙(Firewall),也称防护墙,是一种位于内部网络与外部网络之间的网络安全系统。
计算机流入流出的所有网络通信均要经过防火墙。防火墙可以控制进出网络的数据包和数据流向,提供流量信息的日志和审计,隐藏内部IP以及网络结构细节。但防火墙不提供漏洞扫描功能。
【2017年评测真题第09题:绿色】
09.计算机软件著作权的保护对象是指( )。
A.软件开发思想与设计方案
B.计算机程序及其文档
C.计算机程序及算法
D.软件著作权权利人
解答:答案选择B。送分题。
计算机软件著作权保护的对象是计算机软件,即计算机程序及其有关文档。计算机程序是指为了得到某种结果而可以由计算机等具有信息处理能力的装置执行的代码化指令序列,或者可以被自动转换成代码化指令序列的符号化序列或者符号化语句序列。同一计算机程序的源程序和目标程序为同一作品。文档是指用来描述程序的内容、组成、设计、功能规格、开发情况、测试结果及使用方法的文字资料和图表等,如程序说明、流程图、用户手册等。
【2017年评测真题第10题:绿色】
10.某软件公司项目组的程序员在程序编写完成后均按公司规定撰写文档,并上交公司存档。此情形下,该软件文档著作权应由( )享有。
A.程序员
B.公司与项目组共同
C.公司
D.项目组全体人员
解答:答案选择C。
本题目是在程序编写完成后按照公司规定撰写的文档,属于职务作品,所以软件文档的著作权应该归属为公司所有。
【2017年评测真题第11题:绿色】
11.将二进制序列1011011表示为十六进制,为( )。
A.B3
B.5B
C.BB
D.3B
解答:答案选择B。
将二进制序列从右往左4位一组进行划分,得到的二进制序列按下表翻译即可得到对应的十六进制数。 因此,与1011011对应的十六进制数为5B。
【2017年评测真题第12题:绿色】
12.采用模2除法进行校验码计算的是( )。
A.CRC码
B.ASCⅡ码
C.BCD码
D.海明码
解答:答案选择A。
循环冗余校验码(CRC)通过在要发送的数据后面加n位的冗余码来构造。 这n位冗余码用下面的方法得出:首先在数据位后面加n个零(相当于乘以2n),然后再除以事先商定的长度为(n+1)位的除数p (实际上是除数和被除数做异或运算),得出余数R (n位,比p少一位)就是n位的冗余码。 传输数据时在接收端把接收到的数据除以同样的除数P (模2运算),然后检查得到的余数R。如果在传输过程中无差错,那么经过CRC检验后得出的余数R肯定是0。但如果出现误码,那么余数R仍等于0的概率是非常小的。
【2017年评测真题第13题:绿色】
13.当一个双处理器的计算机系统中同时存在3个并发进程时,同一时刻允许占用处理器的进程数( )。
A.至少为2个
B.最多为2个
C.至少为3个
D.最多为3个
解答:答案选择B。
一个双处理器的计算机系统中尽管同时存在3个并发进程,但是同一时刻允许占用处理器的进程数只能是2个。
【2017年评测真题第14题:绿色】
14.假设系统有n (n≧5)个并发进程共享资源R ,且资源R的可用数为2。若采用PV操作,则相应的信号量S的取值范围应为( )。
A.-1~n-1
B.-5~2
C.-(n-1)~1
D.-(n-2)~2
解答:答案选择D。送分题。
本题中已知有n个进程共享R资源,且R资源的可用数为2,故信号量S的初值应设为2。当第1个进程申请资源时,将信号量S减1后,S=1;当第2个进程申请资源时,将信号量S减1后,S=0;当第3个进程申请资源时,将信号量S减1后,S=-1;当第4个进程申请资源时,将信号量S减1,S=-2;……;当第n个进程申请资源时,将信号量S减1
【2017年评测真题第15题:绿色】
15.编译和解释是实现高级程序设计语言的两种方式,其区别主要在于( )。
A.是否进行语法分析
B.是否生成中间代码文件
C.是否进行语义分析
D.是否生成目标程序文件
解答:答案选择D。送分题。
编译是将源程序翻译成可执行的目标代码,翻译与执行是分开的;而解释是对源程序的翻译与执行一次性完成,不生成可存储的目标代码。这只是表象,二者背后的最大区别是:对解释执行而言,程序运行时的控制权在解释器而不在用户程序;对编译执行而言,运行时的控制权在用户程序。所以编译和解释区别在于是否生成目标程序文件。
【2017年评测真题第16题:绿色】
16.下图所示的非确定有限自动机(s0为初态, S3为终态)可识别字符串( )。
A.bbaa
B.aabb
C.abab
D.baba
解答:答案选择B。
