从傅里叶变换(傅里叶变换原理)到小波变换,并不是一个完全抽象的东西,可以讲得很形象。
小波变换有着明确的物理意义,下面我就按照傅里叶–>短时傅里叶变换–>小波变换的顺序,讲一下小波变换
一、傅里叶变换
默认大家现在正处在理解了傅里叶变换,但还没理解小波的道路上。
下面我们主要讲傅里叶变换的不足。即我们知道傅里叶变换可以分析信号的频谱,那么为什么还要提出小波变换?
答案就是,“对非平稳过程,傅里叶变换有局限性”。看如下一个简单的信号:

做完FFT(快速傅里叶变换)后,可以在频谱上看到清晰的四条线,信号包含四个频率成分。
一切没有问题。但是,如果是频率随着时间变化的非平稳信号呢?

如上图,
最上边的是频率始终不变的平稳信号。
而下边两个则是频率随着时间改变的非平稳信号,它们同样包含和最上信号相同频率的四个成分。
做FFT后,我们发现这三个时域上有巨大差异的信号,频谱(幅值谱)却非常一致。
尤其是下边两个非平稳信号,我们从频谱上无法区分它们,因为它们包含的四个频率的信号的成分确实是一样的,只是出现的先后顺序不同。
可见,傅里叶变换处理非平稳信号有天生缺陷。它只能获取一段信号总体上包含哪些频率的成分,但是对各成分出现的时刻并无所知。因此时域相差很大的两个信号,可能频谱图一样。
然而平稳信号大多是人为制造出来的,自然界的大量信号几乎都是非平稳的,所以在比如生物医学信号分析等领域的论文中,基本看不到单纯傅里叶变换这样 naive 的方法。

一个正常人的事件相关电位M
.
对于这样的非平稳信号,只知道包含哪些频率成分是不够的,我们还想知道各个成分出现的时间。
知道信号频率随时间变化的情况,各个时刻的瞬时频率及其幅值——这也就是时频分析。
二、短时傅里叶变换(Short-time Fourier Transform, STFT)
为了弥补 FT 的不足,把整个时间域分解成无数个等长的小过程(加窗),每个过程近似平稳,再傅里叶变换,就知道在哪个时间点上出现了什么频率。
一个简单可行的方法就是——加窗。
“把整个时域过程分解成无数个等长的小过程,每个小过程近似平稳,再傅里叶变换,就知道在哪个时间点上出现了什么频率了。”
这就是短时傅里叶变换。
看图:
时域上分成一段一段做FFT,不就知道频率成分随着时间的变化情况了吗!
用这样的方法,可以得到一个信号的时频图了:
——此图像来源于“THE WAVELET TUTORIAL”
图上既能看到10Hz, 25 Hz, 50 Hz, 100 Hz四个频域成分,还能看到出现的时间。(两排峰是对称的,所以大家只用看一排就行了。)
是不是棒棒的?时频分析结果到手。但是STFT依然有缺陷。
使用 STFT 存在一个问题,我们应该用多宽的窗函数?
窗太宽太窄都有问题:


如上图所示:
窗太窄,窗内的信号太短,会导致频率分析不够精准,频率分辨率差。
窗太宽,时域上又不够精细,时间分辨率低。
为了弥补FT的不足,把整个时间域分解成无数个等长的小过程(加窗),每个过程近似平稳,再傅里叶变换,就知道在哪个时间点上出现了什么频率。
但此时仍然有问题,那就是窗的宽度。窄窗口时间分辨率高、频率分辨率低;宽窗口时间分辨率低、频率分辨率高(如下图)。所以,对于时变非稳态信号,高频部分适合用小窗(短周期),低频部分适合用大窗(长周期)。然而,在一次 STFT 中,窗口的宽度是固定。所以 STFT 也有其局限性,这就引出了我们的小波变换。
下图左(Narrow Window)中,时间分辨率高,可以理解成:
图中Time轴上,每块波对应一个时间窗口,每两个不同频率块(波)在时间上没有交叉,时间上都是连续且不重叠的。
在 Frequency轴方向上,每个频率分辨率低,即不能看出具体频率是多少,沿Frequency投影的话,会得到一个开口向下的抛物线。
下图右(Wide Window)中,
频率分辨率高,可以理解为从频率Frequency轴投影,每个频率都是没有交叉的,都是一条直线,
而从Time轴看的话,时间上都是交叉的,所以时间分辨率低,宽窗口会导致丢失一些小的事件。

