目录
黑鹰优化算法(Black eagle optimizer, BEO)是一种新型的元启发式算法(智能优化算法),结合了黑鹰的生物规律和数学变换来指导粒子的搜索行为。这个算法内容丰富,迭代优化的过程也算是比较新颖,值得一试!该成果由Haobin Zhang等人于2024年6月发表在SCI期刊《Cluster Computing》上!

由于发表时间较短,谷歌学术上还没人引用!你先用,你就是创新!

原理简介
黑鹰是一种中等大小的猛禽,因其特有的黑棕色羽毛而得名。黑鹰的主要生物学行为包括捕食、迁徙和繁殖。捕食行为可细分为跟踪、徘徊、捕捉、抢夺和警告;繁殖行为包括求偶和孵化。跟踪开始了黑鹰的掠食行为,黑鹰通常站在高处或树上寻找猎物。悬停飞行是黑鹰发现猎物后悄悄接近猎物的主要方式。当黑鹰接近猎物时,它会迅速俯冲下来捕捉猎物。

一、种群初始化
与大多数算法一样,通过以下公式产生的RBMO的初始搜索代理:
![]()
式中,lb和ub分别为搜索空间的下边界和上边界;Rand是维数为d的列向量,其元素为0到1之间的随机值。
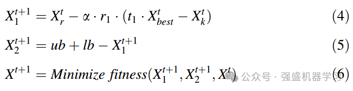
二、围捕行为

式中,Xr为搜索空间中的随机位置,Xk为随机黑鹰的位置,Xbest为当前最佳位置,表示猎物的位置;α=e^||Xt-Xtbest||/D, D为Xbest到搜索边界的最远距离;r1是0到1的随机数,t1是Tent映射形成的0到1的随机数。式(4)模拟随机一只黑鹰站在高地上寻找猎物的潜在方向;式(5)是一种基于对立的学习策略,适合探索式(5)未探索的搜索空间;式(6)表示选择适应度最小的n个个体作为更新位置。通过模拟围捕行为提出的跟踪策略是一种高密度搜索方法,并通过自适应分布群体位置和增加种群规模来增加搜索密度,提高算法的全局寻优能力。
三、悬停行为


M是一个d维悬停矩阵,a=r2*2π, a为悬停角;R2是0到1之间的随机数。悬停操作用于执行旋转搜索,以进一步细化全局最优位置的范围。我们使用高维空间点的旋转方法模拟黑鹰的悬停,如下图所示,其中一个30维的点以p/12的旋转角度围绕一个固定点旋转120次,之后得到1-12维的图像,这证明了公式(7)的模拟是恰当和有效的。悬停策略在最初由跟踪策略确定的全局最优位置范围内进行旋转搜索。

四、捕捉行为



D1是位置调整因子1,D2为位置调整因子2,s0为维数为d的列向量,元素在0.5到1之间。式(8)和式(9)模拟了黑鹰在捕捉猎物时不断调整姿态以确保捕获成功的情况。捕获策略是一种自适应中心搜索方法,其目的是将所有个体的位置分布调整到以当前最优位置为中心的位置分布,为后续有效的局部开发做准备。该过程分为两个阶段:首先,通过D1尺度扩大所有个体与当前最优位置之间的距离,然后通过D2尺度将所有个体与当前最优位置之间的距离缩小到变化前的水平,以降低群体位置相对于当前最优位置的偏离程度。
五、抢夺行为

式中,r3为维数为d的随机向量,各维元素的值服从正态分布。式(10)简化了黑鹰从一点到另一点曲线飞行时的抢夺行为。然后利用点的跳跃运动来模拟黑鹰的抢夺行为。抓取策略是一种跳跃搜索方法,其目的是对前一策略调整过的位置进行跳跃搜索,以提高发现全局最优位置的机会。
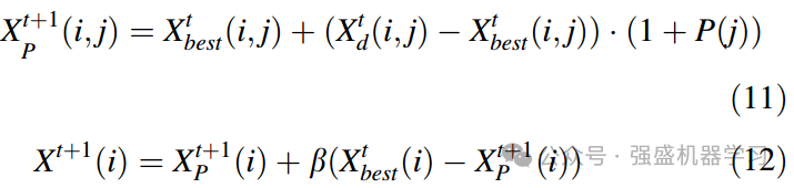
六、警告行为


dsi为第i维中Xt best到搜索空间中心的距离,ds min和ds max分别为dsi的最小值和最大值,Xt d为Xt按照与Xt best的接近程度重新排列后的位置矩阵。式(11)和式(12)采用泊松分布引导粒子运动,模拟黑鹰之间的预警机制。效果如下图所示;在三维空间中,蓝点为当前局部最优位置,且靠近y维边界,此时触发预警机制,y维不再执行其他位置更新规则,预警机制引导粒子运动。警告机制防止粒子从每个维度的搜索空间中逃逸。