有限自动机(确定或非确定的)识别字符串的过程都是从初态出发,找出到达终态的一条路径,使得路径上的字符序列与所识别的字符串相同。 对于bbaa,若路径为s0→s0→s0→s0→s1,则所识别的bbaa结束时s1不是终态;换一条路径s0→s0→s0→s0→s1,此时不存在从s1出发可以识别bbaa中的最后1个a的状态转移,由于不存在其他可能的路径,所以bbaa不能被该自动机识别。 对于aabb,若路径为s0→s0→s0→s0→s0,则字符串aabb结束时s0不是终态;换一条路径s0→s0→s1→s2→s3,所识别的aabb结束时s3是终态,所以aabb可以被该自动机识别。 对于abab,若路径为s0→s0→s0→s0→s0,则所识别的abab结束时s0不是终态;换一条路径s0→s0→s0→s1→s2,则所识别的abab结束时s2不是终态,由于不存在其他|可能的路径,所以abab不能被该自动机识别。 对于baba,若路径为s0→s0→s0→s0→s0,则所识别的baba结束时s0不是终态;换一条路径s0→s0→s0→s0→s1,则所识别的baba结束时s1不是终态;再换一条路径s0→s0→s1→s2,此时不存在从s2出发可以识别baba中的最后1个a的状态转移,由于没有其他可能的路径,所以baba不能被该自动机识别。
【2017年评测真题第17题:绿色】
17.表示"以字符a开头且仅由字符a、b构成的所有字符串"的正规式为( )。
A.ab
B.(alb)a
C.a(alb)
D.(ab)*
解答:答案选择C。
正规式ab表示的是若干个a后面跟若干个b的字符串;(a|b)*a表示的是以a结尾的所有由a、b构成的字符串;(ab)表示b在a之后且a、b交替出现的字符串;a(a|b) 表示以字符a开头且仅由字符a、b构成的所有字符串。
【2017年评测真题第17题:绿色】
17.在单入口单出口的do…while 循环结构中,( )。
A.循环体的执行次数等于循环条件的判断次数
B.循环体的执行次数多于循环条件的判断次数
C.循环体的执行次数少于循环条件的判断次数
D.循环体的执行次数与循环条件的判断次数无关
解答:答案选择A。送分题。
do…while循环的含义如下面的流程图所示。显然,每执行1次循环体就会判断1次循环条件,所以循环体的执行次数等于循环条件的判断次数。
【2017年评测真题第18题:绿色】
18.将源程序中多处使用的同一个常数定义为常量并命名,( )。
A.提高了编译效率
B.缩短了源程序代码长度
C.提高了源程序的可维护性
D.提高了程序的运行效率
解答:答案选择C。送分题。
将源程序中多处使用的同一个常数定义为常量并命名,可以提高源程序的可维护性,使得修改时只需改一个地方即可。
【2017年评测真题第19题:绿色】
19.函数main()、f()的定义如下所示。调用函数f()时,第一个参数采用传值(call by value)方式,第二个参数采用传引用(call by reference )方式,main()执行后输出的值为( )。
A.2
B.4
C.5
D.8
解答:答案选择D。送分题。
实现函数调用时,形参具有独立的存储空间。在传值方式下,是将实参的值拷贝给形参;在传引用方式下,是将实参的地址传递给形参,或者理解为被调用函数中形参名为实参的别名,因此,对形参的修改实质上就是对实参的修改。 本题中,函数调用f(1,x)执行时,形参x的初始值为1,a的值为2,经过运算“x=2*a+1”,修改了函数f的形参x的值(x的值改为5),再经过运算“a=x+3”后,a的值改为8,a实质上是main函数中x的别名,因此返回main函数之后,x的值为8。
【2017年评测真题第20题:绿色】
20.对于初始为空的栈S,入栈序列为a、b、c、d,且每个元素进栈、出栈各1次。若出栈序列的第一个元素为d,则合法的出栈序列为( )。
A.d c b a
B.d a b c
C.d c a b
D.d b c a
解答:答案选择A。送分题。
入栈序列为a、b、c、d时,若第一个出栈的元素为d,则说明a、b、c都还在栈中,而且a位于栈底,其次是b和c,因此,合法的出栈序列只能为d、c、b、a。
【2017年评测真题第21题:绿色】
21.对于下面的有向图,其邻接矩阵是一个( )的矩阵。 采用邻接链表存储时,顶点0的表结点个数为2,顶点3的表结点个数为0,顶点1的表结点个数为( )。
A.3×4
B.4×3
C.6×6
D.7×7
》
A.0
B.1
C.2
D.3
解答:答案选择D|C。
邻接表存储是将关联同一顶点的边用线性链表存储,对于有向图,每个表结点表示从头结点所示顶点出发的一条弧关联的另一个顶点,从顶点1出发的弧有<1,2>和<1,5>,题目所示有向图的邻接表如下示。

【2017年评测真题第22题:绿色】
22.行为型设计模式描述类或对象如何交互和如何分配职责。( )模式是行为型设计模式。
A.装饰器(Decorator)
B.构建器(Builder)
C.组合(Composite)
D.解释器(Interpreter)
解答:答案选择D。送分题。
设计模式:是一套被反复使用、多数人知晓的、经过分类的、代码设计经验的总结。使用设计模式的目的:为了代码可重用性、让代码更容易被他人理解、保证代码可靠性。 设计模式使代码编写真正工程化;设计模式是软件工程的基石脉络,如同大厦的结构一样。
设计模式分为三种类型,共23种。
- 创建型模式:单例模式、抽象工厂模式、建造者(构建)模式、工厂模式、原型模式。
- 结构型模式:适配器模式、桥接模式、装饰(器)模式、组合模式、外观模式、享元模式、代理模式。
