(附源码)基于spring boot的在线学习管理系统的设计与实现-计算机毕设 62936

基于spring boot的在线学习管理系统的设计与实现

摘  要

随随着信息技术的快速发展,在线学习成为教育领域的重要趋势。传统的教育方式往往受到时间和空间的限制,而在线学习由于其灵活性和可及性,越来越受到学生和教育机构的青睐。因此,设计和实现一个功能完善的在线学习管理系统显得尤为重要。本文旨在构建一款基于Spring Boot框架的在线学习管理系统,以满足学员、教师和管理员等多种用户的需求。本研究采用了面向对象的设计方法,充分利用Spring Boot框架的开发优势,为用户提供友好的界面和高效的操作体验,结合MySQL数据库和缓存技术,以保证系统的高性能和稳定性。通过系统地分析用户需求,确定系统应具备的主要功能模块,实现包括注册登录、考试测评、公告信息、新闻资讯、课程信息、学习小组、学习记录等功能,经过严格的系统测试和优化,最终构建出一个稳定可靠且高效便捷的在线学习管理平台,能够很好满足各类用户的需求,有效支持学员的个性化学习和教师的教学管理,提升学习效率和教学质量,为在线教育的发展提供有力支持。

关键词:在线学习管理系统;Spring Boot框架;Java语言;在线考试测评;教育信息化

Abstract

With the rapid development of information technology, online learning has become an important trend in the field of education. Traditional education methods are often limited by time and space, while online learning is increasingly favored by students and educational institutions due to its flexibility and accessibility. Therefore, designing and implementing a fully functional online learning management system is particularly important. This article aims to build an online learning management system based on the Spring Boot framework to meet the needs of various users such as students, teachers, and administrators. This study adopts an object-oriented design approach, fully utilizing the development advantages of the Spring Boot framework to provide users with a user-friendly interface and efficient operating experience. Combined with MySQL database and caching technology, it ensures the high performance and stability of the system. By systematically analyzing user needs and determining the main functional modules that the system should have, including registration and login, exam evaluation, announcement information, news and information, course information, study groups, study records, and other functions, a stable, reliable, efficient, and convenient online learning management platform is finally constructed through strict system testing and optimization. It can effectively meet the needs of various users, support personalized learning of students and teaching management of teachers, improve learning efficiency and teaching quality, and provide strong support for the development of online education.

Keywords: online learning management system; Spring Boot framework; Java language; Online exam evaluation; Educational informatization

目  录

1 前  言

1.1 研究背景

1.2 研究意义

1.3 国内外研究现状

1.3.1 国内研究现状

1.3.2 国外研究现状

1.4 论文结构与章节安排

2 关键技术

2.1 Java语言

2.2 MySQL数据库

2.3 Spring Boot框架

2.4 B/S模式

3 系统分析

3.1 可行性分析

3.1.1 技术可行性

3.1.2 经济可行性

3.1.3 操作可行性

3.1.4 运行可行性

3.2 功能需求分析

3.3 系统性能分析

3.4 系统流程分析

3.4.1 程序操作流程

3.4.2 登录流程

3.4.3 注册流程

4 系统设计

4.1 总体设计

4.1.1 系统架构设计

4.1.2 功能模块设计

4.2 数据库设计

4.2.1 数据库表E-R图

4.2.1 数据库表结构设计

5 系统实现

5.1 系统环境分析

5.2 系统前台功能模块

5.2.1 用户登录模块

5.2.2 用户注册模块

5.2.3 首页模块

5.2.4 考试测评模块

5.2.5 课程信息模块

5.2.6 个人中心模块

5.3 后台管理功能模块

5.3.1 后台首页模块

5.3.2 系统用户模块

5.3.3 课程信息管理模块

5.3.4 学习记录管理模块

5.3.5 考试测评模块

5.3.6 权限管理模块

6 系统测试

6.1 测试意义

6.2 测试用例

6.3 测试分析

7 结束语

参考文献

致  谢

 

1   

1.1研究背景

在全球范围内,在线学习已逐渐成为一种重要的学习方式。特别是在数字化时代,传统教育模式的时空局限性愈发明显,学生对个性化和灵活学习的需求日益增长。随着MOOC(大规模开放在线课程)和微课程等新型学习形式的兴起,传统的教学模式也在不断创新和发展。在线学习平台的出现是信息化时代下教育改革的重要体现,不仅可以提升学习体验,还能为教育工作者提供丰富的管理工具,促进教育资源的合理配置和有效使用。因此,为了适应这种变化,以提升教学效率、优化资源配置并改善学习体验,研究和开发一款有效高效的在线学习管理系统显得尤为必要。

随着互联网技术的发展,Spring Boot作为一种轻量级的开发框架,为系统的快速开发与部署提供了良好的基础,通过简化配置过程和提供丰富的生态支持,加快了在线学习管理系统的实现速度和效率。

1.2研究意义

基于Spring Boot设计并实现一款功能完善、操作简单且界面友好的在线学习管理系统,具有深远的实际意义和学术价值。该系统的开发,不仅可以为学生提供灵活便捷的学习方式,满足不同学习风格和节奏的需求,促进个性化学习的发展,还能够为教师提供高效的教学管理工具,通过系统高效地管理课程和考试等内容,及时了解学生的学习情况,从而优化教学策略。同时管理员可以借助系统将有效监控和管理整个学习平台,确保各项功能的顺利运作。系统还提供数据统计分析功能,帮助用户快速且直观地分析学习情况,为调整学习方案策略提供科学的数据支持。此外,随着在线教育市场的不断扩大,该系统的研究和实现也为教育信息化进程提供了有力的技术支持和参考,对推动教育公平和优质教育资源共享具有重要意义。

1.3国内外研究现状

1.3.1国内研究现状

在国内,在线学习管理系统的发展起步较晚,但近年来伴随信息技术的迅速发展,尤其是互联网的普及,在线学习逐渐成为教育的重要组成部分。许多高校和培训机构开始重视在线学习平台的建设与优化。教育部在近年来提出了多项政策,鼓励高等教育、职业教育及继续教育等领域的在线学习,类似于“教育信息化2.0行动计划”,促进了在线学习管理系统的推广。同时,国内研究人员逐步将AI、大数据等技术应用于在线学习管理系统。例如,华南理工大学的研究团队开发的基于数据挖掘的个性化学习推荐系统,通过分析学员的学习行为,能够提供个性化的学习内容,显著提升学习效率。此外,一些知名高校如清华大学、北京大学也已经推出了自己的在线学习平台,如清华大学的“清华学堂在线”,获取了良好的用户反馈;这些平台不仅提供课程学习、作业提交,还具备在线交流与反馈功能,促进了师生之间的互动。

1.3.2国外研究现状

国外的在线学习管理系统研究起步较早,尤其在欧美国家,许多教育机构和企业已经实现了在线教育的系统化,形成了较为完善的在线学习管理体系。国外在线学习平台如Coursera、edX等率先引领了在线教育的发展潮流,这些平台提供的大规模开放在线课程使得全球用户均可接入高质量的教育资源。研究表明,MOOC可以有效促进学习动机和知识吸收,像是哈佛大学和麻省理工学院合作创建的edX平台,采用开放式的学习理念,通过持续更新课程内容及引入社交学习功能,极大提升了用户的学习参与感和互动性。另外,国外研究者在智能教育方面进行了深入研究,许多人达成共识,使用AI技术可以大幅提升学习效果。例如,加州大学伯keley分校的研究表明,基于AI的自适应学习系统能为各类学生提供定制化的学习路径。

综合来看,国内在线学习管理系统的发展虽起步较晚,但随着政策支持与技术进步,逐渐形成了多样化的应用场景。而国外在这一领域的研究与实践相对成熟,不仅在技术创新上具备明显优势,而且在用户体验和教育模式的探索上也走在前列。未来,国内外在在线学习管理系统的互动与交流有望进一步增强,促进整个教育行业的持续发展。

1.4论文结构与章节安排

本文共分为七章,章节内容安排如下:

第一章:引言,主要介绍在线学习管理系统领域研究的背景和意义,概述研究的现状和系统特点。

第二章:关键技术,主要探讨和说明实现在线学习管理系统的关键技术。

第三章:系统分析,主要从在线学习管理系统的可行性、功能、性能等方面进行分析,为后续系统设计提供理论支持。

第四章:系统设计,主要对在线学习管理系统功能模块、数据库进行功能设计。

第五章:系统实现,主要介绍了在线学习管理系统各个用户的功能、系统界面的实现。

第六章:系统测试,主要对在线学习管理系统进行测试,验证功能完整性、稳定性和安全性,评估系统在实际运行中的性能表现。

第七章:结束语。总结全文研究内容,提出对在线学习管理系统领域未来发展的展望和建议,指出研究的不足和可优化之处,为相关领域的进一步探索提供参考。

2  关键技术

2.1Java语言

Java是一种跨平台的编程语言,广泛用于开发各种类型的应用程序,包括Web应用、移动应用和大型软件系统。在在线学习管理系统中,Java通常用于后端开发,提供强大的处理能力和稳定性。同时Java是一种面向对象的编程语言,支持封装、继承和多态等特性,使代码更易于维护和重用。还拥有丰富的标准库和第三方框架,如Spring、Hibernate等,可以大大提高开发效率。

