题目
给你一个链表的头节点 head 和一个整数 val ,请你删除链表中所有满足 Node.val == val 的节点,并返回 新的头节点 。
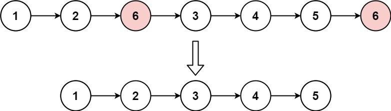
示例 1:

输入:head = [1,2,6,3,4,5,6], val = 6 输出:[1,2,3,4,5]
示例 2:
输入:head = [], val = 1 输出:[]
示例 3:
输入:head = [7,7,7,7], val = 7 输出:[]
提示:
- 列表中的节点数目在范围
[0, 104]内 1 <= Node.val <= 500 <= val <= 50
解法
这类题目我们首先想到的可能是:
通过遍历来找到目标结点val,删除所有元素数字为val的结点,并且返回新的头结点
那么我们的做法就是定义一个指针pcur来寻找,定义另一个指针prev来指向前一个结点(链表的原理)
但是,执行删除操作修改指针的指向略显复杂,我们可以直接定义一个新链表,遍历不为val的结点,直接尾插在新链表中。
/**
* Definition for singly-linked list.
* struct ListNode {
* int val;
* struct ListNode *next;
* };
*/
typedef struct ListNode ListNode;
struct ListNode* removeElements(struct ListNode* head, int val) {
ListNode *newHead, *NewTail; // 定义指针
newHead = NewTail == NULL;
ListNode* pcur = head;
// 循环遍历
while (pcur) {
if (pcur->val != val) {
// 链表为空
if (newHead == NULL) {
newHead = NewTail = pcur;
}
// 链表不为空
else {
NewTail->next = pcur;
NewTail = NewTail->next; // 让尾结点走到新的尾
}
}
pcur = pcur->next;
}
if (NewTail) {
NewTail->next = NULL;
}
return newHead;
}
310

被折叠的 条评论
为什么被折叠?