- 行为型模式:模版方法模式、命令模式、迭代器模式、观察者模式、中介者模式、备忘录模式、解释器模式(Interpreter模式)、状态模式、策略模式、职责链模式(责任链模式)、访问者模式。
【2017年评测真题第23题:绿色】
23.在结构化分析方法中,用于行为建模的模型是( ),其要素包括( )。
A.数据流图
B.实体联系图
C.状态-迁移图
D.用例图
》
A.加工
B.实体
C.状态
D.用例
解答:答案选择C|C。
结构化分析方法:是一种软件开发方法,一般利用图形表达用户需求,强调开发方法的结构合理性以及所开发软件的结构合理性。结构化分析模型的核心是数据字典,它描述了所有的在目标系统中使用的和生成的数据对象。围绕着这个核心有三种图:1. 实体联系(关系)图(ERD):描述了数据对象及数据对象之间的关系,属于数据建模,包括三种基本元素(数据对象、属性和关系);2. 数据流图(DFD):描述数据在系统中如何被传送或变换,以及描述如何对数据流进行变换的功能(子功能),用于功能建模,基本要素有四种(外部实体,加工,数据流和数据存储);3. 状态-迁移图(STD):描述系统对外部事件如何响应,如何动作,表示系统中各种行为状态以及状态之间的转换,用于行为建模,基本要素为状态和转换条件。
【2017年评测真题第24题:红色】
24.有两个NN的矩阵A和B,想要在微机(PC 机)上按矩阵乘法基本算法编程实现计算AB。假设N较大,本机内存也足够大,可以存下A、B和结果矩阵。那么,为了加快计算速度,A和B在内存中的存储方式应选择( )。
A.A按行存储,B按行存储
B.A按行存储,B按列存储
C.A按列存储,B按行存储
D.A按列存储,B按列存储
解答:答案选择C。
矩阵相乘最重要的方法是一般矩阵乘积。它只有在第一个矩阵的列数(column)和第二个矩阵的行数(row)相同时才有意义。当矩阵A的列数等于矩阵B的行数时,A与B可以相乘。乘积C的第m行第n列的元素等于矩阵A的第m行的元素与矩阵B的第n列对应元素乘积之和
【2017年评测真题第25题:绿色】
25.某企业职工关系EMP(E_no,E_name,DEPT,E_addr,E_tel)中的属性分别表示职工号、姓名、部门、地址和电话;经费关系FUNDS (E_no,E_limit,E_used) 中的属性分别表示职工号、总经费金额和已花费金额。若要查询部门为"开发部"且职工号为 "03015 "的职工姓名及其经费余额,则相应的SQL语句应为:
SELECT ( )
FROM ( )
WHERE ( )
A.EMP.E_no,E_limit-E_used
B.EMP.E_name,E_used-E_limit
C.EMP.E_no,E_used-E_limit
D.EMP.E_name,E_limit-E_used
》
A.EMP
B.FUNDS
C.EMP,FUNDS
D.IN[EMP,FUNDS]
》
解答:答案选择D|C|C。
因为涉及到姓名和金额,所以需要从两个关系表中(EMP,FUNDS)同时取数据
从建立关系的结果中查找部门为开发部,职工号为03015的信息,所有关系之间是“且(AND)”的关系。
【2017年评测真题第26题:绿色】
26.以下关于瀑布模型的优点的叙述中,不正确的是( )。
A.可规范化开发人员的开发过程
B.严格地规定了每个阶段必须提交的文档
C.要求每个阶段提交的所有制品必须是经过评审和验证的
D.项目失败的风险较低
解答:答案选择D。
瀑布模型将开发阶段描述为从一个阶段瀑布般地转换到另一个阶段。瀑布模型具有多种优点,如可帮助开发人员采用规范化的开发方法、严格规定了每个开发节点必须交的文档,而且每个阶段结束之前,所有的制品必须经过评审和验证。但是由于瀑布模型是一个从一个阶段到另一阶段如瀑布流水般进行开发工作的模型,并不符合软件开发的求解问题的本质,因此很可能会导致项目的失败。
【2017年评测真题第27题:绿色】
27.现要开发一个软件产品的图形用户界面,则最适宜采用( )过程模型。
A.瀑布
B.原型化
C.增量
D.螺旋
解答:答案选择B。
瀑布模型将开发阶段描述为从一个阶段瀑布般地转换到另一个阶段。 原型模型中,开发人员快速地构造整个系统或者系统的一部分[以理解或澄清问题。 螺旋模型将开发活动和风险管理结合起来,以减小风险。 增量模型中,把软件产品作为一系列的增量构件来设计、编码、集成和测试,每个构件由多个相互作用的模块组成,并且能够完成特定的功能。 在这几种开发过程模型中,原型模型适于小型系统的开发或者用户界面的开发。
【2017年评测真题第28题:绿色】
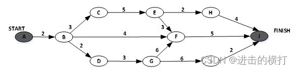
28.某软件项目的活动图如下图所示,其中顶点表示项目里程碑,连接顶点的边表示包含的活动,边上的数字表示活动的持续时间(天)。活动 EH 最多可以晚开始( )天而不影响项目的进度。由于某种原因,现在需要同一个工作人员完成BC和BD ,则 完成该项目的最少时间为( )天。
A.0
B.1
C.2
D.3
》
A.11
B.18
C.20
D.21
解答:答案选择C|C。