2.2MySQL数据库

MySQL是一种流行的开源关系型数据库管理系统,用于存储和管理数据。在在线学习管理系统中,MySQL可以用于数据存储、数据查询和数据管理等方面,用户可以免费使用和修改源代码,为平台提供可靠和高性能的数据库支持。MySQL支持多种存储引擎,如InnoDB和MyISAM,可以根据不同的应用场景选择合适的存储引擎,以提高性能;提供了多种数据安全机制,如用户权限管理、数据加密和备份恢复等,确保数据的安全性。

2.3Spring Boot框架

Spring Boot是一个用于构建微服务的Java框架,简化了Spring应用程序的开发和部署过程。Spring Boot通过自动配置和约定优于配置的理念,简化了Spring应用程序的开发过程,使开发者可以更快地构建和部署应用程序;拥有丰富的生态系统,如Spring Cloud、Spring Security等,可以满足各种企业级应用的需求。在在线学习管理系统中,Spring Boot可以帮助开发团队快速搭建后端服务,并实现各种功能模块的集成和管理。

2.4B/S模式

B/S模式(Browser/Server模式)是一种网络应用架构,其中浏览器(Browser)作为客户端与服务器(Server)进行通信。这种模式使用户可以通过普通的Web浏览器访问应用程序,而无需安装额外的客户端软件。用户通过浏览器发送请求,服务器接收并处理这些请求,然后将结果返回给浏览器显示给用户。在在线学习管理系统中,Spring Boot结合B/S模式的优势包括跨平台的兼容性,用户可以在不同操作系统和设备上访问应用程序。此外,维护和部署也更为简便,并且能够实现较高的安全性,因为服务器端控制了应用程序和数据的访问权限。

3  系统分析

3.1可行性分析

3.1.1技术可行性

从技术角度来看,Spring Boot作为一种轻量级、快速构建的Java框架,能够提高开发效率,降低系统的复杂程度,易于维护和升级。同时,MySQL作为关系型数据库,能够支持平台数据的存储与管理,保障系统的稳定性和高效性。因此,本系统具有技术可行性。

3.1.2经济可行性

从经济角度来看,基于Spring Boot搭建在线学习管理系统的投入成本相对较低,因为Spring Boot本身是一个免费、开源的框架,可以节省开发成本。同时,使用MySQL作为数据库也具有成本效益高的优势。因此,本系统具有经济可行性。

3.1.3操作可行性

从操作角度来看,Spring Boot的简洁性和高度集成的特点使得系统的部署和运行相对简单,容易维护和管理的同时,能够提供一个界面直观友好和操作简单高效的系统,能满足用户的各项要求,方便用户快速上手使用。因此,本系统具有操作可行性。

3.1.4运行可行性

从运行角度来看,正因为本系统是在服务器的基础上开发的,系统开发成功以后,用户无需导航指导便可自己上手进行操作。系统一经开发测试后,在计算机移动客户端能上网的情况下,只需在浏览器里完成所有可用操作,也无需配置复杂的使用和运行环境,只需一个网址便可进入系统。因此,本系统具有运行可行性。

综合来看,基于Spring Boot的在线学习管理系统的设计与实现在经济、技术、操作、运行等方面都具有较高的可行性,能够为用户提供便捷的服务,提升效率。

3.2功能需求分析

本在线学习管理系统设计分为三个主要用户角色:学员用户、教师用户和管理员。以下是对每个角色的功能需求的详细描述。

学员用户角色用例如下图所示。

图3.1学员用户用例图

系统前台学员用户具体功能说明如下所示。

  1. 注册登录:提供注册和登录系统的功能,学员用户可以通过注册拥有系统账户,注册成功后可使用账号+密码登录系统前台。
  2. 首页:提供系统搜索功能和系统功能导航栏,展示平台的轮播图、最新动态、热门信息、推荐信息等内容。
  3. 考试测评:提供在线考试测评功能,支持关键字搜索,学员用户可浏览考试测评信息,支持答题操作,填写并提交答题信息后,可以查看分数和答案解析。
  4. 公告信息:提供系统相关的公告信息,保证学员用户及时了解平台动态。
  5. 新闻资讯:提供新闻资讯的相关新闻、文章展示和热门资讯推荐,让学员用户快速获取最新资讯,支持点赞、收藏、评论新闻资讯。
  6. 课程信息:提供课程信息展示,支持关键字、排序搜索,学员用户可以浏览课程信息,并点赞、收藏和评论课程信息,点击课程资源链接可直接跳转至链接页,详情页还提供学习笔记、立即阅读功能。
  7. 学习小组:提供学习小组信息展示,支持关键字、排序搜索,学员用户可以浏览学习小组信息,并点赞、收藏和评论学习小组。
  8. 我的账户:提供管理个人资料功能,学员用户可修改自己的账户信息和密码信息。
  9. 个人中心:提供个人首页、学习记录、错题记录、收藏等子菜单功能链接,学员用户可根据需求对其进行管理。

教师用户角色用例如下图所示。

图3.2教师用户用例图

系统后台管理教师用户具体功能说明如下所示。

  1. 登录:教师用户的账户信息由管理员在后台直接添加,可使用添加的账号密码登录系统后台,进行管理,可对自己的个人信息和密码信息进行修改。
  2. 后台首页:教师用户登录系统后首先进入后台首页界面,该界面主要提供系统重要信息概览、功能导航栏,以及自己的数据统计图表(包括考试平均分、考试成绩等统计图表)。
  3. 课程信息管理:教师用户可管理自己的课程信息的发布、下架、更新等操作,提供搜索功能,可查看和管控课程信息的评论内容,支持内容设置功能(设置课程信息章节内容)。
  4. 考试测评:教师用户可管理自己的考试测评信息,包括对科目列表、试题库、试卷列表等进行管控,进行增改删查操作,可对考试科目进行分类,更新试题库内容,发布试卷至系统前台,对学员提交的试卷进行评分和写评语。

管理员角色用例如下图所示。

图3.3管理员用例图

系统后台管理管理员具体功能说明如下所示。

  1. 登录:管理员可直接使用账号密码登录系统后台,进行管理,可对自己的个人信息和密码信息进行修改。
  2. 后台首页:管理员登录系统后首先进入后台首页界面,该界面主要提供系统重要信息概览、功能导航栏,以及数据统计图表(包括考试平均分、考试成绩等统计图表)。
  3. 系统用户:管理员可管理系统的所有系统用户信息,包括学员用户、教师用户、管理员账号等,支持用户权限管理和角色设置,可增改删查和审核系统用户信息。
  4. 课程分类管理:管理员可管理课程分类信息,包括新增、编辑、删除课程分类,提供搜索功能。
  5. 课程信息管理:管理员可管理所有课程信息的发布、下架、更新等操作,提供搜索功能,可查看和管控课程信息的评论内容,支持内容设置功能。
  6. 学习记录管理:管理员可管理所有学习记录信息,包括查询、删除学习记录,支持设置和更新学员用户的学习时长。
  7. 小组分类管理:管理员可管理所有小组分类信息,包括新增、编辑、删除课程分类,提供搜索功能。
  8. 学习小组管理:管理员可管理所有学习小组信息的发布、下架、更新等操作,提供搜索功能,支持查看和管控学习小组的评论内容。
  9. 系统管理:管理员可管理系统的轮播图信息,包括新增、编辑、删除轮播图,支持附带图片链接。
  10. 公告信息管理:管理员可管理平台发布的公告信息,包括新增、编辑、删除公告信息。
  11. 资源管理:管理员可管理新闻资讯和资讯分类的新增、编辑、删除等操作,提供搜索功能,支持管控和查看新闻资讯的评论内容。
  12. 考试测评:管理员可管理所有考试测评信息,包括对科目列表、试题库、错题记录、试卷列表等进行管控,进行增改删查等操作。
  13. 权限管理:管理员可管理系统用户组权限,包含对用户组的增改删查等系统权限的设置和修改。

3.3系统性能分析

性能需求分析是系统设计的重要组成部分,其目标是确保系统在各种负载条件下的高效、稳定和可靠。对于在线学习管理系统的设计与实现,下面是系统性能分析表:

表3.1性能需求表

项目

内容

响应时间

系统对用户请求的响应时间需在500ms以内

并发用户数

系统需要支持多个并发用户同时访问

吞吐量

系统每秒需要处理大量请求

可用性

系统需要保证一定的可用性

数据安全

用户敏感数据需要加密存储,并支持数据库备份和恢复

数据一致性

系统中的数据操作需保证ACID特性,确保数据一致性

扩展性

系统需要支持水平扩展,能够方便地增加服务器节点以应对高请求量

可维护性

系统代码需要清晰易懂、结构良好,方便团队成员维护和修改

日志记录

系统需要记录用户操作日志、异常日志以及系统运行日志

监控报警

系统需要实时监控运行状态,当系统异常时能够及时发送警报通知相关人员

缓存设置

针对频繁使用的数据,系统需要进行合适的缓存

3.4系统流程分析

3.4.1程序操作流程

用户访问平台网站,可以选择进行注册或登录操作。注册成功后,用户可以使用注册的账号登录平台。登录后的用户可以进入系统功能界面,使用自己权限内的功能操作。程序操作流程图如下图所示。