看看实例效果吧:



a 取不同的值,代表了不同的窗口宽度,值越小代表窗口越宽。
上图对同一个信号(4个频率成分)采用不同宽度的窗做STFT,结果如右图。用窄窗,时频图在时间轴上分辨率很高,几个峰基本成矩形,而用宽窗则变成了绵延的矮山。但是频率轴上,窄窗明显不如下边两个宽窗精确。
所以窄窗口时间分辨率高、频率分辨率低,宽窗口时间分辨率低、频率分辨率高。对于时变的非稳态信号,高频适合小窗口,低频适合大窗口。然而STFT的窗口是固定的,在一次STFT中宽度不会变化,所以STFT还是无法满足非稳态信号变化的频率的需求。
但此时仍然有问题,那就是窗的宽度。窄窗口时间分辨率高、频率分辨率低;宽窗口时间分辨率低、频率分辨率高(如下图)。所以,对于时变非稳态信号,高频部分适合用小窗,低频部分适合用大窗。然而,在一次STFT中,窗口的宽度是固定。所以STFT也有其局限性,这就引出了我们的小波变换。
三、小波变换
那么你可能会想到,让窗口大小变起来,多做几次 STFT(短时傅里叶变) 不就可以了吗?!没错,小波变换就有着这样的思路。
但事实上小波并不是这么做的
(关于这一点,认为 “小波变换就是根据算法,加不等长的窗,对每一小部分进行傅里叶变换”,就不准确了。
小波变换并没有采用窗的思想,更没有做傅里叶变换。)
至于为什么不采用可变窗的 STFT (短时傅里叶变) 呢,我认为是因为这样做冗余会太严重,STFT 做不到正交化,这也是它的一大缺陷。
于是小波变换的出发点和STFT还是不同的。
STFT是给信号加窗,分段做FFT;
而小波直接把傅里叶变换的基给换了——将无限长的三角函数基换成了有限长的会衰减的小波基。
这样不仅能够获取频率,还可以定位到时间了~
【解释】
来我们再回顾一下傅里叶变换吧,没弄清傅里叶变换为什么能得到信号各个频率成分的同学也可以再借我的图理解一下。
傅里叶变换把无限长的三角函数作为基函数:

这个基函数会伸缩、会平移(其实本质并非平移,而是两个正交基的分解)。
缩得窄,对应高频;伸得宽,对应低频。然后这个基函数不断和信号做相乘。
某一个尺度(宽窄)下乘出来的结果,就可以理解成信号所包含的当前尺度对应频率成分有多少。
于是,基函数会在某些尺度(宽窄)下,与信号相乘得到一个很大的值,因为此时二者有一种重合关系。那么我们就知道信号包含该频率的成分的多少。
仔细体会可以发现,这一步其实是在计算信号和三角函数的相关性。


看,这两种尺度能乘出一个大的值(相关度高),所以信号包含较多的这两个频率成分,在频谱上这两个频率会出现两个峰。
以上,就是粗浅意义上傅里叶变换的原理。
如前边所说,小波做的改变就在于,将无限长的三角函数基换成了有限长的会衰减的小波基。

这就是为什么它叫“小波”,因为是很小的一个波嘛~

从公式可以看出,不同于傅里叶变换,变量只有频率 ω,小波变换有两个变量:尺度 a(scale)和平移量 τ(translation)。尺度 a 控制小波函数的伸缩,平移量 τ 控制小波函数的平移。尺度就对应于频率(反比),平移量 τ 就对应于时间。

当伸缩、平移到这么一种重合情况时,也会相乘得到一个大的值。这时候和傅里叶变换不同的是,这不仅可以知道信号有这样频率的成分,而且知道它在时域上存在的具体位置。
而当我们在每个尺度下都平移着和信号乘过一遍后,我们就知道信号在每个位置都包含哪些频率成分。
看到了吗?有了小波,我们从此再也不害怕非稳定信号啦!从此可以做时频分析啦!
做傅里叶变换只能得到一个频谱,做小波变换却可以得到一个时频谱!

