自定义博客皮肤VIP专享

*博客头图:

格式为PNG、JPG,宽度*高度大于1920*100像素,不超过2MB,主视觉建议放在右侧,请参照线上博客头图

请上传大于1920*100像素的图片!

博客底图:

图片格式为PNG、JPG,不超过1MB,可上下左右平铺至整个背景

栏目图:

图片格式为PNG、JPG,图片宽度*高度为300*38像素,不超过0.5MB

主标题颜色:

RGB颜色,例如:#AFAFAF

Hover:

RGB颜色,例如:#AFAFAF

副标题颜色:

RGB颜色,例如:#AFAFAF

自定义博客皮肤

-+
  • 博客(32)
  • 收藏
  • 关注

原创 IMAnalyzerV2.0|一键分析和扫描耦合序阻抗模型

耦合序阻抗分析及扫频软件2.0,matlab/appdesigner

2026-01-09 21:53:08 709

原创 三相新能源并网系统序阻抗模型——序阻抗分析器IMAnalyzer

基于matlab/app designer开发的序阻抗分析和扫描软件

2025-07-14 21:35:37 890

原创 Simulink如何让封装界面参数作用于内部子系统

本文介绍了四种在Simulink中传递封装参数的方法:1)Mask封装工作区;2)Simulink模型工作区;3)MATLAB基础工作区;4)数据字典。

2026-01-17 14:21:59 895

原创 三相变流器矢量控制及参数设计系列(2):PWM原理

这是关于矢量控制的系列文章,本文主要介绍矢量控制策略中脉冲宽度调制(PWM)的相关内容。

2025-10-16 20:16:58 1404

原创 OneNote手机版无法同步

最近很长一段时间手机版OneNote一直无法同步笔记,用的是Android OneNote v16.0.15629.20118 版本。网上一搜没想到一大堆小伙伴出现了同样的问题。这里提供一个Android OneNote16.0.18925.20004版本的安装包,亲测有效,,见资源。快速的解决方案是更新一下软件,可万万没想到问题出现几个月了,小米应用商城里面尽然还是这个不能用的版本。

2025-10-11 00:04:25 666

原创 三相变流器矢量控制及参数设计系列(1):引言

简单介绍了矢量控制技术的关键点以及与其适配的PI控制器的设计原则

2025-09-27 19:34:29 1255

原创 Simulink子系统、变体子系统及封装知识

通过一个案例,介绍simulink子系统、变体子系统、封装的相关操作

2025-09-06 20:18:31 1594 5

原创 LCL滤波器及其电容电流前馈有源阻尼设计软件【LCL&AD_designer】

本文介绍了一款基于MATLAB R2022b/appdesigner开发的交互式软件【LCL&AD_designer】,用于辅助设计LCL型并网逆变器的滤波器参数及电容电流反馈有源阻尼系统。

2025-08-03 22:41:57 652

原创 三相新能源并网系统序阻抗模型(2)补充

本文对序阻抗模型系列文章中的数学约定做了一些补充说明。

2025-07-18 15:36:36 877

原创 三相新能源并网系统序阻抗模型(5)

本文介绍了新能源并网系统中序阻抗扫描的理论与方法。首先区分了耦合序阻抗模型与等效序阻抗模型的概念,指出等效阻抗考虑了系统互联时的相互影响。接着详细阐述了等效序阻抗的仿真扫频步骤,包括扰动注入方式选择、信号测量与频谱分析等关键技术要点。文章还提供了基于MATLAB/Simulink的阻抗扫描实现代码,并预告了一款正在开发的序阻抗分析交互软件IMAnalyzer。

2025-07-02 20:42:54 1460

原创 三相新能源并网系统序阻抗模型(4)

介绍序阻抗建模过程中的一些注意点

2025-05-13 15:00:41 1442

原创 如何从视觉上呈现figure图窗中所有子对象的层级关系?

从视觉上将图窗中所有图形子对象的层级关系呈现出来

2025-04-30 21:07:29 368

原创 三相新能源并网系统序阻抗模型(3)

通过本文你可以理解序阻抗建模过程中传函的s【为什么老是变来变去?】以及【如何去变?】两个问题

2025-04-26 21:53:57 1075

原创 三相新能源并网系统序阻抗模型(2)

本章主要介绍序阻抗建模的数学基础,以Park变化为例介绍了重点介绍了频域卷积运算

2025-04-12 21:18:25 1436

原创 三相新能源并网系统序阻抗模型(1)

序阻抗模型基础知识

2025-04-08 16:47:57 1302

原创 如何让matlab图例文字纵向显示?