图3.4程序操作流程图

3.4.2登录流程

用户访问平台的网站,进入登录页面页面,入其用户名和密码,后端服务接收登录请求,验证用户提供的用户名和密码是否匹配数据库中存储的信息,验证通过即可登录成功。登录流程图如下图所示。

图3.5登录流程图

3.4.3注册流程

未有账号的用户可进入注册界面进行注册操作,填写注册表格,包括用户名、密码、电子邮件等必要信息。后台系统验证并保存用户提交的信息。分配唯一用户标识符。注册成功后,用户可以使用账号密码进行登录。用户注册流程图如下图所示。

图3.6注册流程图

4  系统设计

4.1总体设计

4.1.1系统架构设计

B/S架构,即浏览器/服务器架构,是一种基于Web的分布式计算范式。在此架构中,应用程序的逻辑被巧妙地区分为客户端和服务器两部分。具体而言,客户端借助广泛使用的浏览器界面,进行应用访问与操作;而服务器端则肩负起业务逻辑处理、数据存储及管理的核心职责。值得一提的是,客户端无需安装特定的软件,用户仅需通过浏览器输入相应的URL地址,即可轻松访问应用程序,这一特性极大地提升了用户的使用便捷性和系统的维护效率。服务器端通常采用高性能的计算机和数据库系统,能够处理大量并发请求和复杂的业务逻辑。B/S架构的优势在于其跨平台性和易于维护性,开发者可以通过更新服务器端的代码来实现整个系统的升级和维护,而无需逐一更新客户端。

图4.1系统架构图

4.1.2功能模块设计

功能模块设计是系统开发过程中的重要阶段,它旨在将系统划分为不同的模块,每个模块负责完成特定的功能或任务。在线学习管理系统由多个功能模块组成,每个模块下又包含具体的功能操作。根据前文功能需求分析,可以得出功能模块图如下图所示。

图4.2系统功能模块图

4.2数据库设计

4.2.1数据库表E-R

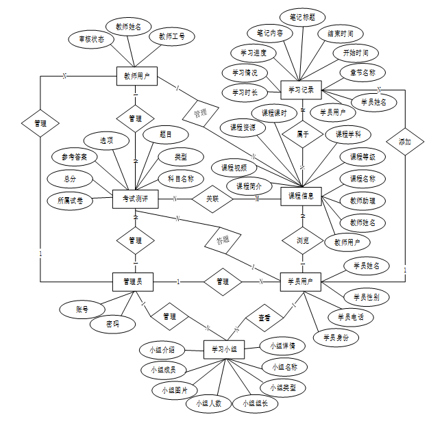
E-R图有助于理清系统中的数据结构和关系,为后续的数据库表结构设计提供指导。在进行数据库设计之前,首先需要先绘制实体-关系(E-R)图。E-R图将帮助理清业务中的实体(Entity)及它们之间的关系(Relationship),从而为后续的数据库表设计提供基础。根据前文可以得出本在线学习管理系统拥有多个实体,在此列举主要实体,各个实体之间联系总E-R图如下图所示。

图4.3系统总E-R图

4.2.1数据库表结构设计

在E-R图确定后,接下来可以根据实体和关系的属性设计数据库表结构。在E-R图明确了实体和它们之间的关系后,接下来可以开始设计数据库表结构。每个实体对应一个数据库表,每个属性对应表中的字段。如下列表格所示,在此列举主要数据表。

表access_token (登陆访问时长)

编号

名称

数据类型

长度

小数位

允许空值

主键

默认值

说明

1

token_id

int

10

0

N

Y

临时访问牌ID

2

token

varchar

64

0

Y

N

临时访问牌

3

info

text

65535

0

Y

N

4

maxage

int

10

0

N

N

2

最大寿命:默认2小时

5

create_time

timestamp

19

0

N

N

CURRENT_TIMESTAMP

创建时间:

6

update_time

timestamp

19

0

N

N

CURRENT_TIMESTAMP

更新时间:

7

user_id

int

10

0

N

N

0

用户编号:

表article (文章:用于内容管理系统的文章)

编号

名称

数据类型

长度

小数位

允许空值

主键

默认值

说明

1

article_id

mediumint

8

0

N

Y

文章id:[0,8388607]

2

title

varchar

125

0

N

Y

标题:[0,125]用于文章和html的title标签中

3

type

varchar

64

0

N

N

0

文章分类:[0,1000]用来搜索指定类型的文章

4

hits

int

10

0

N

N

0

点击数:[0,1000000000]访问这篇文章的人次

5

praise_len

int

10

0

N

N

0

点赞数

6

create_time

timestamp

19

0

N

N

CURRENT_TIMESTAMP

创建时间:

7

update_time

timestamp

19

0

N

N

CURRENT_TIMESTAMP

更新时间:

8

source

varchar

255

0

Y

N

来源:[0,255]文章的出处

9

url

varchar

255

0

Y

N

来源地址:[0,255]用于跳转到发布该文章的网站

10

tag

varchar

255

0

Y

N

标签:[0,255]用于标注文章所属相关内容,多个标签用空格隔开

11

content

longtext

2147483647

0

Y

N

正文:文章的主体内容

12

img

varchar

255

0

Y

N

封面图

13

description

text

65535

0

Y

N

文章描述

表article_type (文章分类)

编号

名称

数据类型

长度

小数位

允许空值

主键

默认值

说明

1

type_id

smallint

5

0

N

Y

分类ID:[0,10000]

2

display

smallint

5

0

N

N

100

显示顺序:[0,1000]决定分类显示的先后顺序

3

name

varchar

16

0

N

N

分类名称:[2,16]

4

father_id

smallint

5

0

N

N

0

上级分类ID:[0,32767]

5

description

varchar

255

0

Y

N

描述:[0,255]描述该分类的作用

6

icon

text

65535

0

Y

N

分类图标:

7

url

varchar

255

0

Y

N

外链地址:[0,255]如果该分类是跳转到其他网站的情况下,就在该URL上设置

8

create_time

timestamp

19

0

N

N

CURRENT_TIMESTAMP

创建时间:

9

update_time

timestamp

19

0

N

N

CURRENT_TIMESTAMP

更新时间:

表auth (用户权限管理)

编号

名称

数据类型

长度

小数位

允许空值

主键

默认值

说明

1

auth_id

int

10

0

N

Y

授权ID:

2

user_group

varchar

64

0

Y

N

用户组:

3

mod_name

varchar

64

0

Y

N

模块名:

4

table_name

varchar

64

0

Y

N

表名:

5

page_title

varchar

255

0

Y

N

页面标题:

6

path

varchar

255

0

Y

N

路由路径:

7

parent

varchar

64

0

Y

N

父级菜单

8

parent_sort

int

10

0

N

N

0

父级菜单排序

9

position

varchar

32

0

Y

N

位置:

10

mode

varchar

32

0

N

N

_blank

跳转方式:

11

add

tinyint

3

0

N

N

1

是否可增加:

12

del

tinyint

3

0

N

N

1

是否可删除:

13

set

tinyint

3

0

N

N

1

是否可修改:

14

get

tinyint

3

0

N

N

1

是否可查看:

15

field_add

text

65535

0

Y

N

添加字段:

16

field_set

text

65535

0

Y

N

修改字段:

17

field_get

text

65535

0

Y

N

查询字段:

18

table_nav_name

varchar

500

0

Y

N

跨表导航名称:

19

table_nav

varchar

500

0

Y

N

跨表导航:

20

option

text

65535

0

Y

N

配置:

21

create_time

timestamp

19

0

N

N

CURRENT_TIMESTAMP

创建时间:

22

update_time

timestamp

19

0

N

N

CURRENT_TIMESTAMP

更新时间:

表code_token

编号

名称

数据类型

长度

小数位

允许空值

主键

默认值

说明

1

code_token_id

int

10

0

N

Y

2

token

varchar

255

0

Y

N

3

code

varchar

255

0

Y

N

验证码

4

expire_time

timestamp

19

0

N

N

CURRENT_TIMESTAMP

失效时间

5

create_time

timestamp

19

0

N

N

CURRENT_TIMESTAMP

创建时间

6

update_time

timestamp

19

0

N

N

CURRENT_TIMESTAMP

更新时间:

表collect (收藏)

编号

名称

数据类型

长度

小数位

允许空值

主键

默认值

说明

1

collect_id

int

10

0

N

Y

收藏ID:

2

user_id

int

10

0

N

N

0

收藏人ID:

3

source_table

varchar

255

0

Y

N

来源表:

4

source_field

varchar

255

0

Y

N

来源字段:

5

source_id

int

10

0

N

N

0

来源ID:

6

title

varchar

255

0

Y

N

标题:

7

img

varchar

255

0

Y

N

封面:

8

create_time

timestamp

19

0

N

N

CURRENT_TIMESTAMP

创建时间:

9

update_time

timestamp

19

0

N

N

CURRENT_TIMESTAMP

更新时间:

表comment (评论)

编号

名称

数据类型

长度

小数位

允许空值

主键

默认值

说明

1

comment_id

int

10

0

N

Y

评论ID:

2

user_id

int

10

0

N

N

0

评论人ID:

3

reply_to_id

int

10

0

N

N

0

回复评论ID:空为0

4

content

longtext

2147483647

0

Y

N

内容:

5

nickname

varchar

255

0

Y

N

昵称:

6

avatar

varchar

255

0

Y

N

头像地址:[0,255]

