集成学习:Bagging
本篇继续介绍第二种集成方法Bagging,首先给出训练效果,使用的CNN,和上一篇一致。

一、Bagging背景
Bootstrap Aggregated是并行式集成学习方法最著名的代表,简称Bagging。
二、算法简介
Bagging算法思想很简单,就是对原训练集采取自助采样(bootstrap sampling)的方式,得到若干个新训练集。一个新训练集对应训练一个学习器(分类器),因为训练集的样本分布不同,训练得到的学习器就更具多样化。最后采用结合策略(比如投票法)将各个分类器的预测值进行整合

假设每个学习器(分类器)在不同训练样本上训练,会得到分布不同的学习器(即使是结构相同的分类器也一样)。得到多样化的分类器。
当然,为了得到较好的结果,每个学习器性能应尽可能要好。
假设原训练集有n个样本 :(x1,y1),(x2,y2),…,(xn,yn)
x表示数据,y表示标签
Bagging对原训练集采取随机抽样的方式,也就是有放回的在原训练集上抽取n次,这样得到的新数据集和原数据集合在样本数量上就一致了。
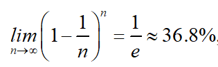
值得一提的是,当n足够大(n=训练集样本量=取放次数),自助采样后(从概率的角度),原始训练集有36.8%的样本不在新数据集里。可能采取到的63.2%的数据很大概率还包含了重复的样本。

三、Bagging算法设计思路及Keras实现
4.1 新数据集的产生
Bagging算法说白了核心在于怎么实现自助采样,如下:
import numpy as np
Sampling_point= np.random.choice(N, N)
New_Xtrain = Xtrain[Sampling_point, :]
New_Ytrain = Ytrain[Sampling_point, :]
其中原训练集对应数据为Xtrain,标签为Ytrain,样本总量为N。
同理,测试集对应数据为Xtest,标签为Ytest
每次抽样得到的新数据集为New_Xtrain,New_Ytrain
后续,在每次迭代训练中采用自助采样的方式打乱样本,由模型训练,然后通过投票法实现即可。
4.2 训练多个分类器并保存
一个新数据集对应训练一个分类器,每次迭代中就自助采样生成一个新数据集。
def save_final_models(models):
for i, model in enumerate(models):
model.save(str(i) + ".final.hdf5")
train_records = []
test_records = []
# 训练三个分类器
for i in range(3):
Sampling_point= np.random.choice(N, N)
New_Xtrain = Xtrain[Sampling_point, :]
New_Ytrain = Ytrain[Sampling_point, :]
********************************************************
这里放置设计的model,把New_Xtrain和New_Ytrain喂进去,
keras会有以下部分的操作,喂入数据,保存
history = model.fit(New_Xtrain , New_Ytrain, ……)
model.load_weights(filepath)
********************************************************
scores = model.evaluate(Xtrain, Ytrain, verbose=1)
train_accuracy_records.append(scores[1])
scores = model.evaluate(Xtest, Ytest, verbose=1)
test_accuracy_records.append(scores[1])
# models存储每次训练好的模型
models.append(model)
# 将每个训练器都保存下来,下次用的时候直接拿过来,不用再从头训练。
save_final_models(models)
到此为止,Bagging的算法的原理已经基本包括在里面了。后续就是使用结合策略进行表决
4.3 结合策略输出最终值
结合策略大同小异,方法也有很多,Bagging里可以套用上一篇Adaboost中使用的加权投票法。
def weighted_vote(x_test, models, accuracy_records, num_classes=11):
n_learners = len(models)
n_tests = x_test.shape[0]
probs = np.zeros((n_tests, num_classes))
for i in range(n_learners):
accuracy = accuracy_records[i]
model = models[i]
probs = probs + accuracy*model.predict(x_test)
return np.argmax(probs, axis=1)
final_predict = weighted_vote(Xtest, models, train_records)

