题目描述
给你一个链表,删除链表的倒数第 n 个结点,并且返回链表的头结点。
示例 1:

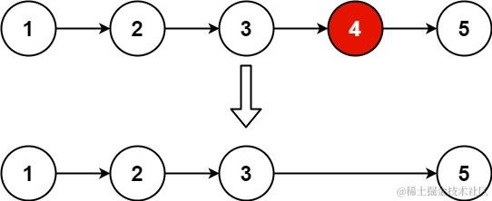
输入: head = [1,2,3,4,5], n = 2
输出: [1,2,3,5]
示例 2:
输入: head = [1], n = 1
输出: []
示例 3:
输入: head = [1,2], n = 1
输出: [1]
提示:
- 链表中结点的数目为
sz 1 <= sz <= 300 <= Node.val <= 1001 <= n <= sz
分析解答
第一眼:这不删除节点吗?我会!
再看一眼:哎呦不对!是倒数第 n 个节点。
然后:emmm,这不一个道理吗!
所以我的思路就是先将倒序转化为正序,用正序的思路去删。如果正序为第 x 个,倒序为第 n 个,那么找找规律就可以发现 x = length + 1 - n。
为了方便,依旧是引入虚拟头节点,既然要删第 x 个,那么就去找第 x - 1 个。
然后,既然没有 length,那就求呗。
let dummyHead = new ListNode(0, head)
let length = 0
while (dummyHead.next != null) {
length++
dummyHead = dummyHead.next
}
dummyHead = new ListNode(0, head)
之后的操作就一个非常普通的删除节点操作。
/**
* Definition for singly-linked list.
* function ListNode(val, next) {
* this.val = (val===undefined ? 0 : val)
* this.next = (next===undefined ? null : next)
* }
*/
/**
* @param {ListNode} head
* @param {number} n
* @return {ListNode}
*/
var removeNthFromEnd = function (head, n) {
let dummyHead = new ListNode(0, head)
let length = 0
while (dummyHead.next != null) {
length++
dummyHead = dummyHead.next
}
dummyHead = new ListNode(0, head)
if ((length + 1 - n) == 1) {
head = head.next;
}
if ((length + 1 - n) == 2) {
dummyHead.next.next = dummyHead.next.next.next
}
if ((length + 1 - n) >= 3) {
for (let i = 1; i < (length + 1 - n); i++) {
dummyHead = dummyHead.next;
}
dummyHead.next = dummyHead.next.next
}
return head
};
思路拓展
大家可以想一想,倒数第 n 个和正序的第 n 个有什么相同之处捏?
对了!就是首(假设为双向链表)尾都是 null!从头往后数和从尾往前数不一个道理吗?

所以思路就是找一对双指针 fast 和 slow,他们在维持一定的位移差的情况下同时移动,fast 一直指到 null(尾),而 slow 刚好是 fast 后面的第 n + 1 个元素,第 n 个刚好是要删除的元素。

/**
* Definition for singly-linked list.
* function ListNode(val, next) {
* this.val = (val===undefined ? 0 : val)
* this.next = (next===undefined ? null : next)
* }
*/
/**
* @param {ListNode} head
* @param {number} n
* @return {ListNode}
*/
var removeNthFromEnd = function(head, n) {
let ret = new ListNode(0, head)
let slow = ret;
let fast = ret;
// fast 和 slow 指针差 n + 1
n++;
while (n-- && fast) fast = fast.next;
while (fast) {
fast = fast.next;
slow = slow.next;
}
slow.next = slow.next.next;
return ret.next;
};
文章讲述了如何在链表中删除倒数第n个节点,提供了两种方法:一种是先将链表倒序处理后删除,另一种是使用快慢指针技巧。作者详细展示了代码实现和思路分析。
368

被折叠的 条评论
为什么被折叠?