图例文本纵向显示

2025-04-07 16:09:34 767

原创 解决“matlab实时脚本和工具箱app中的图窗全部无法加载”问题

matlab无法正常显示图窗实时脚本和工具箱app中的所有图窗

2025-04-02 00:21:05 597

原创 三相新能源并网系统序阻抗模型——扫描注意事项

序阻抗扫描精度问题

2025-03-29 15:17:02 1098

原创 如何绘制三相时域信号带相序信息的频谱图?

绘制三相信号的频谱图,能反应相序信息

2025-02-15 13:45:43 582

原创 一种自制软件许可证(密钥)设计方法

为用matlab/appdesigner自制的软件设置许可证

2025-01-13 18:06:05 908

原创 如何用matlab实现“截屏取色”功能

截图取色

2024-11-16 10:49:22 605

原创 如何用matlab实现“截屏取色”功能(进阶版)

截屏取色

2024-11-16 10:38:02 596

原创 matlab如何自动检测标签中的中文和其它字符,并分别设置字体

你好Hello123哦豁 → 你好Hello123哦豁关键点在于 在字符标签前加、

2023-09-15 16:00:32 1375 2

原创 matlab如何分割中文与其它字符

matlab 截断中文与其它字符

2023-09-15 14:51:55 872

原创 如何利用matlab自带的函数及工具箱对信号进行频谱分析

频谱分析

2023-08-28 15:34:40 13563 2

原创 根轨迹绘图:传函分子分母的系数带复数

传函系数带复数时的根轨迹绘制

2023-04-02 16:14:14 1856 1

原创 app designer (matlab) 如何调用快捷键

MATLAB App Designer中用快捷键调用函数实现功能

2023-03-29 13:52:57 1200

原创 Matlab把bode函数的相频图相位转换成-180到180之间及频率单位以Hz显示的方法

Matlab把bode函数的相频图相位转换成-180到180之间的方法

2023-02-26 22:36:45 6804

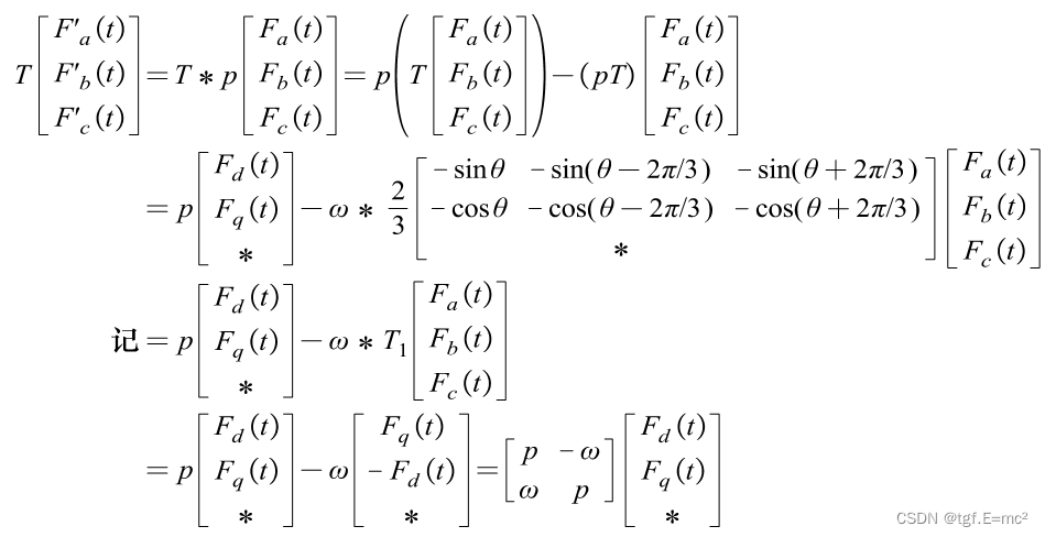
原创 微分/积分Park变换的矩阵等价形式

微分算子Park变换矩阵形式,考虑一级微分和二阶微分

2023-02-23 09:30:23 1521 1

原创 台式机鼠标键盘不定期失灵的一种情况

台式机供电电压不足,可能会引起键盘鼠标失灵

2022-12-07 09:55:03 933

原创 台式机如何通过无线网卡释放热点?

台式机通过无线网卡释放WIFI

2022-11-28 19:09:53 1923 1

原创 Matlab Simulink 加速模式下生成MEX文件出错

simulink加速模式下出现MEX文件创建错误的问题

2022-07-14 16:45:56 7359 3

Android onenote-16.0.18925.20004

Android onenote-16.0.18925.20004,解决onenote安卓版无法同步的问题

2025-10-10

三相时域信号的时序频谱图

绘制三相时域信号带相序信息的频谱图

2025-02-15

空空如也

TA创建的收藏夹 TA关注的收藏夹

TA关注的人

提示
确定要删除当前文章?
取消 删除