实现比Adaboost更为简单
4.4 完整代码示例
import tensorflow as tf
import numpy as np
import sys
import os
from tensorflow.keras.layers import *
from tensorflow.keras.datasets import cifar10
from tensorflow.keras.models import Sequential
from tensorflow.keras.models import Model
import random
def load_data():
(x_train, y_train), (x_test, y_test) = cifar10.load_data()
return (x_train, y_train), (x_test, y_test)
def preprocess(x_train, y_train, x_test, y_test):
# Normalize data.
x_train = x_train.astype('float32') / 255
x_test = x_test.astype('float32') / 255
print('x_train shape:', x_train.shape)
print(x_train.shape[0], 'train samples')
print(x_test.shape[0], 'test samples')
print('y_train shape:', y_train.shape)
# 热编码
num_classes = 10
y_train = tf.keras.utils.to_categorical(y_train, num_classes)
y_test = tf.keras.utils.to_categorical(y_test, num_classes)
return (x_train, y_train), (x_test, y_test)
def save_final_models(models, name_prefix):
for i, model in enumerate(models):
model.save(name_prefix + "." + str(i) + ".final.hdf5")
def weighted_vote(x_test, models, accuracy_records, num_classes=10):
n_learners = len(models)
n_tests = x_test.shape[0]
probs = np.zeros((n_tests, num_classes))
for i in range(n_learners):
accuracy = accuracy_records[i]
model = models[i]
probs = probs + accuracy*model.predict(x_test)
return np.argmax(probs, axis=1)
def predict(model, x_test):
test_classes = model.predict(x_test, verbose=0)
test_classes = np.argmax(test_classes, axis=1)
# print(test_classes.shape)
return test_classes
def build_CNN(x_train, y_train, x_test, y_test, batch_size, epochs, n, name_prefix):
num_classes = 10
input_shape = x_train.shape[1:]
inputs = Input(shape=input_shape)
input_x_padding = ZeroPadding2D((0, 0), data_format="channels_first")(inputs)
layer1 = Conv2D(30, (5, 5), padding='valid',data_format = 'channels_last', activation="relu", name="conv1")(input_x_padding)
BN1 = BatchNormalization(name='bn_1')(layer1)
layer2 = Conv2D(30, (5, 5), padding="valid", activation="relu",data_format = 'channels_last', name="conv2" )(BN1)
BN2 = BatchNormalization(name='bn_2')(layer2)
layer3 = Conv2D(30, (5, 5), padding='valid', activation="relu",data_format = 'channels_last', name="conv3")(BN2)
x = AveragePooling2D(pool_size=2)(layer3)
y = Flatten()(x)
outputs = Dense(num_classes, activation='softmax')(y)
model = Model(inputs=inputs, outputs=outputs)
model.compile(loss='categorical_crossentropy',
optimizer='adam',
metrics=['accuracy'])
model.summary()
save_dir = os.path.join(os.getcwd(), 'save_path')
if not os.path.isdir(save_dir):
os.makedirs(save_dir)
filepath = name_prefix + ".weights.h5"
filepath = os.path.join(save_dir, filepath)
callbacks = [tf.keras.callbacks.ModelCheckpoint(filepath, monitor='val_accuracy', verbose=0, save_best_only=True, mode='max'),
#学习率系数0.5
tf.keras.callbacks.ReduceLROnPlateau(monitor='val_loss', factor=0.6, patience=4, verbose=1),
tf.keras.callbacks.EarlyStopping(monitor='val_loss', patience=10, verbose=0, mode='auto') ]
history = model.fit(x_train, y_train,
batch_size=batch_size,
epochs=epochs,
validation_data=(x_test, y_test),
shuffle=True,
callbacks=callbacks)
model.load_weights(filepath)
return model, history
n=3
n_learners = 3
batch_size = 32
epochs_lst = [10, 10, 10]
filename="cnn_bagging.txt"
file_prefix=""
num_classes = 10
(x_train, y_train), (x_test, y_test) = load_data()
y_test_old = y_test[:] # 存储值
(x_train, y_train), (x_test, y_test) = preprocess(x_train, y_train, x_test, y_test)
models = []
n_trains = x_train.shape[0]
n_tests = x_test.shape[0]
train_accuracy_records = []
test_accuracy_records = []
for i in range(n_learners):
epochs = epochs_lst[i]
# 随机抽样
train_picks = np.random.choice(n_trains, n_trains)
x_train_i = x_train[train_picks, :]
y_train_i = y_train[train_picks, :]
model, history = build_CNN(x_train_i, y_train_i, x_test, y_test, batch_size, epochs, n, "bagging-model-"+str(i))
print("model %d 结束训练" % (i))
scores = model.evaluate(x_train, y_train, verbose=1)
train_accuracy_records.append(scores[1])
scores = model.evaluate(x_test, y_test, verbose=1)
test_accuracy_records.append(scores[1])
models.append(model)
save_final_models(models, "bagging")
filename = file_prefix + filename
print(filename)
out_file = open(filename, "a")
out_file.write("--------------------------------------------\n")
out_file.write("Random = " + str(random) + "\n")
print("Random = " + str(random))
# 投票决策
final_predict = weighted_vote(x_test, models, train_accuracy_records)
print(final_predict.shape)
errors = np.count_nonzero(final_predict.reshape((n_tests, )) - y_test_old.reshape((n_tests,)))
out_file.write("votefun is\n")
out_file.write(str(weighted_vote) + "\n")
out_file.write('集成测试准确率: %0.6f \n' % ((n_tests - errors)/float(n_tests)))
print('集成测试准确率: %0.6f' % ((n_tests - errors)/float(n_tests)))
for i in range(n_learners):
print("学习器 %d (epochs = %d): %0.6f" % (i, epochs_lst[i], test_accuracy_records[i]))
out_file.write("学习器 %d (epochs = %d): %0.6f\n" % (i, epochs_lst[i], test_accuracy_records[i]))
out_file.close()
如何获得较好的Bagging集成效果?(一点经验)
从直觉上来看使用Bagging算法进行集成要获得较好的效果应该具备以下几点:
①各分类器性能都较好;
②训练样本充足,否则分类器未充分学习到数据样本的分布,拟合不好;
③分类器数量充足(训练轮次=所需训练的分类器数量),这样可以保证多次自助采样后获得的新数据集的样本的总和,尽可能都包含原始训练集的样本。
举个例子:
原始训练集D={A,B,C,D,E,F}
我们每次自助采样获得新数据集Data1={A,A,A,B,D,F},训练时样本C、D、E未训练。
Data2={B,B,C,C,D,F} ,训练时样本A、E未训练。
D1和D2涵盖的样本有ABCDF,缺少E,在决策时对于这E的内容因为没接触过,分类器就是盲猜了。
本文详细介绍了Bagging集成学习方法,包括背景、算法简介和Keras实现。通过自助采样创建新数据集,训练多个分类器,并采用投票法结合策略输出最终结果。文中提供完整代码示例,强调了获取良好集成效果的关键因素。
3200

被折叠的 条评论
为什么被折叠?



