文章目录
- 简单估计量及其性质
- 比率估计量及其性质
- 回归估计量及其性质
- 各层样本量的分配
- 总样本量的确定
简单估计量及其性质
分层随机抽样

符号
所有总体参数的估计量都用下标"st"以示区别



对总体均值的估计
分层样本的总体均值的估计

分层随机样本的总体均值的估计

总体均值的方差
分层抽样

分层随机抽样

其实bb一堆,总体均值的方差这样算就好了

对总体总量的估计
分层抽样

分层随机抽样

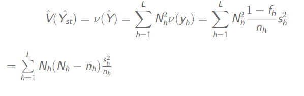
总体总量的方差
分层抽样

分层随机抽样

计算方法

👴怒了,终于有例题了
例题

👴先休息一会
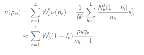
总体比例的估计

总体比例的方差
分层抽样

分层随机抽样

计算方法

比率估计量及其性质
分别比估计
就是先比后加权
R:比
S:分别
-
总体均值的分别比估计

-
总体均值的分别比估计的方差


-
总体总值的分别比估计

-
总体总值的分别比估计的方差

联合比估计
就是先加权后比
R:比
C:联合
-
总体均值的联合比估计

-
总体总量的联合比估计


-
总体均值的联合比估计的方差


-
总体总值的联合比估计的方差

分别比估计与联合比估计的比较


回归估计量及其性质
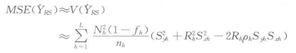
分别回归估计
总体均值的分别回归估计

总体总值的分别回归估计

各层的回归系数事先给定
总体均值的方差

不能事先给定

总体均值的方差

总体均值的方差的计算方法
部分层的回归系数不能事先给定

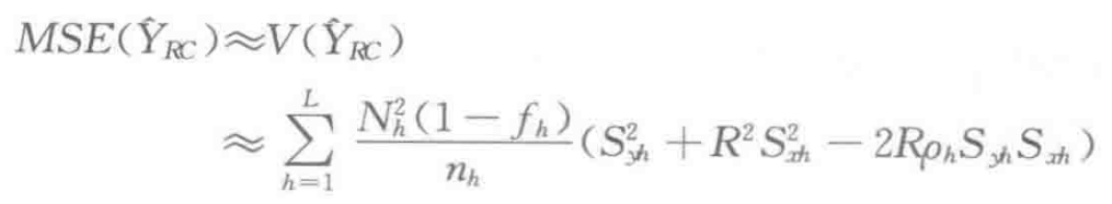
联合回归估计
各层样本量的分配
比例分配
就是按各层的层权进行分配
层权

各层抽样比

本文详细探讨了分层随机抽样的各种方法,包括对总体均值、总量和比例的估计及其方差,比率估计量的分别比和联合比估计,以及回归估计量的性质。此外,还讨论了各层样本量的最优分配策略,如比例分配、内曼分配和最优分配,以满足不同精度要求。最后,文章提供了具体的例题来说明这些概念的实际应用。
最低0.47元/天 解锁文章
4282

被折叠的 条评论
为什么被折叠?



