前言
Uniswap 是 DeFi 领域的头部去中心化交易所,其在今年 5 月上线了 V3 版本协议。V3 版本与之前 V2 版本相比存在诸多差异,如集中流动性、多个费用等级、新的预言机等等。
在这些多样的特点背后,究竟藏着怎样的数学奥秘,同时是否真的能为用户带来更大的收益,减少无常损失?
知道创宇区块链安全实验室 将带你从数学原理角度在 Uniswap V3 集中流动性方面进行剖析。
何谓集中流动性
在 Uniswap V3 中, 流动性提供者可以将其提供的流动性 “限制” 在任意的价格区间内来集中其流动性。
为了解释这一概念,首先我们关联到 Uniswap V2 的自动做市商曲线。在该曲线中,用户的流动性被均匀的分布在整个 (0,正无穷大) 之中。

在 V2 版本中,由于许多池子的价格变动没有那么的频繁,比如 UDST/DAI 池子中。由于其价值均锚定美元,发生的交易将会聚集在上图中的 A 点附近(即x≈y), 这就意味着流动性池中的大部分资产是永远不会被触及到的。
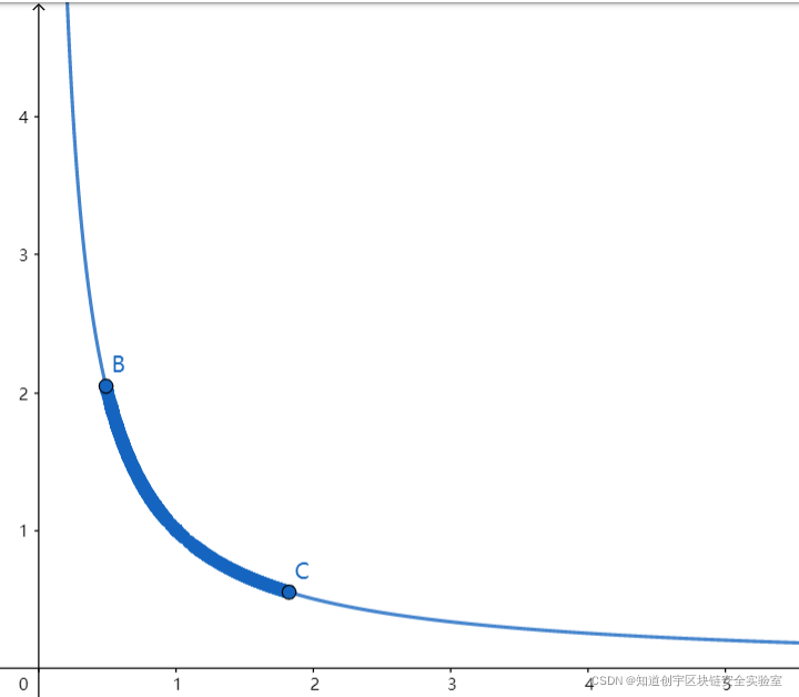
因此在 V3 中,用户可以将其流动性聚集在某一个线段。如下图 B 到 C 点:

这样,由于大量用户的流动性被集中,对于 B 点到 C 点的线段的流动性将会变得非常 “厚”,这样的池子将使得来交易的人交易滑点得以显著减小,并有效提高资本效率。
如何将流动性集中
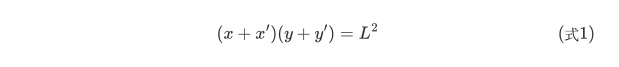
在具体实现的过程中,V3 依靠了资产的杠杆。将一部分用户资产虚拟出来,导致了坐标轴图像的平移,虚拟资产假设对应 x’ 和 y’。
在原始的 Uniswap V2 中,曲线公式为:x*y=k
Uniswap V3 通过引入 x’ 和 y’ 资产升级了该公式。此处x’我们将其称为 x 资产的虚拟储备,y’ 称为 y 资产的虚拟储备,于是引入了如下式子:

由于为资产添加了杠杆(虚拟资产),使下图中原本在下面的曲线,能够平移到上面储备量更大的曲线中去,这也意味着在有限的的价格范围 [xb, xc] 内,一组较小的储备 x、y 能够充当更大的储备 x+x’、y+y’。
同时,上方为虚拟资产被添加后的虚拟 AMM 曲线。在实际交易曲线中(限于 BC 点),下方才是流动性提供者资产的真实变化曲线。
于是,在 B 点或 C 点时,处于强势的资产将被损耗

本文深入探讨了Uniswap V3的集中流动性机制,通过数学原理阐述如何在限定价格区间内集中流动性,提高了资本效率。然而,这种集中流动性也可能加剧无常损失,对流动性提供者提出更高风险管理要求。文章还对比了Uniswap V2与V3在添加流动性、Swap操作上的区别,并分析了无常损失的影响。
最低0.47元/天 解锁文章
1820

被折叠的 条评论
为什么被折叠?



