【点赞+收藏后可私信领取,近5年微积分I-2的期中期末试卷及答案;也可以关注公众号:AiLoveShare100 回复关键词自行领取】
一、知识点总结
符号:∮是闭合曲线,∯是封闭曲面,∰是封闭体积积分。

φ λ ρ μ ξ ω θ π
椭圆的面积公式:π x a x b
记住当用极坐标表示时,不要忘了少乘那个r
一、积分区域代入被积函数的条件:
![]()
重积分(无论是二重/三重的)都【不能】把区域方程(严格说来应该叫"区域不等式")代入被积函数
曲线/曲面积分(无论是第一类/第二类)都【能】把曲线/曲面方程代入被积函数
使用高斯公式后,第二类曲面积分转换为三重积分——在转换之前【能】把曲面方程代入被积函数。转换之后,【不能】把积分区域方程代入被积函数。
使用格林公式后,平面内的第二类曲线积分化为二重积分。转换之前【能】把曲线方程代入被积函数。转换之后【不能】把区域方程(严格说来应该叫"区域不等式")代入被积函数
二、轮换对称性:
向大家推荐一个通俗易懂的二重积分轮换对称性讲解视频:


三、高斯公式(第二类曲面积分适用):
应用条件:空间曲面要封闭且连续。如果不封闭,需要做辅助面。如果不连续,需要挖洞。

下面是一道例题,直接利用高斯公式:

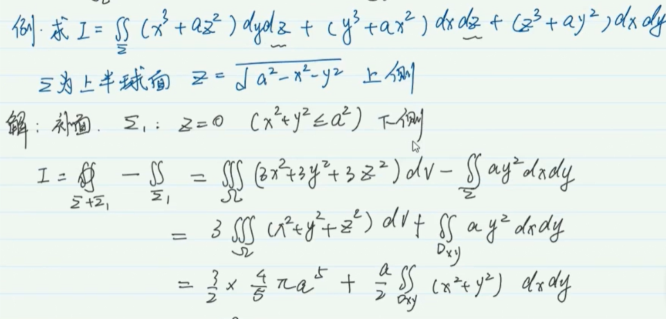
下面是另一道例题,因为曲面为球面上侧所以不是封闭的,所以要补面:
因为补的面z为0,所以将z为0代入原式,dz会被消去。
“一投(影)二代三定号(确定正负号)”

四、三重积分:
计算三重积分的时候切忌切忌把积分曲线或者曲面代入到被积函数中,这样子第一步直接零分!!

所谓的投影法,比如投影到xoy平面,就是先对z求积分,然后在再对投影面积Dxy求二重积分。(口诀:打光,投影,穿串)。

所谓的截面法(切片法),比如截的是平行于xoy的平面,就是先对所截的面积(Dz)求二重积分(一般要求这个面比较规则,能够计算出来),然后再对z求积分。

因此当被积函数f(x,y,z)与x与y无关时,此时z可以往前提,这样子计算出的就是截面的面积。
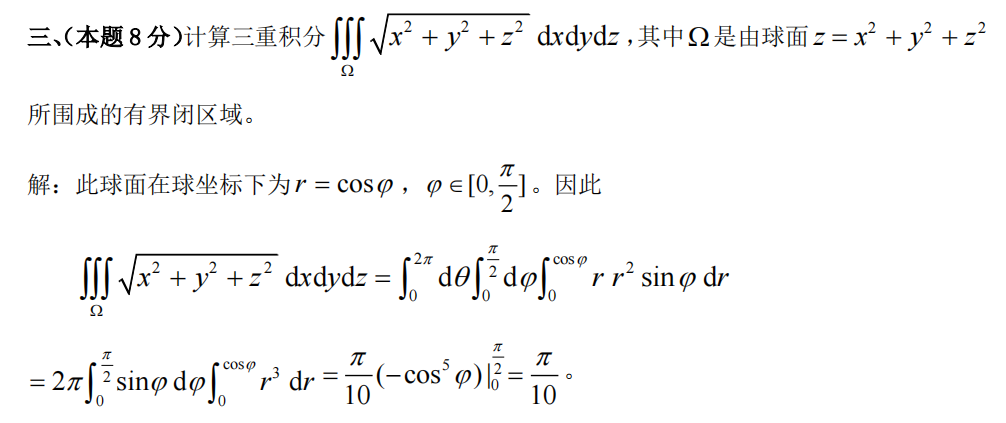
球面积分:下面是球面积分x,y,z的推导方法。