活动图是描述一个项目中各个工作任务相互依赖关系的一种模型,项目的很多重要特性可以通过分析活动图得到,如估算项目完成时间,计算关键路径和关键活动等。 根据上图计算出关键路径为A-B-C-E-F-J和A-B-D-G-F-J,其长度为18。活动EH 不在关键路径上,其所在的路径中最长的路径是A-B-C-E-H-J,长度为16,因此该活动松弛时间为2天,可以晚2天才开始而不影响项目的进度。 活动BC和BD由一个工作人员完成,而这两个活动都在关键路径上,因此松弛时间为0。若先完成活动BC,则活动BD要晚3天才能开始,完成该项目的最少时间是18+3=21天,若先完成活动BD,则活动BC要晚2天才能开始,完成该项目的最少时间为18+2=20天。因此先完成活动BD,再完成活动BC,这样关键路径长度为20天。
【2017年评测真题第29题:绿色】
29.关于风险的叙述中,不正确的是( )。
A.风险是可能会发生的事
B.风险会给项目带来损失
C.只要能预测到,风险就能避免
D.可以对风险进行干预,以期减少损失
解答:答案选择C。
风险是项目开发过程中可能发生的、会给项目带来损失的事件,人们可以对风险进行干预,以期减少损失,但是风险不一定能避免。
【2017年评测真题第30题:绿色】
30.对某商店业务处理系统采用数据流图(DFD)进行功能建模,其中“检查订货单”是其中一个( )。由于在进行订货单检查时,需要根据客户的欠款情况、订单金额等多个条件判断是否采取发出催款单、准备货物、发出发货单等行为,此时适合采用( )进行描述。
A.外部实体
B.加工
C.数据流
D.数据存储
》
A.流程图
B.决策树
C.伪代码
D.程序语言代码
解答:答案选择B|B。
数据流图是结构化分析的一个重要模型,描述数据在系统中如何被传送或变换,以及描述如何对数据流进行变换的功能,用于功能建模。 数据流图中有四个要素:
①外部实体,也称为数据源或数据汇点,表示要处理的数据的输入来源或处理结果要送往何处,不属于目标系统的一部分,通常为组织、部门、人、相关的软件系统或者硬件设备;
②数据流表示数据沿箭头方向的流动;
③加工是对数据对象的处理或变换;
④数据存储在数据流中起到保存数据的作用,可以是数据库文件或者任何形式的数据组织。 根据上述定义和题干说明,检查订货单是一个加工。对于该加工来说,涉及多个条件判断和多种行为,因此决策树和决策表是适合的表达方式。
【2017年评测真题第31题:红色】
31.模块A将其中的学生信息,即学生姓名、学号、手机号等放到一个结构体中,传递给模块B,则模块A和B之间的耦合类型为( )耦合。
A.数据
B.标记
C.控制
D.内容
解答:答案选择B。
①数据耦合:指两个模块之间有调用关系,传递的是简单的数据值,相当于高级语言中的值传递。
②标记耦合:指两个模块之间传递的是数据结构。
③控制耦合:指一个模块调用另一个模块时,传递的是控制变量,被调用模块通过该控制变量的值有选择的执行模块内的某一功能。因此,被调用楱块内应具有多个功能,选择哪个功能起作用受调用模块控制。
④内容耦合:当一个模块直接使用另一个模块的内部数据,或通过非正常入口转入另一个模块内部时,这种模块之间的耦合称为内容耦合。
【2017年评测真题第32题:黄色】
32.某模块内涉及多个功能,这些功能必须以特定的次序执行,则该模块的内聚类型为( )内聚。
A.时间
B.过程
C.信息
D.功能
解答:答案选择B。蒙对。
①时间内聚:把需要同时执行的动作组合在一起形成的模块。
②过程内聚:指一个模块完成多个任务,这些任务必须按指定的过程执行。
③信息内聚:指模块内的所有处理元素都在同一个数据结构上操作,或者各处理使用相同的输入数据或产生相同的输出数据。
④功能内聚:指模块内的所有元素共同作用完成一个功能,缺一不可。
【2017年评测真题第33题:绿色】
33.给定包含n个正整数的数组A和正整数x,要判断数组A中是否存在两个元素之和等于x。先用插入排序算法对数组A进行排序,再用以下过程P来判断是否存在两个元素之和等于x。
low=1;
high=n;
while(high>low)
if A[low]+A[high]=X return true;
else if A[low]+A[high]>x low++;
else high–;
return false;
则过程P的时间复杂度为( ),整个算法的时间复杂度为( )。
A.O(n)
B.O(nlgn)
C.O(n²)
D.O(n²lgn)
解答:答案选择A|C。
由伪代码分析过程P的时间复杂度,该过程涉及一重循环,时间复杂度为n。整个算法包括两个步骤,先对数组A排序,题干已经明确指出用插入排序算法排序,因此时间复杂度为O(n2),然后再用过程P判断,该步骤时间复杂度为O(n),总的时间复杂度为0(n2)。
【2017年评测真题第34题:红色】
34.高度为n的完全二叉树最少的结点数为( )。
A.2n-1的平方
B.2n-1+1
C.2n
D.2n的平方-1
解答:答案选择A。
