梨涡泥窝
码龄3年
关注
提问 私信
  • 博客:151,374
    社区:5
    151,379
    总访问量
  • 54
    原创
  • 238,909
    排名
  • 5,589
    粉丝
  • 76
    铁粉
  • 学习成就

个人简介:下一站:咸宁西路。

IP属地以运营商信息为准,境内显示到省(区、市),境外显示到国家(地区)
IP 属地:广东省
  • 加入CSDN时间: 2021-06-28
博客简介:

Liwo4418的博客

查看详细资料
  • 原力等级
    成就
    当前等级
    5
    当前总分
    1,317
    当月
    9
个人成就
  • 获得268次点赞
  • 内容获得102次评论
  • 获得1,961次收藏
  • 代码片获得5,420次分享
创作历程
  • 2篇
    2024年
  • 14篇
    2023年
  • 38篇
    2022年
成就勋章
TA的专栏
  • 密码框架
    1篇
  • Java Web
    10篇
  • 数据结构
    1篇
  • Android
    4篇
  • 算法竞赛
    7篇
  • 系统集成项目管理工程师 软考中级
    25篇
创作活动更多

AI大模型如何赋能电商行业,引领变革?

如何使用AI技术实现购物推荐、会员分类、商品定价等方面的创新应用?如何运用AI技术提高电商平台的销售效率和用户体验呢?欢迎分享您的看法

175人参与 去创作
  • 最近
  • 文章
  • 代码仓
  • 资源
  • 问答
  • 帖子
  • 视频
  • 课程
  • 关注/订阅/互动
  • 收藏
搜TA的内容
搜索 取消

FIDO2入门以及相关概念 Client to Authenticator Protocol

FIDO(Fast Identity Online)是一组开放标准和协议,旨在提供更强大、更安全的身份验证方法,以替代传统的用户名和密码登录。FIDO 的目标是通过使用公钥密码学和生物识别技术来提高用户身份验证的安全性,并减少对传统密码的依赖。
原创
发布博客 2024.02.20 ·
3172 阅读 ·
18 点赞 ·
0 评论 ·
25 收藏

处理时区问题:解决Element UI日期选择器<el-date-picker>提前8小时显示的实践指南

通过在后端和前端分别指定日期时间的格式和时区,我们成功解决了Element UI日期选择器的时区问题,确保显示时间与后端传递的时间一致。这一经验提醒我们在跨时区的开发中要注意时区的影响,合理配置日期时间的格式以及时区信息,以确保时间的正确传递和显示。类型表示日期时间的同时,Element UI的日期选择器默认使用本地时区进行显示,导致时区不一致。组件时,我们观察到前端Vue页面中的日期选择器在更新时间时存在时区偏移,导致实际显示的时间比后端传递的时间提早了8个小时。注解,指定日期时间的格式和时区。
原创
发布博客 2024.01.12 ·
6306 阅读 ·
17 点赞 ·
0 评论 ·
23 收藏

数据结构——常见的定义

KMP算法的关键思想是在匹配过程中,当出现不匹配的字符时,利用部分匹配表中的信息,跳过一些无需重新比较的字符,从而提高匹配效率。广度优先搜索(Breadth-First Search,BFS):从图的某个节点开始,首先访问该节点,然后依次访问该节点的所有邻居节点,再依次访问邻居节点的邻居节点,以此类推。具体的转换方法是,对于每个树的节点,将其第一个子节点作为左子节点,将其兄弟节点作为右子节点,形成二叉树。图可以是有向的(边有方向)或无向的(边无方向),可以是带权重的(边具有权重)或无权重的。
原创
发布博客 2023.12.25 ·
1184 阅读 ·
10 点赞 ·
0 评论 ·
9 收藏

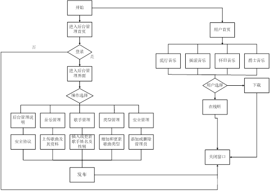
软件测试——Three Online Music系统测试大作业

在本次回归测试中,我们将对之前发现的错误进行修改后的系统进行测试,主要考察系统是否更加兼容、安全和可用。我们将对修改后的系统进行全面的测试,包括以下几个方面:l 系统的功能是否正确,是否满足原始需求和预期行为;l 系统在不同场景下的表现,特别是针对修改后的功能或模块进行更详细的测试;l 系统在修改后是否产生了新的缺陷或问题,并对这些问题进行修复和改进;l 系统的性能和响应时间是否有所提高和改善,特别是针对高负载情况下的系统表现;
原创
发布博客 2023.12.25 ·
2053 阅读 ·
28 点赞 ·
0 评论 ·
38 收藏