7

create_time

timestamp

19

0

N

N

CURRENT_TIMESTAMP

创建时间:

8

update_time

timestamp

19

0

N

N

CURRENT_TIMESTAMP

更新时间:

9

source_table

varchar

255

0

Y

N

来源表:

10

source_field

varchar

255

0

Y

N

来源字段:

11

source_id

int

10

0

N

N

0

来源ID:

表course_classification (课程分类)

编号

名称

数据类型

长度

小数位

允许空值

主键

默认值

说明

1

course_classification_id

int

10

0

N

Y

课程分类ID

2

course_level

varchar

64

0

Y

N

课程等级

3

create_time

datetime

19

0

N

N

CURRENT_TIMESTAMP

创建时间

4

update_time

timestamp

19

0

N

N

CURRENT_TIMESTAMP

更新时间

表course_information (课程信息)

编号

名称

数据类型

长度

小数位

允许空值

主键

默认值

说明

1

course_information_id

int

10

0

N

Y

课程信息ID

2

teacher_users

int

10

0

Y

N

0

教师用户

3

teachers_name

varchar

64

0

Y

N

教师姓名

4

teacher_assistant

int

10

0

Y

N

0

教师助理

5

course_name

varchar

64

0

Y

N

课程名称

6

course_level

varchar

64

0

Y

N

课程等级

7

course_discipline

varchar

64

0

Y

N

课程学科

8

course_hours

varchar

64

0

Y

N

课程课时

9

course_cover

varchar

255

0

Y

N

课程封面

10

course_resources

varchar

255

0

Y

N

课程资源

11

course_video

varchar

255

0

Y

N

课程视频

12

course_introduction

text

65535

0

Y

N

课程简介

13

course_outline

text

65535

0

Y

N

课程大纲

14

teacher_information

text

65535

0

Y

N

教师信息

15

course_details

longtext

2147483647

0

Y

N

课程详情

16

hits

int

10

0

N

N

0

点击数

17

praise_len

int

10

0

N

N

0

点赞数

18

recommend

int

10

0

N

N

0

智能推荐

19

learning_record_limit_times

int

10

0

N

N

0

学习笔记限制次数

20

create_time

datetime

19

0

N

N

CURRENT_TIMESTAMP

创建时间

21

update_time

timestamp

19

0

N

N

CURRENT_TIMESTAMP

更新时间

表exam_question_database (试题库)

编号

名称

数据类型

长度

小数位

允许空值

主键

默认值

说明

1

exam_question_id

mediumint

8

0

N

Y

2

subject_name

varchar

255

0

Y

N

科目名称

3

type

varchar

20

0

Y

N

类型

4

title

varchar

255

0

Y

N

题目

5

question_item

varchar

500

0

Y

N

选项

6

answer

varchar

500

0

Y

N

参考答案

7

score

double

9

2

Y

N

总分

8

create_time

timestamp

19

0

N

N

CURRENT_TIMESTAMP

创建时间:

9

update_time

timestamp

19

0

N

N

CURRENT_TIMESTAMP

更新时间:

表group_classification (小组分类)

编号

名称

数据类型

长度

小数位

允许空值

主键

默认值

说明

1

group_classification_id

int

10

0

N

Y

小组分类ID

2

group_type

varchar

64

0

Y

N

小组类型

3

create_time

datetime

19

0

N

N

CURRENT_TIMESTAMP

创建时间

4

update_time

timestamp

19

0

N

N

CURRENT_TIMESTAMP

更新时间

表hits (用户点击)

编号

名称

数据类型

长度

小数位

允许空值

主键

默认值

说明

1

hits_id

int

10

0

N

Y

点赞ID:

2

user_id

int

10

0

N

N

0

点赞人:

3

create_time

timestamp

19

0

N

N

CURRENT_TIMESTAMP

创建时间:

4

update_time

timestamp

19

0

N

N

CURRENT_TIMESTAMP

更新时间:

5

source_table

varchar

255

0

Y

N

来源表:

6

source_field

varchar

255

0

Y

N

来源字段:

7

source_id

int

10

0

N

N

0

来源ID:

表learning_record (学习记录)

编号

名称

数据类型

长度

小数位

允许空值

主键

默认值

说明

1

learning_record_id

int

10

0

N

Y

学习记录ID

2

teacher_users

int

10

0

Y

N

0

教师用户

3

teachers_name

varchar

64

0

Y

N

教师姓名

4

course_name

varchar

64

0

Y

N

课程名称

5

course_level

varchar

64

0

Y

N

课程等级

6

course_discipline

varchar

64

0

Y

N

课程学科

7

student_users

int

10

0

Y

N

0

学员用户

8

student_name

varchar

64

0

Y

N

学员姓名

9

chapter_title

varchar

64

0

Y

N

章节名称

10

start_time

datetime

19

0

Y

N

开始时间

11

end_time

datetime

19

0

Y

N

结束时间

12

note_title

varchar

64

0

Y

N

笔记标题

13

note_content

text

65535

0

Y

N

笔记内容

14

rate_of_learning

varchar

64

0

Y

N

学习进度

15

learning_situation

text

65535

0

Y

N

学习情况

16

learning_duration

double

9

2

Y

N

0.00

学习时长

17

create_time

datetime

19

0

N

N

CURRENT_TIMESTAMP

创建时间

18

update_time

timestamp

19

0

N

N

CURRENT_TIMESTAMP

更新时间

19

source_table

varchar

255

0

Y

N

来源表

20

source_id

int

10

0

Y

N

来源ID

21

source_user_id

int

10

0

Y

N

来源用户

表notice (公告)

编号

名称

数据类型

长度

小数位

允许空值

主键

默认值

说明

1

notice_id

mediumint

8

0

N

Y

公告id:

2

title

varchar

125

0

N

N

标题:

3

content

longtext

2147483647

0

Y

N

正文:

4

create_time

timestamp

19

0

N

N

CURRENT_TIMESTAMP

创建时间:

5

update_time

timestamp

19

0

N

N

CURRENT_TIMESTAMP

更新时间:

表novel_chapters (小说章节)

编号

名称

数据类型

长度

小数位

允许空值

主键

默认值

说明

1

novel_chapters_id

int

10

0

N

Y

小说章节ID

2

chapter_name

varchar

64

0

Y

N

章节名称

3

sort

int

10

0

Y

N

0

排序

4

chapter_content

longtext

2147483647

0

Y

N

章节内容

5

source_table

varchar

255

0

Y

N

来源表:

6

source_field

varchar

255

0

Y

N

来源字段:

7

novel_reading_id

int

10

0

Y

N

小说id

8

create_time

datetime

19

0

N

N

CURRENT_TIMESTAMP

创建时间

9

update_time

timestamp

19

0

N

N

CURRENT_TIMESTAMP

更新时间

表praise (点赞)

编号

名称

数据类型

长度

小数位

允许空值

主键

默认值

说明

1

praise_id

int

10

0

N

Y

点赞ID:

2

user_id

int

10

0

N

N

0

点赞人:

3

create_time

timestamp

19

0

N

N

CURRENT_TIMESTAMP

创建时间:

4

update_time

timestamp

19

0

N

N

CURRENT_TIMESTAMP

更新时间:

5

source_table

varchar

255

0

Y

N

来源表:

6

source_field

varchar

255

0

Y

N

来源字段:

7

source_id

int

10

0

N

N

0

来源ID:

8

status

bit

1

0

N

N

1

点赞状态:1为点赞,0已取消

表schedule (日程管理)

编号

名称

数据类型

长度

小数位

允许空值

主键

默认值

说明

1

schedule_id

smallint

5

0

N

Y

日程ID:[0,32767]

2

content

varchar

255

0

Y

N

日程内容

3

scheduled_time

datetime

19

0

Y

N

计划时间

4

user_id

int

10

0

N

N

用户id

5

create_time

datetime

19

0

Y

N

创建时间

6

update_time

datetime

19

0

Y

N

更新时间

表score (评分)

编号

名称

数据类型

长度

小数位

允许空值

主键

默认值

说明

1

score_id

int

10

0

N

Y

评分ID:

2

user_id

int

10

0

N

N

0

评分人:

3

nickname

varchar

64

0

Y

N

昵称:

4

score_num

double

5

2

N

N

0.00

评分:

5

create_time

timestamp

19

0

N

N

CURRENT_TIMESTAMP

创建时间:

6

update_time

timestamp

19

0

N

N

CURRENT_TIMESTAMP

更新时间:

7

source_table

varchar

255

0

Y

N

来源表:

8

source_field

varchar

255

0

Y

N

来源字段:

9

source_id

int

10

0

N

N

0

来源ID:

表slides (轮播图)

编号

名称

数据类型

长度

小数位

允许空值

主键

默认值

说明

1

slides_id

int

10

0

N

Y

轮播图ID:

2

title

varchar

64

0

Y

N

标题:

3

content

varchar

255

0

Y

N

内容:

4

url

varchar

255

0

Y

N

链接:

5

img

varchar

255

0

Y

N

轮播图:

6

hits

int

10

0

N

N

0

点击量:

7

create_time

timestamp

19

0

N

N

CURRENT_TIMESTAMP

创建时间:

8

update_time

timestamp

19

0

N

N

CURRENT_TIMESTAMP

更新时间:

表student_users (学员用户)