下面是球面积分积分微元的推导方法:

下面看一道典型的例题:

首先看到这道题千万不能把积分曲面代入到被积函数中!!
因为积分曲面是球面,所以我们想到用球面坐标公式(一定要注意球面坐标的圆心是在原点):

代入之后我们可以发现被积函数带根号,所以根号里的数会>=0,刚好这又是球面,所以z>=0,所以φ是从0到π/2。
然后千万要注意r的取值范围不能是确定的值,而是0<=r<=cosφ,这是为什么呢?因为在球面上有
等式左边可化成r·cosφ,等式右边可化成。因为被积区域是球的内部所以,消去有r<=cosφ。
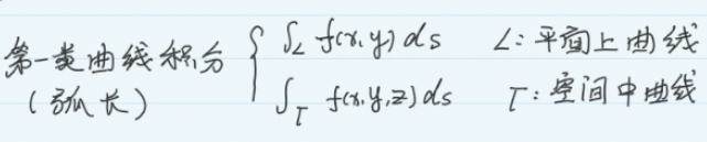
五、第一类曲线积分:
首先看能否利用积分曲线的对称性化简被积函数。
第二步要算:
这一步是有分的!
首先需要分清楚曲线是在平面还是在空间上:

方法一:先将曲线写成参数方程。再求出弧长微元。最后定好上下限求解。

看下面这个例题:首先根据L的式子写出关于t的参数方程,然后第2步写出弧长微元,最后定出上限和下限求出结果。
化为带cos和sin的参数方程,t的取值是0到2π

方法二:利用对称性进行化简。


六、第二类曲线积分:
以下是解题方法,主要考察的是平面曲线积分:


格林公式:
对P求y的偏导如果等于对Q求x的偏导,那么积分与路径无关可以选择其它路径表示已有的路径。
如果被积函数的分母含有式子,要注意判断在途经的点上,是否处处有定义(特别小心原点,可能会让分母为0无定义,此时需要选择另外的路径走)。
条件:1、必须是封闭、正向(沿着边线走,区域D始终在左手边)的曲线。2、P(x,y)和Q(x,y)必须具有一阶连续偏导数。
考试中条件往往不会同时具备。如果第1个条件不满足:补线。如果第2个条件不满足:挖洞。
首先一定要记牢格林公式,是 和
,而且是
千万不能记反了!!

如果已经出现这种形式: 就是代表了积分区域D的面积。
看下面例题:采用了补线的方法:
为什么第二项对L1的积分为0呢,首先L1线段的y=0,将y=0代入到曲线中,可以看到dy=0,y平方也=0,所以对0积分,结果为0。

可见在二类曲线积分中可以通过对称性,由部分区域的值乘上一定倍数,求出全部区域的值。

看下面的例子:采用了挖洞的方法



积分与路径无关如下图:
一般判定能否使用积分与路径无关,用的是判别方法第二:



七、第一类曲面积分:






八、二重积分对称性:
普通对称性:是关于x轴y轴原点对称。

如果积分区域D是关于X轴对称的,要看f(x,y)关于y的奇偶性。
轮换对称性:

九、幂级数求和:
第一步:求收敛域。一般是采用比值判别法。
若极限为0,说明收敛域为(,
)。
若极限为1,说明收敛域为(-1,1)。断点处是否收敛用极限求出。
第二步:将未知幂级数转化为已知幂级数,方式为:求积分或者求导。
第三步:求和函数s(x),简而言之就是把结果表示成s(x)的形式
注意是用后一项比前一项(后一项是分子)。

是将端点值代入,然后求极限看是收敛还是发散
十、幂级数展开:
务必牢记下面3个幂级数展开基本公式:

下图5个延伸公式可以通过上面3个基本公式简单推理得到:

幂级数展开很重要的一点是:要学会合并。首先可以通过换元将x的系数化为形式上的n,如果有一项偏小,可以将小的那项用具体值代入,然后分离出来。要尽量将两个函数的加法改为两个函数的乘法(加法统一为乘法),例如通分分母。

范围取的是交集


十一、多元函数的极值与最值:


