正则化以及L1和L2的形式
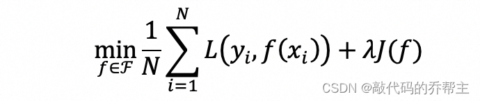
模型选择的典型方法是正则化(regularization)。正则化是结构风险最小化策略的实现,是在经验风险上加一个正则化项(regularizer)或罚项(penalty term)。正则化项一般是模型复杂度的单调递增函数,模型越复杂,正则化值就越大。比如,正则化项可以是模型参数向量的范数。
正则化一般具有如下形式:

其中,第1项是经验风险,第2项是正则化项,入≥ 0为调整两者之间关系的系数。
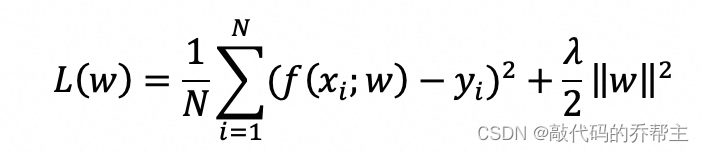
正则化项可以取不同的形式。例如,回归问题中,损失函数是平方损失,正则化项可以是参数向量的L2范数:

这里,
表示参数向量w的L2范数。
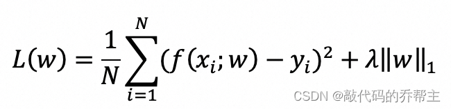
正则化项也可以是参数向量的L1范数:

这里,
表示参数向量w的L

正则化是通过在经验风险上添加正则化项来选择模型的方法,其中L1正则化(Lasso回归)产生稀疏解,适合特征选择,而L2正则化(岭回归)分散权重,不产生稀疏解,适用于防止过拟合。L1和L2结合的Elastic Net正则化综合了两者的优点。
最低0.47元/天 解锁文章
302

被折叠的 条评论
为什么被折叠?



