问题及代码:
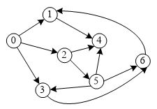
利用下图作为测试图,输出结果:

头文件gragh.h和源文件gragh.cpp代码详见第十二周项目1--图基本算法库
主函数main.cpp代码:
- <span style="font-size:12px;">#include "graph.h"
-
-
- int OutDegree(ALGraph *G,int v)
- {
- ArcNode *p;
- int n=0;
- p=G->adjlist[v].firstarc;
- while (p!=NULL)
- {
- n++;
- p=p->nextarc;
- }
- return n;
- }
-
-
- void OutDs(ALGraph *G)
- {
- int i;
- for (i=0; i<G->n; i++)
- printf(" 顶点%d:%d\n",i,OutDegree(G,i));
- }
-
-
- void OutMaxDs(ALGraph *G)
- {
- int maxv=0,maxds=0,i,x;
- for (i=0; i<G->n; i++)
- {
- x=OutDegree(G,i);
- if (x>maxds)
- {
- maxds=x;
- maxv=i;
- }
- }
- printf("顶点%d,出度=%d\n",maxv,maxds);
- }
-
- void ZeroDs(ALGraph *G)
- {
- int i,x;
- for (i=0; i<G->n; i++)
- {
- x=OutDegree(G,i);
- if (x==0)
- printf("%2d",i);
- }
- printf("\n");
- }
-
-
- bool Arc(ALGraph *G, int i,int j)
- {
- ArcNode *p;
- bool found = false;
- p=G->adjlist[i].firstarc;
- while (p!=NULL)
- {
- if(p->adjvex==j)
- {
- found = true;
- break;
- }
- p=p->nextarc;
- }
- return found;
- }
-
- int main()
- {
- ALGraph *G;
- int A[7][7]=
- {
- {0,1,1,1,0,0,0},
- {0,0,0,0,1,0,0},
- {0,0,0,0,1,1,0},
- {0,0,0,0,0,0,1},
- {0,0,0,0,0,0,0},
- {0,0,0,1,1,0,1},
- {0,1,0,0,0,0,0}
- };
- ArrayToList(A[0], 7, G);
- printf("(1)各顶点出度:\n");
- OutDs(G);
- printf("(2)最大出度的顶点信息:");
- OutMaxDs(G);
- printf("(3)出度为0的顶点:");
- ZeroDs(G);
- printf("(4)边<2,6>存在吗?");
- if(Arc(G,2,6))
- printf("是\n");
- else
- printf("否\n");
- printf("\n");
- return 0;
- }</span>
运算结果:

知识点总结:
利用图基本算法库解决实际问题
学习心得:
计算出度即是计算此顶点指向其他顶点的边的条数,用指针的方式去判定此顶点指向的是具体的顶点还是空的。计算每个顶点也是如此。
求最大出度就是在求出每个顶点出度的时候在进行比较,找到最大出度,求出出度为0的顶点一比较就可以了。
判断图中是否有某一条边则采用的是布尔函数,首先判断行,即i,然后判断i所代表的顶点是否指向j的顶点