二叉树是一个典型的数据结构,有很多的应用。考生应该熟悉各种类型的二叉树的性质,如完全二叉树、二叉排序树、二叉平衡树和满二叉树等。 完全二叉树的定义是:若设二叉树的高度为n,除第n层外,其他各层(1〜n-1)的结点数都达到最大个数,第n层所有的结点都连续集中在最左边。 高度为n的完全二叉树的最少结点数,可以视为高度为n-1的满二叉树的结点数再加上第n层的一个结点。而高度为n-1的满二叉树的节点数为2n-1-1,因此最少的节点数为2n-1。
【2017年评测真题第35题:红色】
35.采用折半查找算法有序表{7,15,18,21,27,36,42,48 ,51,54,60,72}中寻找值为15和38,分别需要进行( )次元素之间的比较。
A.3和1
B.3和2
C.4和1
D.4和3
解答:答案选择D。
采用折半查找寻找15时,分别需要与36、18、7和15比较,进行的比较次数是4;寻找38时,分别需要与36、51和42比较,进行的比较次数是3。
【2017年评测真题第36题:绿色】
36.下图是( )设计模式的类图,该设计模式的目的是(/),图中,Abstraction和RefinedAbstraciton之间是(/)关系,Abstraction和Implementor之间是(/)关系。
A.适配器
B.桥接
C.装饰
D.代理
》
A.将一个类的接口转换为客户期望的另一种接口,使得原本不匹配的接口而无法合作的类可以一起工作
B.将一个抽象与其实现分离开,以便两者能够各自独立地演变
C.动态地给一个对象附加额外的职责,不必通过子类就能灵活地增加功能
D.为一个对象提供代理以控制该对象的访问
》
A.依赖
B.关联
C.继承
D.聚合
》
A.依赖
B.关联
C.继承
D.聚合
解答:答案选择B|B|C|D。
适配器模式:将一个类的接口适配成用户所期待的。一个适配允许通常因为接口不兼容而不能在一起工作的类工作在一起,做法是将类自己的接口包裹在一个已存在的类中。桥接模式:将抽象部分与它的实现部分分离,使它们都可以独立地变化。装饰模式:指的是在不必改变原类文件和使用继承的情况下,动态地扩展一个对象的功能。它是通过创建一个包装对象,也就是装饰来包裹真实的对象。代理模式:为一个对象提供代理以控制该对象的访问。类之间的关系主要有以下几种:1. 继承关系:是指子类自动地具有其父类的全部属性与操作,也称为父类对子类的泛化。在UML建模语言中,采用空心三角形表示,从子类指向父类。2. 关联关系:是指两个或多个类之间的一种静态关系,表现为一个类是另一个类的成员变量。在UML类图中,用实线连接有关联的对象所对应的类。3. 聚合关系:是整体与部分之间的关系,是强的关联关系。在UML中,聚合关系用带空心菱形的实心线,菱形指向整体。4. 依赖关系:也是类之间的一种静态关系,表现为一个类是另外一个类的局部变量。在UML中,依赖关系用带箭头的虚线表示,由依赖的一方指向被依赖的一方。
【2017年评测真题第37题:绿色】
37.传统编译器进行词法分析、语法分析、代码生成等步骤的处理时,前一阶段处理的输出是后一阶段处理的输入,则采用的软件体系结构风格是( )。该体系结构的优点不包括( )。
A.管道过滤器
B.分层
C.信息库
D.发布订阅
》
A.软件构件具有良好的高内聚,低耦合的特点
B.支持重用
C.支持并行执行
D.提高性能
解答:答案选择A|D。
管道过滤器体系结构由一组称为过滤器的构件以及连接构件的管道组成,管道将数据从一个过滤器传送到另一个过滤器。 该风格具有以下优点: ①软件构件具有良好的隐蔽性和高内聚、低耦合的特点; ②允许设计者将整个系统的输入输出行为看成是多个过滤器的行为的简单合成; ③支持软件复用; ④系统维护和增强系统性能简单; ⑤允许对一些如吞吐量、死锁等属性的分析; ⑥支持并行执行。 分层体系结构风格将系统的软件单元按层次划分,每一层为其上层提供服务,同时也是下层的客户。 信息库风格也称为仓库风格,在该风格中,有一个数据仓库位于中心,其他构件会访问该数据仓库,并对仓库里的数据进行增、删、改和查等操作。 发布订阅风格中,构件之间通过对事件的广播和响应实现交互。
【2017年评测真题第38题:绿色】
38.系统交付后,修改原来打印时总是遗漏最后一行记录的问题,该行为属于( )维护。
A.改正性
B.适应性
C.完善性
D.预防性
解答:答案选择A。送分题。
软件维护活动分为四种类型:
①改正性维护:是指改正在系统开发阶段已发生而系统测试阶段尚未发现的错误的修改行为。
②适应性维护:是指使应用软件适应信息技术变化和管理需求变化而进行的修改。 ③完善性维护:为扩展功能和改善性能而进行的修改。
④预防性维护:改变系统的某些方面,以预防失效的发生的修改行为。
【2017年评测真题第39题:绿色】
39.软件测试的对象不包括( )。
A.程序
B.需求规格说明书
C.数据库中的数据
D.质量改进措施
解答:答案选择D。送分题。
根据软件的定义,软件包括程序、数据和文档。所以软件测试并不仅仅是程序测试,还应包括相应文档和数据的测试。
【2017年评测真题第40题:绿色】
40.以下不属于单元测试测试内容的( )。
A.模块接口测试
B.局部数据测试
C.边界条件测试
D.系统性能测试