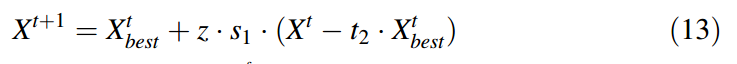
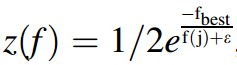
七、迁徙行为


fbest为当前最佳适应度值,f(j)为第j个个体的适应度值,s1为d维的列向量,元素在-1到1之间,t2为Tent混合映射形成的0.4到1之间的随机数。式(13)用适应度函数值表示黑鹰对环境的适应程度,并构造迁移函数z(f),进一步充分模拟黑鹰的迁移规律:对环境的适应程度越低,迁徙距离越远。迁移机制旨在将适应度较低的个体从当前最优位置移开,以降低陷入局部最优的可能性
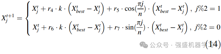
八、求偶行为

![]()
K是阶跃因子,其函数表达式来源于Sigmoid函数的变形;r4、r6为0 ~ 1的随机数,r5、r7为d维的列向量,其元素服从正态分布。式(14)利用类似正弦余弦函数的波动和奇数-偶数的交替模式,模拟了黑鹰求偶期间雌雄黑鹰的互动行为。这种新的交替正弦余弦策略的优点是增加了局部搜索过程中个体的多样性,提高了可开发性。
九、孵化行为

式中R为一组正态分布的数组,Xd为组位置X从离巢Xbest从最近到最远重新排列后的组位置矩阵。式(15)根据正态分布模拟了孵育期间雄性黑鹰在巢附近活动较多,而在较远的地方活动较少,因为雄性黑鹰会保护孵卵的雌性。孵化策略是一种扩散搜索方法,允许一些个体继续接近当前最优,而其他个体向外扩散,从而防止陷入局部最优。
02
算法流程图和伪代码
根据黑鹰的跟踪、悬停、捕捉、抢夺、警告、求偶、孵化等行为建立了相应的数学模型,并以此构建了BEO优化算法。
以下提供BEO算法的流程图和伪代码,非常清晰!


如果实在看不懂,不用担心,可以看下源代码,再结合上文公式理解就一目了然了!
性能测评
原文作者在30个CEC2017测试函数和12个最新的CEC2022测试函数上进行了性能综合测试,并将其性能与7种最先进的优化算法进行了比较。测试结果表明,BEO算法在100%的单峰函数中收敛精度达到理论值,在78.95%的复杂函数中收敛精度高于比较算法,在90.48%的函数中标准差排名前三,证明了BEO算法具有出色的局部优化能力、全局优化能力和稳定性。
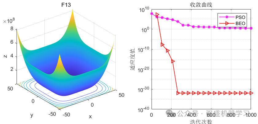
这边为了方便大家对比与理解,采用23个标准测试函数,即CEC2005,并与经典的粒子群算法PSO进行对比!这边展示其中5个测试函数的图,其余十几个测试函数大家可以自行切换尝试!





可以看到,这个算法在F12、F13函数上效果特别好,达到了-30的数量级,基本是天花板的存在,其他函数的话对比PSO有一定的优势,大家应用到各类预测、优化问题中是一个不错的选择~
参考文献
[1]Zhang H, San H, Chen J, et al. Black eagle optimizer: a metaheuristic optimization method for solving engineering optimization problems[J]. Cluster Computing, 2024: 1-33.
完整代码
如果需要免费获得图中的完整测试代码,只需点击下方小卡片,再后台回复关键字,不区分大小写:
BEO
也可点击下方小卡片,再后台回复个人需求(比如BEO-SVM)定制以下BEO算法优化模型(看到秒回):
1.回归/时序/分类预测类:SVM、RVM、LSSVM、ELM、KELM、HKELM、DELM、RELM、DHKELM、RF、LSTM、BiLSTM、GRU、BiGRU、PNN、CNN、BP、XGBoost、TCN、BiTCN、ESN等等均可~
2.组合预测类:CNN/TCN/BiTCN/DBN/Adaboost结合SVM、RVM、ELM、LSTM、BiLSTM、GRU、BiGRU、Attention机制类等均可(可任意搭配非常新颖)~
3.分解类:EMD、EEMD、VMD、REMD、FEEMD、TVFEMD、CEEMDAN、ICEEMDAN、SVMD、FMD等分解模型均可~
4.其他:机器人路径规划、无人机三维路径规划、冷链物流路径优化、VRPTW路径优化、DBSCAN聚类、微电网优化、无线传感器覆盖优化、故障诊断等等均可~
5.原创改进优化算法(适合需要创新的小伙伴):原创改进2024年的BEO优化算法以及霜冰RIME、蜣螂DBO等任意优化算法均可,保证测试函数效果!
1154

被折叠的 条评论
为什么被折叠?



