


灵活分析题目,化简,将极限非零项先写出

用洛必达做大题时,要注意使用的条件
若函数f(x)n阶可导,使用洛必达只能用到n-1阶导数
若函数f(x)n阶连续可导,使用洛必达可用到n阶导数
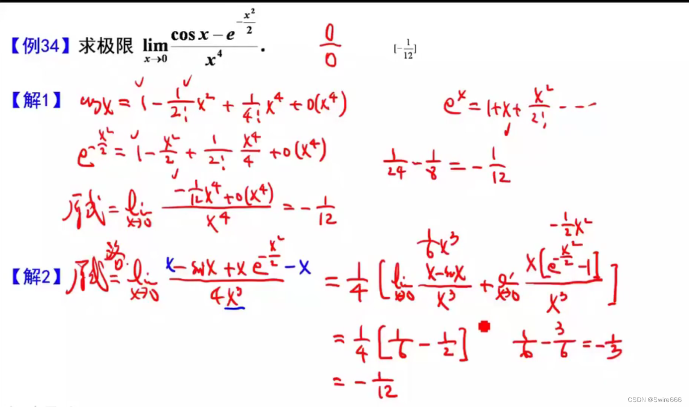
研究函数局部形态 使用泰勒公式的皮亚诺余项
研究函数整体形态,使用泰勒公式的拉格朗日余项






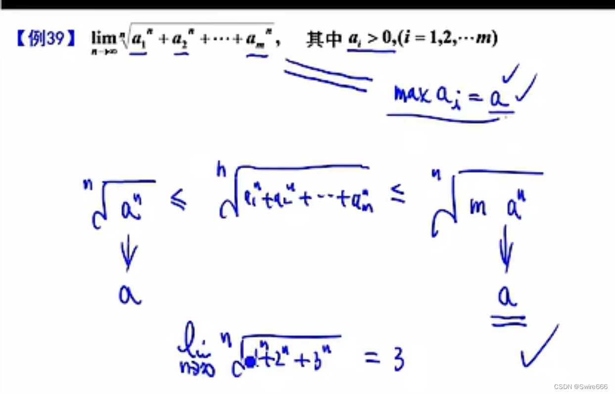
二级结论:m个正数的n次方和,开方取极限,等于m个底数中最大的那一个
夹逼定理:一般先写出容易的那边极限值,根据这个极限值去找另外一边的极限,要保证两边极限相同

利用上面的结论解此题就很容易
当题目中的1改为其他任何数字时,往外提的方法行不通,可以把这个数拆成n个1相加转化为上述题目(思维要求高)

这种题型的解题思路:
1、证明存在性(单调有界),一般是先证有界,找出界限,再证单调性
2、等式两边同时取极限

重要的点:提出一个1/n(可爱因子)
文章探讨了在解决极限问题时使用洛必达法则的注意事项,强调了阶数限制,并指出泰勒公式在研究函数局部和整体形态时的作用。此外,提到夹逼定理在求解极限中的应用,以及处理特定题型的解题步骤,包括证明存在性和利用‘可爱因子’1/n。
5431

被折叠的 条评论
为什么被折叠?