解答:答案选择D。
单元测试一般包括五个方面的测试:模块接口测试、局部数据测试、边界条件测试、模块中所有独立路径测试、模块的各条错误处理通路测试。
【2017年评测真题第41题:红色】
41.以下不属于文档测试测试范围的是( )。
A.软件开发计划
B.数据库脚本
C.测试分析报告
D.用户手册
解答:答案选择B。
文档分为用户文档、开发文档和管理文档。用户文档:用户手册、操作手册和维护修改建议。开发文档:软件需求说明书、数据库设计说明书、概要设计说明书、详细设计说明书和可行性研究报告。管理文档:项目(软件)开发计划、测试计划、测试分析报告、开发进度月报和项目开发总结报告。
【2017年评测真题第42题:绿色】
42.以下关于软件测试和软件质量保证的叙述中,不正确的是( )。
A.软件测试是软件质量保证的一个环节
B.质量保证通过预防、检查与改进来保证软件质量
C.质量保证关心的是开发过程的产物而不是活动本身
D.测试中所作的操作是为了找出更多问题
解答:答案选择C。
软件测试就是在软件投入运行前对软件需求分析、设计规格说明和编码的最终复审,是软件质量保证的关键步骤与重要手段。软件质量保证关注开发过程而软件测试只关注最终产物,测试的目的是为了从最终产物中找出更多问题。
【2017年评测真题第43题:绿色】
43.以下关于软件测试原则的叙述中,正确的是( )。
①所有软件测试都应追溯到用户需求
②尽早地和不断地进行软件测试
③完全测试是不可能的
④测试无法发现软件潜在的缺陷
⑤需要充分注意测试中的群集现象
A.①②③④⑤
B.②③④⑤
C.①②③⑤
D.①②④⑤
解答:答案选择A。
软件测试应遵循的原则包括:应当把“尽早和不断地测试”作为开发者的座右铭, 因为测试开展的越早,越有利于发现缺陷;一定要注意测试中的错误集中发生现象,应对错误群集的程序段进行重点测试;穷举测试是不能实现的;软件测试的目的是使用户完成预定的任务,并满足用户的需求,所有软件测试都应该追溯到用户需求;进行测试时可以查找并报告发现的软件缺陷和错误,但是不能保证软件的缺陷和错误能全部找到,也就是说测试只能证明软件存在错误而不能证明软件没有错误。
【2017年评测真题第44题:红色】
44.按照开发阶段划分,软件测试可以分为( )。
①单元测试 ②集成测试③系统测试④确认测试
⑤用户测试 ⑥验收测试⑦第三方测试
A.①②③④⑤
B.①②③④⑥
C.①②③④⑤⑦
D.①②③④⑥⑦
解答:答案选择B。错选了D。
软件测试按照开发阶段划分如下:单元测试、集成测试、确认测试、系统测试、验收测试这五项。
【2017年评测真题第45题:绿色】
45.以下不属于软件编码规范评测内容的是( )。
A.源程序文档化
B.数据说明方法
C.语句结构
D.算法逻辑
解答:答案选择D。
软件编码规范的评测内容一共包括如下四项:源程序文档化、数据说明方法、语句结构、输入和输出。D选项的算法逻辑,不属于软件编码规范的评测内容。
【2017年评测真题第46题:绿色】
46.以下关于确认测试的叙述中,不正确的是( )。
A.确认测试的任务是验证软件的功能和性能是否与用户要求一致
B.确认测试一般由开发方进行
C.确认测试需要进行有效性测试
D.确认测试需要进行软件配置复查
解答:答案选择B。
确认测试的任务是验证软件的功能和性能及其他特性是否与用户的要求一致,对软件的功能和性能要求在软件需求规格说明中明确规定。确认测试一般包括有效性测试和软件配置复查,前者是在模拟的环境下运用黑盒测试的方法,验证所测软件是否满足需求规格说明书列出的需求;后者的目的是保证软件配置的所有成分都齐全、各方面的质量都符合要求、具有维护阶段所必需的细节,而且已经编排好分类的目录。确认测试一般都是由接收方进行测试的。
【2017年评测真题第47题:绿色】
47.根据输入输出等价类边界上的取值来设计用例的黑盒测试方法是( )。
A.等价类划分法
B.因果图法
C.边界值分析法
D.场景法
解答:答案选择C。送分题。
无数的测试实践表明,大量的故障往往发生在输入定义域或输出值域的边界上,而不是在其内部。因此,针对各种边界情况设计测试用例,通常会取得很好的测试效果。边界值分析法就是对输入或输出的边界值进行测试的一种黑盒测试方法,通常作为对等价类划分法的补充,其测试用例来自等价类的边界。边界值分析使用与等价类划分法相同的划分,只是边界值分析假定错误更多地存在于划分的边界上,因此在等价类的边界上以及两侧的情况设计测试用例
【2017年评测真题第48题:红色】
48.以下关于判定表测试法的叙述中,不正确的是( )。
A.判定表由条件桩、动作桩、条件项和动作项组成
B.判定表依据软件规格说明建立
C.判定表需要合并相似规则
D.n个条件可以得到最多n2个规则的判定表
解答:答案选择D。
判定表由条件粧、动作粧、条件项和动作项组成;判定表依据软件规格说明而建立;判定表需要合并相似规则、相似动作;假设有n个条件,每个条件的取值范围为(0,1),因此将会有2n种规则。 n个条件可以得到最多2n个平方规则。
【2017年评测真题第49题:绿色】