@Controller和@RestController的区别

都是Spring MVC框架中的注解,用于标识一个类是Spring MVC controller处理器,可以接收HTTP请求,但它们的主要区别在于目标和方法返回的类型。注解的类中,方法只能返回Java Bean、String、Integer、Double、Boolean等类型的数据,Spring会将这些数据转化为JSON或XML格式。注解主要用来接收HTTP请求并返回最终页面,即典型的MVC模式中的“C”,控制器的动作主要是转发和跳转。如果需要返回的是JSON格式的数据,应该使用。
原创
发布博客 2023.09.17 ·
852 阅读 ·
1 点赞 ·
0 评论 ·
2 收藏

JavaWeb——基于Spring Boot的图书数字化管理系统的设计与实现

随着信息技术的快速发展,数字化管理已经成为各行各业提高效率和管理水平的重要手段。在图书管理领域,数字化管理系统可以有效地提高管理效率,提供更好的用户体验。本项目旨在开发一个基于Spring Boot的图书数字化管理系统,为管理员和读者提供便捷的操作和管理功能。
原创
发布博客 2023.07.14 ·
8206 阅读 ·
12 点赞 ·
0 评论 ·
132 收藏

Android———实现Android程序中的数据存储

ACID,指数据库事务正确执行的四个基本要素的缩写。一个支持事务(Transaction)的数据库系统,必需要具有这四种特性,否则在事务过程(Transaction processing)当中无法保证数据的正确性,交易过程极可能达不到交易方的要求。在activity_main.xml中放置3个TextView控件分别显示“姓名”、“电话”和“已保存的姓名电话信息”,放置2个EditView控件分别显示姓名的输入框和电话的输入框。放置4个Button控件分别用于显示添加按钮,查询按钮,修改按钮,和删除按钮。
原创
发布博客 2023.06.14 ·
575 阅读 ·
1 点赞 ·
0 评论 ·
1 收藏

Android——发送和接收广播

(1)能创建广播接收者,实现广播的注册(2)能自定义广播,发送和接收广播。
原创
发布博客 2023.06.13 ·
1551 阅读 ·
0 点赞 ·
0 评论 ·
4 收藏

Android——使用Service服务实现通信

其中这个服务有addTimer()、play()、pausePlay()、continuePlay()和seekTo()方法实现每隔500ms更新播放进度条、播放音乐、暂停播放、继续播放和设置音乐播放进度条功能,具体代码如下。MainActivity实现了音乐文件的播放、暂停播放、继续播放、播放进度的设置以及音乐播放器界面的退出功能。运行上述程序,分别对点击“播放”、“暂停”、“继续”按钮可分别实现音乐播放、暂停、继续播放的功能。设计一个服务的具体应用,实现服务的通信。把相应的音频和图片导入到项目中。
原创
发布博客 2023.06.09 ·
1828 阅读 ·
1 点赞 ·
0 评论 ·
5 收藏

Java Web——使用Filter实现用户登录

(1)了解什么是Filter。(2)熟悉Filter的拦截过程和接口中的方法。(3)掌握第一个Filter程序的编写方法。(4)能够使用Filter实现用户自动登录通过前面的学习,我们已经了解到,使用Cookie可以实现用户自动登录的功能。但是使用Cookie实现用户自动登录后,当客户端访问服务器的Servlet时,所有的Servlet都需要对用户的Cookie信息进行校验,这样势必会导致在Servlet程序中书写大量重复的代码。为了解决这种问题,可以在Filter。
原创
发布博客 2023.06.08 ·
2363 阅读 ·
2 点赞 ·
1 评论 ·
35 收藏

JavaWeb——JSP实现书城首页

(1)了解JSP的特点及其运行原理(2)掌握JSP的基本语法(3)熟悉JSP指令和隐式对象的使用(4)掌握JSP动作元素的使用能使用include指令进行jsp页面的开发,实现传智书城首页。Win10操作系统+JDK软件+Eclipse软件+Apache-tomcat软件。
原创
发布博客 2023.06.06 ·
2030 阅读 ·
0 点赞 ·
1 评论 ·
32 收藏

Java Web——Session实现购物车

Session实现购物车1)掌握什么是Cookie对象,掌握Cookie对象的使用(2)掌握什么是Session对象,掌握Session对象的使用(3)掌握使用Session对象实现购物车功能使用Session对象实现购物车功能购物车的实现流程如下:要求在Java web项目里,创建Book.java类封装图书信息;模拟数据库BookDB 类,保存图书信息;购买页面类ListBookServlet,用于显示所有可购买图书的列表;添加购物车类PurchaseServlet;
原创
发布博客 2023.05.31 ·
3404 阅读 ·
6 点赞 ·
0 评论 ·
90 收藏

