题目描述
给你单链表的头节点 head ,请你反转链表,并返回反转后的链表。
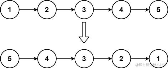
示例 1:

输入: head = [1,2,3,4,5]
输出: [5,4,3,2,1]
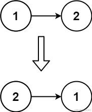
示例 2:

输入: head = [1,2]
输出: [2,1]
示例 3:
输入: head = []
输出: []
提示:
- 链表中节点的数目范围是
[0, 5000] -5000 <= Node.val <= 5000
分析解答
先说整体思路:既然要翻转,也就是指针的指向改变。那么就可以让后一个指向自身,自身再指向null。
而且每一个节点都是相同的操作,直接使用递归即可解决。
结束条件是head == null || head.next == null。代码如下:
/**
* Definition for singly-linked list.
* function ListNode(val, next) {
* this.val = (val===undefined ? 0 : val)
* this.next = (next===undefined ? null : next)
* }
*/
function ListNode(val, next) {
this.val = (val===undefined ? 0 : val)
this.next = (next===undefined ? null : next)
}
/**
* @param {ListNode} head
* @return {ListNode}
*/
var reverseList = function(head) {
if (!head || !head.next) return head;
function reverse(cur, pre) {
while (cur) {
let temp = cur.next;
cur.next = pre;
pre = cur;
cur = temp;
}
return pre;
}
return reverse(head, null)
};
思路拓展
上面使用了递归的操作。下面我们讲讲使用双指针的写法。

双指针 pre 和 cur,不断移动 pre 和 cur(二者同时移动),使得 cur 指向 pre。temp 的作用是防止 cur.next 丢失。
注意要先移动 pre,否则 cur 的值会发生改变。
/**
* Definition for singly-linked list.
* function ListNode(val, next) {
* this.val = (val===undefined ? 0 : val)
* this.next = (next===undefined ? null : next)
* }
*/
function ListNode(val, next) {
this.val = (val===undefined ? 0 : val)
this.next = (next===undefined ? null : next)
}
/**
* @param {ListNode} head
* @return {ListNode}
*/
var reverseList = function(head) {
if (!head || !head.next) return head;
let cur = head;
let pre = null;
let temp = null;
while (cur) {
temp = cur.next;
cur.next = pre;
pre = cur;
cur = temp;
}
return pre;
};
867

被折叠的 条评论
为什么被折叠?