↑:时域信号

↑:傅里叶变换结果

——此图像来源于“THE WAVELET TUTORIAL”
↑:小波变换结果
小波还有一些好处,比如,我们知道对于突变信号,傅里叶变换存在吉布斯效应,我们用无限长的三角函数怎么也拟合不好突变信号:

然而衰减的小波就不一样了:

但是真正理解透小波变换,这些还差得很远。
比如你至少还要知道有一个“尺度函数”的存在,它是构造“小波函数”的关键,并且是它和小波函数一起才构成了小波多分辨率分析,理解了它才有可能利用小波做一些数字信号处理;你还要理解离散小波变换、正交小波变换、二维小波变换、小波包……这些内容国内教材上讲得也很糟糕,大家就一点一点啃吧~
四、小波变换的详解
4.1 小波变换的基
小波变换干脆直接把傅里叶变换的基给换了,将无限长的三角函数基换成了有限长的会衰减的小波基,它的能量有限,都集中在某一点附近,而且积分的值为零。
傅里叶变换,变量只有 ,而小波变换则有尺度 a 和平移量 b ,尺度对应于频率,平移量对应于时间,所以小波变换可以用于时频分析,得到信号的时频谱。
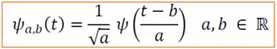
下面是小波函数的一般形式。
![]()

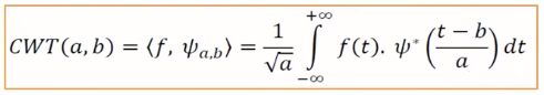
4.2 CWT(连续小波变换)
变换公式如下,通过参数 a 定位频率,通过参数 b 定位时间。

变换后可以得到如下的标度图,两个坐标轴分别为 time 和 Scales(即 b 和 a )Lower Scales 对应高频成分,High Scales 对应低频成分。

4.2.1 小波变换的步骤
(1)把小波 和原函数
的开始部分进行比较(实际上就是作內积),计算系数 C 。系数 C 表示该部分函数与小波的相似程度。
(2)把小波向右移 k 单位,得到小波 ,重复 1。重复该步骤直至函数
结束.
(3)扩展小波 ,得到小波
,重复步骤 1, 2.
(4)不断扩展小波,重复1, 2, 3

首行实际上是在 scale1 上所有的系数,它们是C11-C1n,
在这里,所有的系数在 scale2 上排列,它们是C21-C2n,
在这里,所有的系数在 scale3 上排列,它们是C31-C3n,
那么,在 scale1 上的系数实际上是如何计算的?
你看上图左侧 Wavelet at scale1 ,我们选择这样一个小波,它被压缩了,所以,有一个高频,在此情况中,这个小波会捕获信号中所有可用的高频分量,所以,我们使用 a 压缩这个小波,使用 b沿着时间轴平移小波,然后与这个信号相乘,然后积分。

Wavelet at scale1
那么,我们在这里得到所有的系数进行排列,如上图所示。
对于 scale2 ,我们选择下图这样一个小波,它比 scale1 有点拉伸,所以,它的频率会降低,它会捕获低频细节。然后它再次沿着时间轴滑动并和信号相乘并积分。那么,我们得到了所有这些分量。

Wavelet at scale2
在 scale3 上,它会进一步拉伸,并沿着时间轴滑动,逐步得到 scale3 的所有系数,这就是小波系数的排列方式

Wavelet at scale3
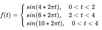
举例介绍:
首先说明这里是连续小波变换,不会涉及离散小波变换,不涉及尺度函数。
对于一个 morlet 小波变换,其频率成分分别是 4、6、10,具体表达式如下:

经小波变换,得到如下时频图:

图1、二维时频图
·
图2、三维时频图
其实,图1是图2的俯视图(向下投影)
从图中可以清晰辨认出,原始信号含有的频率成分及其各自对应的时间区间。
如果你和我一样认真的话,你会产生三个疑问?
(1)为什么小波变换能确定信号频率和其对应的时间区间?
(2)为什么频率小的条纹比频率高的条纹要细?
(3)为什么三个条纹颜色的深浅不一样 ?
其实第(1)个问题可以从前面的内容中总结出来。
第一个问题我们把它一分为二,为什么 CWT 能辨认出信号的频率成分?为什么 CWT 能确定频率对应的时间区间?
当然先看下公式。来一个 morlet 小波基函数表达式

morlet 小波的基函数是由复三角函数乘上一个指数衰减函数构成,这里 表示中心频率。还是先看图(分别令
)

图三
上图左边是基函数时域图像,右边是傅里叶变换图像。可以看到基函数的频率正是其中心频率的值。这里给出morlet小波的傅里叶变换表达式

从表达式也可以看出当频率等于其中心频率 时,取极大值。
这里复三角函数可以辨认频率,衰减函数可以保证其时域的有限支撑。
只给一个固定的中心频率可不能辨认信号的频率,同样,基函数只在【-2,2】之间也确定不了时间区间。
所以这里的小波基函数需要平移和伸缩 。又是一个公式(按传统,这个变大时前还有一个根号 a,但我不讨论这个)
原文链接:https://blog.csdn.net/weixin_46713695/article/details/127049520
3万+

被折叠的 条评论
为什么被折叠?