49.一个程序的控制流图中有5个节点、9条边,在测试用例数最少的情况下,确保程序中每个可执行语句至少执行一次所需测试用例数的上限是( )。
A.2
B.4
C.6
D.8
解答:答案选择C。
基本路径测试法要求覆盖程序中所有可能的路径,即确保程序中每个可执行的语句都至少执行一次,确立独立路径条数需要计算圈复杂度V(G),计算方法包括如下三种:
①V(G)=区域数
②V(G)=判断节点数+1
③V(G)=边数-节点数+2
由上述描述可知,利用方法③,9-5+2 = 6。
【2017年评测真题第50题:绿色】
50.对于逻辑表达式(((a>0)&&(b>0))||c<5),需要( )个测试用例才能完成条件组合覆盖。
A.2
B.4
C.8
D.16
解答:答案选择C。
条件组合覆盖的含义是:选择足够的测试用例,使得每个判定中条件的各种可能组合都至少出现一次。本题中有a>0、b>0和c<5三个条件,组合后需要的用例数是8。
【2017年评测真题第51题:绿色】
51.以下关于黑盒测试的测试方法选择策略的叙述中,不正确的是( )。
A.首先进行等价类划分,因为这是提高测试效率最有效的方法
B.任何情况下都必须使用边界值分析,因为这种方法发现错误能力最强
C.如果程序功能说明含有输入条件组合,则一开始就需要错误推测法
D.如果没有达到要求的覆盖准则,则应该补充一些测试用例
解答:答案选择C。
常用的黑盒测试方法选择策略如下:
①首先进行等级类划分,是提高效率最有效的方法;
②在任何情况下都必须使用边界值分析的方法;
③依赖测试工程师的智慧和经验用错误推测加一些测试用例;
④针对逻辑比较简单的测试对象,可以直接使用判定表法;
⑤如果程序的功能说明书含有输入条件的组合情况,则可以选择因果图法;
⑥对于业务流清晰的系统,可以利用场景发贯穿整个测试过程。
【2017年评测真题第52题:绿色】
52.以下关于负载压力测试的叙述中,不正确的是( )。
A.在模拟环境下检测系统性能
B.预见系统负载压力承受力
C.分析系统瓶颈
D.在应用实际部署前评估系统性能
解答:答案选择A。
负载压力测试是在一定约束条件下测试系统所能承受的并发用户量、运行时间、数据量,以确定系统所能承受的最大负载压力。负载压力测试有助于确认被测系统是否能够支持性能需求,以及预期的负载增长等。负载压力测试不只是关注不同负载场景下的响应时间等指标,它也要通过测试来发现在不同负载场景下会出现的,例如速度变慢、内存泄漏等问题的原因。负载压力测试在真实环境下检测系统性能,并在应用实际部署前对系统性能进行评估。
【2017年评测真题第53题:绿色】
53.以下不属于负载压力测试的测试指标是( )。
A.并发用户数
B.查询结果正确性
C.平均事物响应时间
D.吞吐量
解答:答案选择B。
负载压力测试是在一定约束条件下测试系统所能承受的并发用户量、运行时间、数据量,以确定系统所能承受的最大负载压力。负载压力测试关注不同负载场景下的响应时间,吞吐量等指标,但是并不关注查询结果的正确性。
【2017年评测真题第54题:绿色】
54.以下关于测试方法的叙述中,不正确的是( )。
A.根据是否需要执行被测试代码可分为静态测试和动态测试
B.黑盒测试也叫做结构测试,针对代码本身进行测试
C.动态测试主要是对软件的逻辑、功能等方面进行评估
D.白盒测试把被测试代码当成透明的盒子,完全可见
解答:答案选择B。
软件测试根据是否执行被测试代码分为静态测试和动态测试,静态测试指不运行被测程序本身,仅通过分析或检查源程序的文法、结构、过程、接口等来检查程序的正确性。动态测试是指通过运行软件来检验软件的动态行为和运行结果的正确性,主要是对软件的逻辑、功能等方面进行评估。 黑盒测试也称功能测试,它是通过测试来检测每个功能是否都能正常使用。白盒测试称为结构测试。白盒测试是一种测试用例设计方法,需要测试者全面了解程序内部逻辑结构、对所有逻辑路径进行测试。 根据上述描述,针对代码本身的测试是白盒测试。
【2017年评测真题第55题:绿色】
55.以下关于Web测试的叙述中,不正确的是( )。
A.Web软件的测试贯穿整个软件生命周期
B.按系统架构划分,Web测试分为客户端测试、服务端测试和网络测试
C.Web系统测试与其他系统测试测试内容基本不同但测试重点相同
D.Web性能测试可以采用工具辅助
解答:答案选择C。
Web测试属于软件测试的一种,因此其测试过程贯穿整个软件生命周期;Web系统测试与其他系统测试相比,测试内容是一样的,只是测试重点不同;按系统架构划分,Web测试分为客户端测试、服务端测试和网络测试;Web性能测试作为性能测试的一种,可以采用工具进行辅助
【2017年评测真题第56题:绿色】
56.以下不属于安全防护策略的是( )。
A.入侵检测
B.隔离防护
C.安全测试
D.漏洞扫描
解答:答案选择C。
安全防护策略:包括入侵检测、隔离防护、安全日志和漏洞扫描。安全测试是在IT软件产品的生命周期中,特别是产品开发基本完成到发布阶段,对产品进行检验以验证产品符合安全需求定义和产品质量标准的过程,不属于安全防护策略。
【2017年评测真题第57题:绿色】