Java Web——课程设计《仿微信朋友圈WebAPP》

开发背景:为了更好的与亲友们联系、分享日常,为此开发小型朋友圈WebApp,以增加亲朋好友之间的亲密度。开发工具:Windows 10, IntelliJ IDEA, MySQL 8, Maven, Tomcat相关技术:JDBC原理、kaptcha、Apache-fileupload、C3p0、mui等。
原创
发布博客 2023.04.07 ·
3239 阅读 ·
4 点赞 ·
7 评论 ·
49 收藏

蓝桥杯——第十届蓝桥杯省赛C/C++大学B组 试题 E 迷宫

下图给出了一个迷宫的平面图,其中标记为 11 的为障碍,标记为 00 的为可以通行的地方。迷宫的入口为左上角,出口为右下角,在迷宫中,只能从一个位置走到这 个它的上、下、左、右四个方向之一。对于上面的迷宫,从入口开始,可以按DRRURRDDDR的顺序通过迷宫, 一共 10 步。其中DULR分别表示向下、向上、向左、向右走。对于下面这个更复杂的迷宫(30行50 列),请找出一种通过迷宫的方式,其使用的步数最少,在步数最少的前提下,请找出字典序最小的一个作为答案。请注意在字典序中DLRU。
原创
发布博客 2023.04.05 ·
218 阅读 ·
0 点赞 ·
0 评论 ·
0 收藏

JavaWeb——使用DBUtils实现数据库的增删改查操作

使用DBUtils实现数据库的增删改查操作(1)了解什么是数据库连接池,会使用DBCP和C3P0数据源(2)了解DBUtils工具中常见的API(3)学会用DBUtils工具对数据进行增删改查的操作建立数据库和表,使用数据库连接池技术和DBUtils实现对进行数据库增删改查操作。(1)在JDBC的基本操作中,由于每操作一次数据库,都会执行一次创建和断开Connection对象的操作,频繁的操作Connection对象十分影响数据库的访问效率,并且增加了代码量。
原创
发布博客 2023.03.20 ·
2856 阅读 ·
0 点赞 ·
0 评论 ·
23 收藏

JavaWeb——使用JavaScript实现随机抽奖

项目名为自己的姓名,建立的项目中包含CSS文件夹、img文件夹、js文件夹,分别用来存放CSS文件、图像文件和js文件,在HTML页面里通过链入式引入JavaScript代码和CSS样式文件。把项目操作过程中的代码粘贴到下面的实验步骤里。通过该实验项目的练习,我学习了如何将html与css和JavaScript文件分离,掌握了如何制作一个动态网页,遇到了字体颜色与背景相似和格式问题,通过修改字体颜色和修改css文件解决。单击“开始抽奖”按钮开始随机抽奖,单击“停止抽奖”按钮结束随机抽奖,显示抽奖结果。
原创
发布博客 2023.03.10 ·
2115 阅读 ·
2 点赞 ·
0 评论 ·
26 收藏

Android——使用ContentProvider共享数据

实验目的:(1)能使用ContentProvider共享数据(2)能使用内容观察者观察其他程序的数据变化实验内容及原理:设计一个监测数据库的工程,要求:能够操作数据库的数据数据库发生变化时立即响应创建工程,设计界面和功能,完成项目的调试,并将程序的代码和运行结果记录下来。实验设备及实验步骤:实验设备:Windows+Android Studio
原创
发布博客 2022.11.29 ·
2314 阅读 ·
0 点赞 ·
0 评论 ·
22 收藏

答案解析——第五届“传智杯”全国大学生计算机大赛(练习赛)

给定若干个字符串,不定数量,**每行**一个。有些字符串可能出现了多次。如果读入一个字符串后,发现这个字符串以前被读入过,则这个字符串被称为前面相同的字符串的**复读**,这个字符串被称为**复读字符串**。相应的,每个首次出现的字符串就是**非复读字符串**。
原创
发布博客 2022.11.20 ·
4125 阅读 ·
2 点赞 ·
0 评论 ·
30 收藏

系统集成项目管理工程师(软考中级)—— (补充)第二十六章 常用技术标准 笔记分享

GB/T16260.1是产品质量系列标准中的基础标准,他描述了软件工程领域产品质量的质量模型。
原创
发布博客 2022.10.03 ·
1629 阅读 ·
0 点赞 ·
0 评论 ·
3 收藏

系统集成项目管理工程师(软考中级)—— 第二十五章 法律法规(补充) 笔记分享

①在大型基础设施、公用事业等关系社会公共利益、公众安全的项目。②全部或部分使用国有资金投资或者国家融资的项目。③使用国际组织或者外国政府贷款、援助资金的项目tips:勘察、设计、施工、监理,以及与工程建设有关的重要设备、材料等的采购各级国家机关、事业单位和团体组织,使用财政性资金采购依法制定的集的采购目竟以内的或者采购限额标准以上的货物、工程和服务的行为。
原创
发布博客 2022.09.21 ·
1574 阅读 ·
0 点赞 ·
0 评论 ·
3 收藏
加载更多