编号

名称

数据类型

长度

小数位

允许空值

主键

默认值

说明

1

student_users_id

int

10

0

N

Y

学员用户ID

2

student_name

varchar

64

0

Y

N

学员姓名

3

student_gender

varchar

64

0

Y

N

学员性别

4

student_phone_number

varchar

16

0

N

N

学员电话

5

student_identity

varchar

64

0

Y

N

学员身份

6

examine_state

varchar

16

0

N

N

已通过

审核状态

7

user_id

int

10

0

N

N

0

用户ID

8

create_time

datetime

19

0

N

N

CURRENT_TIMESTAMP

创建时间

9

update_time

timestamp

19

0

N

N

CURRENT_TIMESTAMP

更新时间

表study_group (学习小组)

编号

名称

数据类型

长度

小数位

允许空值

主键

默认值

说明

1

study_group_id

int

10

0

N

Y

学习小组ID

2

group_name

varchar

64

0

Y

N

小组名称

3

group_type

varchar

64

0

Y

N

小组类型

4

group_leader

varchar

64

0

Y

N

小组组长

5

group_size

double

9

2

Y

N

0.00

小组人数

6

group_pictures

varchar

255

0

Y

N

小组图片

7

group_members

text

65535

0

Y

N

小组成员

8

group_introduction

text

65535

0

Y

N

小组介绍

9

group_details

longtext

2147483647

0

Y

N

小组详情

10

hits

int

10

0

N

N

0

点击数

11

praise_len

int

10

0

N

N

0

点赞数

12

recommend

int

10

0

N

N

0

智能推荐

13

create_time

datetime

19

0

N

N

CURRENT_TIMESTAMP

创建时间

14

update_time

timestamp

19

0

N

N

CURRENT_TIMESTAMP

更新时间

表subject

编号

名称

数据类型

长度

小数位

允许空值

主键

默认值

说明

1

subject_id

int

10

0

N

Y

2

name

varchar

255

0

Y

N

3

update_time

timestamp

19

0

N

N

CURRENT_TIMESTAMP

4

create_time

timestamp

19

0

N

N

CURRENT_TIMESTAMP

表subject_exam (考试)

编号

名称

数据类型

长度

小数位

允许空值

主键

默认值

说明

1

exam_id

mediumint

8

0

N

Y

考试id

2

subject_name

varchar

255

0

Y

N

3

name

varchar

32

0

N

N

考试名称:[2,32]

4

duration

int

10

0

Y

N

答题时长

5

score

double

9

2

Y

N

总分

6

status

varchar

10

0

Y

N

状态:启用、禁用

7

create_time

timestamp

19

0

N

N

CURRENT_TIMESTAMP

创建时间:

8

update_time

timestamp

19

0

N

N

CURRENT_TIMESTAMP

更新时间:

9

user_id

int

10

0

Y

N

出题人

表subject_exam_question (试题)

编号

名称

数据类型

长度

小数位

允许空值

主键

默认值

说明

1

exam_question_id

mediumint

8

0

N

Y

2

subject_name

varchar

255

0

Y

N

科目名称

3

type

varchar

20

0

Y

N

类型

4

title

varchar

255

0

Y

N

题目

5

question_item

varchar

500

0

Y

N

选项

6

answer

varchar

500

0

Y

N

参考答案

7

score

double

9

2

Y

N

总分

8

question_order

int

10

0

Y

N

排序

9

exam_id

mediumint

8

0

N

N

所属试卷

10

create_time

timestamp

19

0

N

N

CURRENT_TIMESTAMP

创建时间:

11

update_time

timestamp

19

0

N

N

CURRENT_TIMESTAMP

更新时间:

表subject_user_answer (用户答题)

编号

名称

数据类型

长度

小数位

允许空值

主键

默认值

说明

1

user_answer_id

mediumint

8

0

N

Y

2

user_id

mediumint

7

0

N

N

用户ID:[0,8388607]用户获取其他与用户相关的数据

3

exam_id

mediumint

8

0

N

N

0

考试id

4

score

double

9

2

Y

N

0.00

分数

5

answers

text

65535

0

Y

N

答案

6

score_detail

text

65535

0

Y

N

评分详情

7

objective_score

double

9

2

Y

N

0.00

客观题得分

8

subjective_score

double

9

2

Y

N

0.00

主观题得分

9

score_state

tinyint

4

0

Y

N

0

评分状态

10

nickname

varchar

255

0

Y

N

提交人

11

create_time

timestamp

19

0

N

N

CURRENT_TIMESTAMP

创建时间:

12

update_time

timestamp

19

0

N

N

CURRENT_TIMESTAMP

更新时间:

13

comment_desc

varchar

255

0

Y

N

评语

表teacher_users (教师用户)

编号

名称

数据类型

长度

小数位

允许空值

主键

默认值

说明

1

teacher_users_id

int

10

0

N

Y

教师用户ID

2

teacher_no

varchar

64

0

N

N

教师工号

3

teachers_name

varchar

64

0

Y

N

教师姓名

4

examine_state

varchar

16

0

N

N

已通过

审核状态

5

user_id

int

10

0

N

N

0

用户ID

6

create_time

datetime

19

0

N

N

CURRENT_TIMESTAMP

创建时间

7

update_time

timestamp

19

0

N

N

CURRENT_TIMESTAMP

更新时间

表upload (文件上传)

编号

名称

数据类型

长度

小数位

允许空值

主键

默认值

说明

1

upload_id

int

10

0

N

Y

上传ID

2

name

varchar

64

0

Y

N

文件名

3

path

varchar

255

0

Y

N

访问路径

4

file

varchar

255

0

Y

N

文件路径

5

display

varchar

255

0

Y

N

显示顺序

6

father_id

int

10

0

Y

N

0

父级ID

7

dir

varchar

255

0

Y

N

文件夹

8

type

varchar

32

0

Y

N

文件类型

表user (用户账户:用于保存用户登录信息)

编号

名称

数据类型

长度

小数位

允许空值

主键

默认值

说明

1

user_id

int

10

0

N

Y

用户ID:[0,8388607]用户获取其他与用户相关的数据

2

state

smallint

5

0

N

N

1

账户状态:[0,10](1可用|2异常|3已冻结|4已注销)

3

user_group

varchar

32

0

Y

N

所在用户组:[0,32767]决定用户身份和权限

4

login_time

timestamp

19

0

N

N

CURRENT_TIMESTAMP

上次登录时间:

5

phone

varchar

11

0

Y

N

手机号码:[0,11]用户的手机号码,用于找回密码时或登录时

6

phone_state

smallint

5

0

N

N

0

手机认证:[0,1](0未认证|1审核中|2已认证)

7

username

varchar

16

0

N

N

用户名:[0,16]用户登录时所用的账户名称

8

nickname

varchar

16

0

Y

N

昵称:[0,16]

9

password

varchar

64

0

N

N

密码:[0,32]用户登录所需的密码,由6-16位数字或英文组成

10

email

varchar

64

0

Y

N

邮箱:[0,64]用户的邮箱,用于找回密码时或登录时

11

email_state

smallint

5

0

N

N

0

邮箱认证:[0,1](0未认证|1审核中|2已认证)

12

avatar

varchar

255

0

Y

N

头像地址:[0,255]

13

open_id

varchar

255

0

Y

N

针对获取用户信息字段

14

create_time

timestamp

19

0

N

N

CURRENT_TIMESTAMP

创建时间:

表user_answer_wrong (用户答题)

编号

名称

数据类型

长度

小数位

允许空值

主键

默认值

说明

1

user_answer_id

mediumint

8

0

N

Y

2

subject_name

varchar

255

0

Y

N

科目名称

3

question_item

varchar

255

0

Y

N

选项

4

title

varchar

255

0

Y

N

题目

5

type

varchar

255

0

Y

N

题目类型

6

exam_id

mediumint

8

0

N

N

0

考试id

7

score

double

9

2

Y

N

0.00

分数

8

answers

text

65535

0

Y

N

用户提交的答案

9

answer

text

65535

0

Y

N

参考答案

10

score_detail

text

65535

0

Y

N

评分详情

11

objective_score

double

9

2

Y

N

0.00

客观题得分

12

subjective_score

double

9

2

Y

N

0.00

主观题得分

13

score_state

tinyint

4

0

Y

N

0

评分状态

14

nickname

varchar

255

0

Y

N

提交人

15

user_id

int

10

0

N

N

提交人ID

16

create_time

timestamp

19

0

N

N

CURRENT_TIMESTAMP

创建时间:

17

update_time

timestamp

19

0

N

N

CURRENT_TIMESTAMP

更新时间:

表user_group (用户组:用于用户前端身份和鉴权)

编号

名称

数据类型

长度

小数位

允许空值

主键

默认值

说明

1

group_id

mediumint

8

0

N

Y

用户组ID:[0,8388607]

2

display

smallint

5

0

N

N

100

显示顺序:[0,1000]

3

name

varchar

16

0

N

N

名称:[0,16]

4

description

varchar

255

0

Y

N

描述:[0,255]描述该用户组的特点或权限范围

5

source_table

varchar

255

0

Y

N

来源表:

6

source_field

varchar

255

0

Y

N

来源字段:

7

source_id

int

10

0

N

N

0

来源ID:

8

register

smallint

5

0

Y

N

0

注册位置:

9

create_time

timestamp

19

0

N

N

CURRENT_TIMESTAMP

创建时间:

10

update_time

timestamp

19

0

N

N

CURRENT_TIMESTAMP

更新时间:

5  系统实现

5.1系统环境分析

考虑到在线学习管理系统主要面对部分人群,网站的访问量不大。系统处理、统计分析工作简单,Tomcat服务器能够满足中小型网络用户的数据处理,通过互联网Internet 接入及MySQL 5.6以上的数据库应用的需求点。系统具体开发环境如下表所示:

表5.1系统环境表

项目

开发环境

操作系统

Windows 11、Windows 10、Windows 8、Windows 7

开发语言

Java

使用框架

Spring Boot

体系结构

三层B/S体系结构

开发工具

IDEA(2020版)/MyEclipse(2017)/Eclipse、Vs Code

数据库

MySQL 5.6以上

数据库管理工具

Navicat

JDK版本

Java 1.8

Maven

apache-maven 3.6.1-bin

Tomcat

apache-tomcat-7.0.88

5.2系统前台功能模块

5.2.1用户登录模块

用户输入用户名和密码后,系统首先对这些输入进行基本的格式验证,确保用户名和密码符合系统设定的格式要求(如长度、特殊字符要求等)。系统接收到用户输入后,会根据用户名查找系统中存储的用户信息数据库或者其他持久化存储方式。系统需要验证密码的正确性,验证成功即可成功登录。界面设计如下图所示。

图5.1用户登录界面设计

登录关键代码如下:

 /**

     * 登录

     * @param data

     * @param httpServletRequest

     * @return

     */

    @PostMapping("login")

    public Map<String, Object> login(@RequestBody Map<String, String> data, HttpServletRequest httpServletRequest) {

        log.info("[执行登录接口]");

        String username = data.get("username");

        String email = data.get("email");

        String phone = data.get("phone");

        String password = data.get("password");

        List resultList = null;

        Map<String, String> map = new HashMap<>();

        if(username != null && "".equals(username) == false){

            map.put("username", username);

            resultList = service.selectBaseList(service.select(map, new HashMap<>()));

        }

        else if(email != null && "".equals(email) == false){

            map.put("email", email);

            resultList = service.selectBaseList(service.select(map, new HashMap<>()));

        }

        else if(phone != null && "".equals(phone) == false){

            map.put("phone", phone);

            resultList = service.selectBaseList(service.select(map, new HashMap<>()));

        }else{

            return error(30000, "账号或密码不能为空");

        }

        if (resultList == null || password == null) {

            return error(30000, "账号或密码不能为空");

        }

        //判断是否有这个用户

        if (resultList.size()<=0){

            return error(30000,"用户不存在");

        }

        User byUsername = (User) resultList.get(0);

        Map<String, String> groupMap = new HashMap<>();

        groupMap.put("name",byUsername.getUserGroup());

        List groupList = userGroupService.selectBaseList(userGroupService.select(groupMap, new HashMap<>()));

        if (groupList.size()<1){

            return error(30000,"用户组不存在");

        }

        UserGroup userGroup = (UserGroup) groupList.get(0);

        //查询用户审核状态

        if (!StringUtils.isEmpty(userGroup.getSourceTable())){

            String res = service.selectExamineState(userGroup.getSourceTable(),byUsername.getUserId());

            if (res==null){

                return error(30000,"用户不存在");

            }

            if (!res.equals("已通过")){

                return error(30000,"该用户审核未通过");

            }

        }

        //查询用户状态

        if (byUsername.getState()!=1){

            return error(30000,"用户非可用状态,不能登录");

        }

        String md5password = service.encryption(password);

        if (byUsername.getPassword().equals(md5password)) {

            // 存储Token到数据库

            AccessToken accessToken = new AccessToken();

            accessToken.setToken(UUID.randomUUID().toString().replaceAll("-", ""));

            accessToken.setUser_id(byUsername.getUserId());

            Duration duration = Duration.ofSeconds(7200L);

            redisTemplate.opsForValue().set(accessToken.getToken(), accessToken,duration);

            // 返回用户信息

            JSONObject user = JSONObject.parseObject(JSONObject.toJSONString(byUsername));

            user.put("token", accessToken.getToken());

            JSONObject ret = new JSONObject();

            ret.put("obj",user);

            return success(ret);

        } else {

            return error(30000, "账号或密码不正确");

        }

    }

5.2.2用户注册模块

用户注册时,系统要求用户提供必要的信息,例如用户名、密码、电子邮件地址等。这些信息通常由用户在注册表单中输入,并通过前端验证确保格式的正确性。注册过程完成后,系统会为新用户创建一个账户。这包括分配一个唯一的用户ID和设置初始的权限或者角色。界面设计如下图所示。

图5.2用户注册界面设计

注册关键代码如下:

    /**

     * 注册

     * @param user

     * @return

     */

    @PostMapping("register")

    public Map<String, Object> signUp(@RequestBody User user) {

        // 查询用户

        Map<String, String> query = new HashMap<>();

        Map<String,Object> map = JSON.parseObject(JSON.toJSONString(user));

        query.put("username",user.getUsername());

        List list = service.selectBaseList(service.select(query, new HashMap<>()));

        if (list.size()>0){

            return error(30000, "用户已存在");

        }

        map.put("password",service.encryption(String.valueOf(map.get("password"))));

        service.insert(map);

        return success(1);

}    

5.2.3首页模块

学员用户登录系统前台后,首先进入前台首页界面,该界面主要提供系统搜索功能和系统功能导航栏,展示平台的轮播图、最新动态、热门信息、推荐信息(优先推荐浏览过的同等级课程信息及同类型学习小组信息)等内容界面设计如下图所示。

图5.3首页界面设计

5.2.4考试测评模块

考试测评模块主要提供在线考试测评功能,支持关键字搜索,学员用户可浏览考试测评信息,支持答题操作。当用户点击“答题”按钮,可进入答题界面进行开始,提交答题信息后,可以查看分数、评语和答案解析等内容。界面设计如下图所示。

图5.4考试测评界面设计

5.2.5课程信息模块

课程信息模块是系统的主要功能之一,主要提供课程信息展示,支持关键字、排序搜索,学员用户可以浏览课程信息,并点赞、收藏和评论课程信息,点击课程资源链接可直接跳转至链接页,详情页还提供学习笔记、立即阅读。界面设计如下图所示。

图5.5课程信息详情页界面设计

当用户进入课程信息详情页,可点击“学习笔记”按钮,输入学习记录内容,编辑学习进度和情况,提交的学习记录可在自己的个人中心进行管理,管理员根据用户提交的学习记录更新编辑学时信息。界面设计如下图所示。

图5.6学习笔记界面设计

当用户进入课程信息详情页,点击“立即阅读”按钮,可进入课程电子章节内容界面,支持目录、字体设置、上下章节跳转功能,可浏览课程信息章节内容详细信息。界面设计如下图所示。

图5.7立即阅读界面设计

5.2.6个人中心模块

个人中心模块主要为学员用户提供个人首页、学习记录、错题记录、收藏等子菜单功能链接,学员用户可根据需求对其进行管理。例如,个人首页,显示学员用户的个人信息,及展示用户考试科目数据统计图表;学习记录,显示已提交的学习记录信息,提供查询功能,可进入详情页浏览;错题记录,显示自己的错题记录信息,提供查询功能,可进入详情页浏览;收藏,展示已收藏各类系统信息,可浏览和删除收藏信息。界面设计如下图所示。

图5.8个人中心界面设计

5.3后台管理功能模块

5.3.1后台首页模块

当管理员和教师用户登录系统后首先进入后台首页界面,该界面主要提供系统重要信息概览、功能导航栏,以及自己的数据统计图表,包括考试平均分、考试成绩等统计图表(教师用户只可查看自己的数据统计信息)。界面设计如下图所示。

图5.9后台首页界面设计

5.3.2系统用户模块

管理员可管理系统的所有系统用户信息,包括学员用户、教师用户、管理员账号等,支持用户权限管理和角色设置,可增改删查和审核系统用户信息,学员用户的身份由管理员设置,教师用户的账户信息由管理员直接添加。界面设计如下图所示。

图5.10系统用户界面设计

管理系统用户信息关键代码:

  @RequestMapping("/get_obj")

    public Map<String, Object> obj(HttpServletRequest request) {

        List resultList = service.selectBaseList(service.select(service.readQuery(request), service.readConfig(request)));

        if (resultList.size() > 0) {

            JSONObject jsonObject = new JSONObject();

            jsonObject.put("obj",resultList.get(0));

            return success(jsonObject);

        } else {

            return success(null);

        }

    }

   @PostMapping("/set")

@Transactional

    public Map<String, Object> set(HttpServletRequest request) throws IOException {

        service.update(service.readQuery(request), service.readConfig(request), service.readBody(request.getReader()));

        return success(1);

    }

@PostMapping("/add")

    @Transactional

    public Map<String, Object> add(HttpServletRequest request) throws IOException {

        service.insert(service.readBody(request.getReader()));

        return success(1);

    }

public Map<String, Object> addMap(Map<String,Object> map){

    service.insert(map);

     return success(1);

 }

5.3.3课程信息管理模块

管理员可管理所有课程信息的发布、下架、更新等操作,教师用户只可增改删查自己的课程信息;提供搜索功能,可查看和管控课程信息的评论内容,支持内容设置功能。界面设计如下图所示。

