|
转自GoogleSite算法导论习题解答,先fork一下
算法导论其实已经给出了具体的证明步骤,但是还是有些省略,此文章是对主定理进行了完全的证明;
主定理的证明大致分为两个阶段:
(1)假设n为b的整数次幂,如1,b,b^2,b^3....
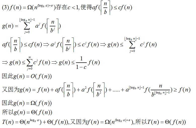
(2)不限定n的范围,n可以为任意整数;
首先我们先证明第一阶段,即n=b^i;
一、第一阶段
我们先画出递归树:
根据画出的递归树我们能够计算出T(n):
|
主定理证明
最新推荐文章于 2020-03-17 21:46:48 发布












1621

被折叠的 条评论
为什么被折叠?