57.标准符合性测试中的标准分类包括( )。
①数据内容类标准②通信协议类标准③开发接口类标准④信息编码类标准
A.③④
B.②④
C.②③④
D.①②③④
解答:答案选择D。
标准符合性测试中的标准分类包括:数据内容类标准、通信协议类标准、开发接口类标准、信息编码类标准。
【2017年评测真题第58题:绿色】
58.以下关于软件可靠性管理的叙述中,不正确的是( )。
A.在需求分析阶段确定软件的可靠性目标
B.在设计阶段进行可靠性评价
C.在测试阶段进行可靠性测试
D.在实施阶段收集可靠性数据
解答:答案选择B。
软件可靠性管理在设计阶段进行可靠性设计,实施阶段进行可靠性评价。
【2017年评测真题第59题:红色】
59.The development of the Semantic Web proceeds in steps , each step building a layer on top of another .The pragmatic justification for this approach is that it is easier to achieve ( ) on small steps , whereas it is much harder to get everyone on board if too much is attempted . Usually there are several research groups moving in different directions ; this ( ) of ideas is a major driving force for scientific progress . However , from an engineering perspective there is a need to standardize .So , if most researchers agree on certain sues and disagree on others , it makes sense to fix the points of agreement .This way , even if he more ambitious research efforts should fail , there will be at least ( ) positive outcomes .
Once a ( ) has been established , many more groups and companies will adopt it ,instead of waiting to see which of the alternative research lines will be successful in the end he nature of the semantic web is such that companies and single users must build tools , add content , and use that content .We cannot wait until the full semantic web vision materializes-it may take another ten years for it to be realized to its full ( ) ( as envisioned today , of course ).
A.conflicts
B.consensus
C.success
D.disagreement
》
A.competition
B.agreement
C.cooperation
D.collaboration
》
A.total
B.complete
C.partial
D.entire
》
A.technology
B.standard
C.pattern
D.model
》
A.area
B.goal
C.object
D.extent
解答:答案选择B|A|C|B|D。
译:语义网(Semantic Web)的发展需要逐步推进,每一步都在前一层之上建立一层。这样做的务实理由是,小步骤达成共识比较容易,而如果尝试过多,要让所有人都达成共识则要困难得多。通常,会有多个研究团队沿着不同方向研究同一问题,由此产生的不同想法之间的竞争是科学进步的主要驱动力。然而,从工程化的角度而言,标准是必要的。如果大多数研究者在某些方面达成一致而在另一些方面不一致,将有助于确立哪些是共同点。这样的话,即使更宏伟的研究目标失败了,至少也能得到部分积极成果。 标准一旦建立之后,更多的团体和公司就会采纳这个标准,而不是继续观望哪个研究方案将最终胜出。语义网的本质促使公司和个人用户必须构建工具,添加内容并使用该内容。我们不能坐等语义网愿景全部实现——那可能还需要十年的时间(当然这是现在的设想)。A.地区B.目标C.物体D.范围






6943

被折叠的 条评论
为什么被折叠?