把求出的解两两进行组合,在此基础之上求出二阶偏导数,然后再把可疑极值点的值代入,然后算的值。

下图就根据值进行计算,然后用判别公式进行判别,然后把该点的坐标代入函数即可算出极大或极小值。

极值是整体的概念,极值是局部的概念。极值不考虑边界,最值必须得先是极值。不需要额外判定最大最小,只需要把极值和边界的值求出来,进行比较即可判断谁是最大谁是最小。
必要条件就是一个东西的前提条件(成功的必要条件是努力学习,但努力学习不一定成功)
充分条件就是有这一条就够了
求极值:
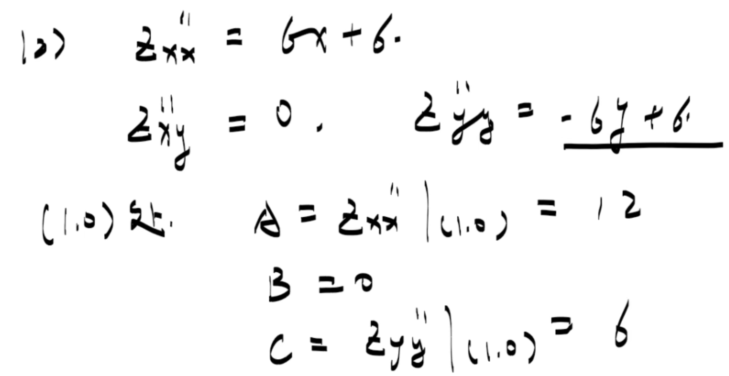
第1步:将x和y的一阶偏导求出,然后将xx,xy,yy的偏导数求出。
第2步:然后求解一阶偏导数,算出可疑点。
第3步:将可疑点的值代入二阶偏导数,算出若<0无极值;若>0有极值,当A<0是极大值,当A>0是极小值。判断出极大值或者极小值点后。
第4步:将可以点代入到原方程中,算出极大或者极小值。
求最值:
如果题目没给具体的变量范围,只给了一个闭区域,这个时候我们要用拉格朗日乘子法,将封闭区域乘上,然后对结果求关于x,y和
的偏导,然后算出x和y的值,注意可能有多组结果,然后代入到原式中,将所有结果之间比较大小,选择最大或者最小的就是极大值或者极小值。
对于比较简单的函数,可以直接代入到式子中,联立之后求导,直接解出边界上的点的值,然后在分别比较。


十二、方向导数与梯度:
梯度:就是对函数分别求关于x,y,z的导数,然后将将该点处的值代入。
向量的方向余弦就是分母根号下x,y,z的平方和,分别比去分子x,y,z。
方向导数:相当于把方向梯度乘以方向余弦。


十三、其它(技巧):

这道题的解题方法就是比较(x+y)/4与1的大小,如果小于1,那么加个根号的值会大于不加根号的值。

十四、幂级数的敛散性:
1、比较审敛法:后一项除以前一项,求极限,看值和1的大小,大于1发散,小于1收敛。
2、放缩简化:遇到三角函数,可以利用小于1的性质,进行简化。
3、对于交错级数用莱布尼兹判别法:满足单调递减,且趋于无穷项的值为0。其中单调递减可以用求导小于0得出(注意可以是从任意一项往后开始,只要求导<0即可),当对函数求对数函数时,可以用洛必达法则化简,求出趋于某无穷小,则是收敛。
4、等价无穷小:主要用于极限判别法,乘以一个然后求极限,如果算出趋于一个具体的值,那么就是收敛。
幂级数在端点处是条件收敛,所以只要通过换元求出x的值,即可确定收敛半径的值。
二、典型题目分析:
纵观多年期末考试,必定会有三重积分,第一、二类曲线积分,第一、二类曲面积分的题各一道,因此只要掌握了这五大题型便得到了一半的分数。
接下来我将详细从历年的考题上截取答案,同时附上我个人的答案,总结方法,希望同学们能将题目自己先做一遍,再看答案,仔细推敲,做完这几题便能对基本的方法有所掌握。
题型一:三重积分

截面法的思路相当于是将平行于xoy面的面积先算出来,然后求在z上的积分。可以想象是平行于xoy面的一张张饼叠加起来,形成的就是空间立体的体积。而截面法就是先把一张张饼的面积先算出来,然后计算累加到一定高度的值。前提要求是饼的面积要好算,如:规则的三角形,矩形或者圆形都适用截面法。

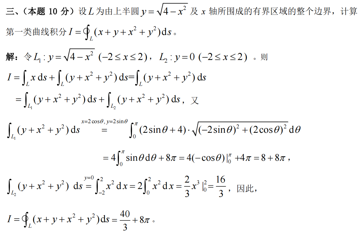
题型二:第一类曲线积分


题型三:第二类曲线积分

题型四:第一类曲面积分


题型五:第二类曲面积分

4456

被折叠的 条评论
为什么被折叠?



