文章目录
面向对象进阶
面向对象三大特征介绍
Python 是面向对象的语言,也支持面向对象编程的三大特性:继承、封装(隐藏)、多态。
·封装(隐藏)
隐藏对象的属性和实现细节,只对外提供必要的方法。相当于将“细节封装起来”,只
对外暴露“相关调用方法”。通过前面学习的“私有属性、私有方法”的方式,实现“封装”。Python 追求简洁的语法,没有严格的语法级别的“访问控制符”,更多的是依靠程序员自觉实现。
·继承
继承可以让子类具有父类的特性,提高了代码的重用性。
从设计上是一种增量进化,原有父类设计不变的情况下,可以增加新的功能,或者改进已有的算法。
·多态
多态是指同一个方法调用由于对象不同会产生不同的行为。生活中这样的例子比比皆是:同样是休息方法,人不同休息方法不同。张三休息是睡觉,李四休息是玩游戏,程序员休息是“敲几行代码”。
继承
继承是面向对象程序设计的重要特征,也是实现“代码复用”的重要手段。
如果一个新类继承自一个设计好的类,就直接具备了已有类的特征,就大大降低了工作难度。已有的类,我们称为“父类或者基类”,新的类,我们称为“子类或者派生类”。

Python 支持多重继承,一个子类可以继承多个父类。继承的语法格式如下:
class 子类类名(父类 1[,父类 2,…]):
类体
如果在类定义中没有指定父类,则默认父类是 object 类。也就是说,object 是所有类的父类,里面定义了一些所有类共有的默认实现,比如:new()。
定义子类时,必须在其构造函数中调用父类的构造函数。调用格式如下:
父类名.init(self, 参数列表)
#测试继承的基本使用
class Person:
def __init__(self,name,age):
self.name = name
self.__age = age
def say_age(self):
print("年龄")
class Student(Person):
def __init__(self,name,age,score):
Person.__init__(self,name,age) #必须显式的调用弗雷德初始方法,不然解释器不会去调用
self.score = score
#Student-->Person-->object类
print(Student.mro())
s = Student("小明",8,99)
s.say_age()
print(s.name)
print(s._Person__age)
执行结果
[<class '__main__.Student'>, <class '__main__.Person'>, <class 'object'>]
年龄
小明
8
类成员的继承和重写
- 成员继承:子类继承了父类除构造方法之外的所有成员。
- 方法重写:子类可以重新定义父类中的方法,这样就会覆盖父类的方法,也称为“重写”
【操作】继承和重写的案例
#测试继承中的重写
class Person:
def __init__(self,name,age):
self.name = name
self.__age = age #私有属性
def say_age(self):
print("我的年龄:",self.__age)
def say_introduce(self):
print("我的名字是{0}".format(self.name))
class Student(Person):
def __init__(self,name,age,score):
Person.__init__(self,name,age) #必须显式的调用弗雷德初始方法,不然解释器不会去调用
self.score = score
def say_introduce(self):
'''重新父类的方法'''
print("报告老师,我的名字是:{0}".format(self.name))
s = Student("小明",8,99)
s.say_age()
s.say_introduce()
执行结果
我的年龄: 8
报告老师,我的名字是:小明
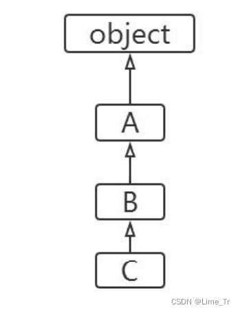
查看类的继承层次结构
通过类的方法 mro()或者类的属性__mro__可以输出这个类的继承层次结构。
【操作】 查看类的继承层次结
class A:pass
class B(A):pass
class C(B):pass
print(C.mro())
执行结果:
[<class '__main__.C'>, <class '__main__.B'>, <class '__main__.A'>, <class 'object'>

重写__str__()方法(返回对于对象的描述)
object 有一个__str__()方法,用于返回一个对于“对象的描述”,对应于内置函数 str()经常用于 print()方法,帮助我们查看对象的信息。str()可以重写。
# 测试重写object的__str__()
class Person: #默认继承object类
def __init__(self,name):
self.name = name
def __str__(self):
return "名字是:{0}".format(self.name)
p = Person("小明")
print(p)
执行结果:
名字是:小明
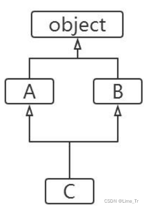
多重继承
Python 支持多重继承,一个子类可以有多个“直接父类”。这样,就具备了“多个父
类”的特点。但是由于,这样会被“类的整体层次”搞的异常复杂,尽量避免使用。

#多重继承
class A:
def aa(self):
print("aa")
class B:
def bb(self):
print("bb")
class C(B,A):
def cc(self):
print("cc")
c = C()
c.cc()
c.bb()
c.aa()
执行结果:
cc
bb
aa
MRO(Method Resolution Order):方法解析顺序
Python 支持多继承,如果父类中有相同名字的方法,在子类没有指定父类名时,解释器将“从左向右”按顺序搜索。 MRO(Method Resolution Order):方法解析顺序。 我们可以通过 mro()方法获得 “类的层次结构”,方法解析顺序也是按照这个“类的层次结构”寻找的。
#多重继承
class A:
def aa(self):
print("aa")
def say(self):
print("say AAA!")
class B:
def bb(self):
print("bb")
def say(self):
print("say BBB!")
class C(B,A):
def cc(self):
print("cc")
c = C()
print(C.mro()) #打印类的层次结构
c.say() #解释器寻找方法是“从左到右”的方式寻找,此时会执行 B类中的 say()
执行结果:
[<class '__main__.C'>, <class '__main__.B'>, <class '__main__.A'>, <class 'object'>]
say BBB!
super()获得父类定义
在子类中,如果想要获得父类的方法时,我们可以通过 super()来做。
super()代表父类的定义,不是父类对象。
#super()
class A:
def say(self):
print("A: ",self)
print("say AAA")
class B(A):
def say(self):
#A.say(self) 调用父类的 say 方法
super().say() #通过 super()调用父类的方法
print("say BBB")
b = B()
b.say()
执行结果
A: <__main__.B object at 0x0000021AF7BAFFA0>
say AAA
say BBB



被折叠的 条评论
为什么被折叠?