图5.11课程信息管理界面设计

当管理员或教师用户进入课程信息添加界面,可根据提示输入相关课程信息并提交,即可成功添加课程信息。界面设计如下图所示。

图5.12课程信息添加界面设计

添加课程信息关键代码:

 @PostMapping("/add")

    @Transactional

    public Map<String, Object> add(HttpServletRequest request) throws IOException {

        service.insert(service.readBody(request.getReader()));

        return success(1);

    }

public Map<String, Object> addMap(Map<String,Object> map){

    service.insert(map);

     return success(1);

 }

上传课程视频或图片关键代码如下:

   @PostMapping("/upload")

    public Map<String, Object> upload(@RequestParam("file") MultipartFile file) {

        log.info("进入方法");

        if (file.isEmpty()) {

            return error(30000, "没有选择文件");

        }

        try {

            //判断有没路径,没有则创建

            String filePath = System.getProperty("user.dir") + "/src/main/resources/static/";

            File targetDir = new File(filePath);

            if (!targetDir.exists() && !targetDir.isDirectory()) {

                if (targetDir.mkdirs()) {

                    log.info("创建目录成功");

                } else {

                    log.error("创建目录失败");

                }

            }

            String fileName = file.getOriginalFilename();

            File dest = new File(filePath + fileName);

            log.info("文件路径:{}", dest.getPath());

            log.info("文件名:{}", dest.getName());

            file.transferTo(dest);

            JSONObject jsonObject = new JSONObject();

            jsonObject.put("url", "/api/upload/" + fileName);

            return success(jsonObject);

        } catch (IOException e) {

            log.info("上传失败:{}", e.getMessage());

        }

        return error(30000, "上传失败");

    }

5.3.4学习记录管理模块

管理员可管理所有学习记录信息,包括查询、删除学习记录,支持设置和更新学员用户的学习时长。界面设计如下图所示。

图5.13学习记录管理界面设计

当管理员点击“详情”按钮,可进入详情页进行浏览和编辑,并可根据用户提交的学习记录内容,更新学习时长信息。界面设计如下图所示。

图5.14学习记录编辑界面设计

更新学习记录信息关键代码:

 @PostMapping("/set")

@Transactional

    public Map<String, Object> set(HttpServletRequest request) throws IOException {

        service.update(service.readQuery(request), service.readConfig(request), service.readBody(request.getReader()));

        return success(1);

    }

5.3.5考试测评模块

管理员可管理所有考试测评信息,包括对科目列表、试题库、错题记录、试卷列表等进行管控,进行增改删查等操作。例如,科目列表,可增改删查科目列表信息;试题库,可增改删查试题库信息,支持批量导出和导入功能;错题记录,可查询、删除和浏览错题记录内容;试卷列表,可增改删查试卷列表信息,支持题库、生成、查看分数、评分操作(客观题由系统自动评分,主观题可由管理员或教师用户评分)。例如,考试测评试题库界面设计如下图所示。

图5.15考试测评试题库界面设计

教师用户可管理自己的考试测评信息,包括对科目列表、试题库、试卷列表等进行管控,进行增改删查操作。例如,可对考试科目进行分类,更新试题库内容,发布试卷至系统前台,对学员提交的试卷进行评分和写评语。例如,考试测评试卷列表界面设计如下图所示。

图5.16考试测评试卷列表界面设计

考试测评关键代码:

   @PostMapping("/add")

    @Transactional

    public Map<String, Object> add(HttpServletRequest request) throws IOException {

        service.insert(service.readBody(request.getReader()));

        return success(1);

    }

public Map<String, Object> addMap(Map<String,Object> map){

    service.insert(map);

     return success(1);

 }

   @RequestMapping(value = "/del")

    @Transactional

    public Map<String, Object> del(HttpServletRequest request) {

        service.delete(service.readQuery(request), service.readConfig(request));

        return success(1);

    }

    public void delete(Map<String,String> query,Map<String,String> config){

        QueryWrapper wrapper = new QueryWrapper<E>();

        toWhereWrapper(query, "0".equals(config.get(FindConfig.GROUP_BY)),wrapper);

        baseMapper.delete(wrapper);

        log.info("[{}] - 删除操作:{}",wrapper.getSqlSelect());

    }

  @RequestMapping(value = {"/sum_group", "/sum"})

    public Map<String, Object> sum(HttpServletRequest request) {

        Integer value = service.selectSqlToInteger(service.sum(service.readQuery(request), service.readConfig(request)));

        return success(value);

    }

5.3.6权限管理模块

管理理员可对系统用户组的权限进行设置,包括系统增改删查等权限,给予用户对系统功能和信息相应操作权限,便于系统整体管理。界面设计如下图所示。

图5.17权限管理界面设计

6  系统测试

6.1测试意义

在软件开发生命周期中,系统测试占据着举足轻重的地位。通过进行全面而系统的测试,能够确保软件在实际使用环境中具备稳定运行的能力,从而满足用户的多样化需求,并显著提升软件的整体质量与可靠性。这一过程不仅有助于识别并修复潜在问题,还能为软件的持续优化提供有力支撑。

随着现代信息的快速发展,在社会各大领域中已经都开始应用网络信息技术,在应用网络技术的同时人们也开始把软件的质量问题作为了一个重要焦点来关注,因为一个软件的好与坏它决定着这个系统在市场上的生存,所以必须要把软件质量来做好,这样才有一定的生存能力。对于用户来说它们首先选用的都是保证这个系统软件的质量问题,因为一个系统的软件质量决定着用户在后期上成本经济的问题。图6.1就是纠错测试流程。

图6.1测试与纠错信息流程

6.2测试用例

在系统的功能验证阶段,将对全部的功能界面进行全面测试。具体而言,将模拟用户行为,输入各类数据并进行提交操作,随后仔细观察和分析每个页面的响应反馈。这一过程旨在验证系统的功能完整性,确保页面所呈现的功能与预期相符,并能够完全实现预设的交互逻辑。通过这种全面细致的测试方法,将确保系统在实际应用中能够稳定、准确地响应用户需求。

下表是系统登录功能测试用例,检测了用户名和密码的不同的输入情况,观察系统的响应情况。得出该功能达到了设计目标。

前置条件:已有系统账户,未登录系统。

表6.1系统登录功能测试用例

功能描述

用于系统登录

测试目的

检测登录时的合法性检查

测试数据以及操作

预期结果

实际结果

输入的用户名和密码带有非法字符

提示用户名或者密码错误

与预期结果一致

输入的用户名或者密码为空

提示用户名或者密码错误

与预期结果一致

输入的用户名和密码不存在

提示用户名或者密码错误

与预期结果一致

输入正确的用户名和密码

登录成功

与预期结果一致

下表是注册功能测试用例,检测了各种数据的输入情况,观察系统的响应情况。得出该功能达到了设计目标。

前置条件:没有系统账户。

表6.2注册功能测试用例

功能描述

用于用户注册

测试目的

检测用户注册时的合法性检查

测试数据以及操作

预期结果

实际结果

输入的手机号不合法

提示请输入正确的手机号码

与预期结果一致

输入的字段为空

提示必填项不能为空

与预期结果一致

输入的密码少于6位

提示密码必须为6-12位

与预期结果一致

输入的密码大于12位

提示密码必须为6-12位

与预期结果一致

下表是课程信息管理功能的测试用例,检测了课程信息中对课程信息的增加,删除,修改,查询操作是否成功运行。观察系统的响应情况,得出该功能也达到了设计目标,系统运行正确。

前置条件:管理员、教师用户登录系统。

表6.3课程信息管理的测试用例

功能描述

用于课程信息管理

测试目的

检测课程信息时的各种操作的运行情况

测试数据以及操作

预期结果

实际结果

点击添加课程信息,必填项合法输入,点击提交

提示添加成功

与预期结果一致

点击添加课程信息,必填项输入不合法,点击提交

提示必填项不能为空

与预期结果一致

点击修改课程信息,必填项修改为空,点击提交

提示必填项不能为空

与预期结果一致

点击修改课程信息,必填项输入不合法,点击提交

提示必填项不能为空

与预期结果一致

点击删除课程信息,选择课程信息删除

提示删除成功

与预期结果一致

点击搜索课程信息,输入存在的课程信息名

查找出相应课程信息信息

与预期结果一致

点击搜索课程信息,输入不存在的课程信息名

不显示课程信息信息

与预期结果一致

下表学习小组管理功能的测试用例,检测了学习小组中对学习小组的增加,删除,修改,查询操作是否成功运行。观察系统的响应情况,得出该功能也达到了设计目标,系统运行正确。

前置条件:管理员登录系统。

表6.4学习小组管理的测试用例

功能描述

用于学习小组管理

测试目的

检测学习小组时的各种操作的运行情况

测试数据以及操作

预期结果

实际结果

点击添加学习小组,必填项合法输入,点击提交

提示添加成功

与预期结果一致

点击添加学习小组,必填项输入不合法,点击提交

提示必填项不能为空

与预期结果一致

点击修改学习小组,必填项修改为空,点击提交

提示必填项不能为空

与预期结果一致

点击修改学习小组,必填项输入不合法,点击提交

提示必填项不能为空

与预期结果一致

点击删除学习小组,选择学习小组删除

提示删除成功

与预期结果一致

点击搜索学习小组,输入存在的学习小组名

查找出相应学习小组信息

与预期结果一致

点击搜索学习小组,输入不存在的学习小组名

不显示学习小组信息

与预期结果一致

下表是试卷列表管理功能的测试用例,检测了试卷列表中对试卷列表的增加,删除,修改,查询、评分等操作是否成功运行。观察系统的响应情况,得出该功能也达到了设计目标,系统运行正确。

前置条件:管理员、教师用户登录系统。

表6.5试卷列表管理的测试用例

功能描述

用于试卷列表

测试目的

检测试卷列表时的各种操作的运行情况

测试数据以及操作

预期结果

实际结果

点击添加试卷列表,必填项合法输入,点击提交

提示添加成功

与预期结果一致

点击添加试卷列表,必填项输入不合法,点击提交

提示必填项不能为空

与预期结果一致

点击修改试卷列表,必填项修改为空,点击提交

提示必填项不能为空

与预期结果一致

点击修改试卷列表,必填项输入不合法,点击提交

提示必填项不能为空

与预期结果一致

点击删除试卷列表,选择试卷列表删除

提示删除成功

与预期结果一致

点击搜索试卷列表,输入存在的试卷列表名

查找出相应试卷列表信息

与预期结果一致

点击搜索试卷列表,输入不存在的试卷列表名

不显示试卷列表信息

与预期结果一致

点击评分试卷列表,对试卷主观题进行评分并编辑评语,点击提交

提示提交成功

与预期结果一致

点击查看分数

显示试卷列表的分数信息

与预期结果一致

6.3测试分析

本在线学习管理系统开发与设计满足相关信息的管理需求,在设计时借鉴了国内外优秀网站的优点,从界面到系统设计都保证了管理员以及用户能够方便操作。系统的主要特点和优点归纳如下:

(1)本系统用的移置性和针对性都比较高,因为针对性高可以提供更好的服务而移置性可以在多个系统上运行,更给用户带来了极大的方便。

(2)该在线学习管理系统开发与设计内容全面,管理方便可以及时的全面的处理各种错误,异常,这样避免了很多因用户的马虎操作而出现的失误,其操作方便,用户界面友好,能够上网的人都可以很好的进行操作。

经过对上述的测试结果分析,所有基本功能齐全,操作简单,系统运行性能良好,系统安全可靠,能促进在线学习管理系统的发展,发展前景广阔。

7  结束语

通过开发在线学习管理系统,我深刻体会到软件开发的完整流程。首先,在确定开发目标后,进行了详细的需求分析,明确了系统所需的各项功能。接下来,设计了系统的功能框架和数据库结构,包括实体和数据表的设计。随后,实现了各个功能模块的详细界面,并进行了全面的功能测试。尽管在这个过程中遇到了各种挑战,但通过反复分析和深入思考,借助相关文献和解决方案,成功地解决了这些问题,最终使在线学习管理系统顺利运行。

虽然该系统在功能上基本满足了用户的需求,但仍有许多需要改进的地方。在接下来的开发阶段,计划进行以下改进:

用户界面设计:目前的操作页面虽然满足了简易操作的要求,但在多样化设计方面还有提升空间。将考虑引入更多丰富的设计元素,使界面更加美观和用户友好。

安全性能优化:针对系统安全性能的增强,需要进一步优化系统的整体防护能力。具体而言,将要对程序退出的安全性进行加强,确保在退出过程中不存在数据泄露或系统不稳定的风险。同时,对系统的并发处理能力进行升级,以确保在高并发场景下系统能够保持稳定的运行状态。这些改进措施将共同提升系统的安全性能,确保在各种使用场景下,系统都能为用户提供安全、可靠的服务。

性能优化:在性能优化方面,将着重于对程序的数据结构和代码逻辑进行精细化调整。通过优化,旨在确保系统能在高负载下保持稳定且高效的运行状态。优化后的系统应具备快速处理大量事务的能力,显著缩短事务处理时间,从而提高整体工作效率。同时,致力于降低服务器资源的占用率,以实现资源的高效利用和成本的有效控制。这些优化措施将共同提升系统的整体性能,为用户提供更加流畅、高效的服务体验。

通过这些改进,希望能够进一步提升在线学习管理系统的用户体验和性能,使其更加贴合实际需求。

参考文献

[1]Akpen N C ,Asaolu S ,Atobatele S , et al.Impact of online learning on student's performance and engagement: a systematic review[J].Discover Education,2024,3(1):205-205.

[2]叶佩.基于MVC框架的英语在线学习资源管理系统[J].自动化技术与应用,2024,43(04):89-92.DOI:10.20033/j.1003-7241.(2024)04-0089-04.

[3]赵彩霞,张栽培,杨璇.基于Java编程导航学习平台开发设计的研究[J].家电维修,2024,(03):62-64.

[4]时俊雅,黄苏雨.基于Java的大学生在线学习系统设计与实现[J].无线互联科技,2023,20(19):73-75.

[5]Nazmi X ,Anni D .Online interactions and student learning outcomes in a Moodle-based e-learning system[J].Technology, Pedagogy and Education,2023,32(4):419-433.

[6]王科翔,刘星含,娄志城,等.基于Spring Boot+Vue框架的智慧学习平台的设计与实现[J].无线互联科技,2023,20(14):65-68.

[7]汤佳.基于Java在线学习平台系统的设计与实现[J].电脑知识与技术,2023,19(18):56-59+63.DOI:10.14004/j.cnki.ckt.2023.0888.

[8]王琪.SpringBoot在线学习系统的开发[J].互联网周刊,2023,(05):60-62.

[9]李露晨.高职院校在线网络教学学习管理系统的设计与研究[J].科技与创新,2022,(24):117-119.DOI:10.15913/j.cnki.kjycx.2022.24.033.

[10]明日科技.从零开始学Spring Boot[M].化学工业出版社:202207.397.

[11]许祥娟.在线学习资源个性化推荐系统的设计与实现[D].西安电子科技大学,2022.DOI:10.27389/d.cnki.gxadu.2022.001166.

[12]Li G ,Yong H ,Yunli C .Research on intelligent learning platform system based on Spring Boot[C]//[出版者不详],2022:

[13]张彧圣.基于SpringCloud的在线学习系统的设计与实现[D].华中科技大学,2022.DOI:10.27157/d.cnki.ghzku.2022.000169.

[14]马英瑞,陈廉元,李娟,等.基于Spring Boot的网上在线教育系统的设计与实现[J].电脑知识与技术,2021,17(13):77-79+92.DOI:10.14004/j.cnki.ckt.2021.1354.

[15]李捷.基于分布式爬虫的在线考试系统设计与实现[D].厦门大学,2021.DOI:10.27424/d.cnki.gxmdu.2021.002238.

[16]洪柏桦.基于Spring Cloud和课程特征属性的在线学习推荐平台[D].华中师范大学,2021.DOI:10.27159/d.cnki.ghzsu.2021.000313.

[17]史晴.基于个性化推荐的在线教育系统设计与实现[D].西北师范大学,2021.DOI:10.27410/d.cnki.gxbfu.2021.001678.

[18]薛云兰,郑海锋,黄嘉浩.基于Spring Boot框架的网络教学管理系统[J].软件导刊,2020,19(09):146-151.

[19]王嘉康.在线学习过程管理系统软件设计与实现[D].北京邮电大学,2020.DOI:10.26969/d.cnki.gbydu.2020.002487.

[20]金志霄.基于微服务架构的在线学习系统的设计与实现[D].西安电子科技大学,2020.DOI:10.27389/d.cnki.gxadu.2020.002494.

致  谢

这次毕业设计能够完成,最重要的就是来自指导老师的帮助,是导师不厌其烦的对我的论文及毕业设计提出非常有建设性的建议,我的毕设施能够完成离不开导师的帮助。在此,我对导师由衷的表示感谢,

其次要感谢大学四年里学院里所有的任课老师的教导,老师们在我整个大学四年里给予了我丰富的知识,让我能够在大学中不虚度光阴,踏踏实实的学习,没有这些老师不辞辛劳的教诲,我无法完成这四年的学业。

最后,我要感谢我的家人和同学们。感谢父母在物质与精神上给予我无限的支持和鼓励。感谢我的同学们,在论文写作期间,你们给予了我许多宝贵的建议和帮助,让我在学术研究的道路上不再孤单。

再次感谢所有在我大学生活中给予我帮助和支持的人们。您们的关怀和鼓励将永远铭刻在我的心中,成为我未来前行的动力。

由于自己的水平有限,毕设仍然存在着很大的缺陷,各位老师若提出意见,我会努力改正。

请关注点赞+私信博主,免费领取项目源码

评论
添加红包

请填写红包祝福语或标题

红包个数最小为10个

红包金额最低5元

当前余额3.43前往充值 >
需支付:10.00
成就一亿技术人!
领取后你会自动成为博主和红包主的粉丝 规则
hope_wisdom
发出的红包
实付
使用余额支付
点击重新获取
扫码支付
钱包余额 0

抵扣说明:

1.余额是钱包充值的虚拟货币,按照1:1的比例进行支付金额的抵扣。
2.余额无法直接购买下载,可以购买VIP、付费专栏及课程。

余额充值