题目描述
144. 二叉树的前序遍历
给你二叉树的根节点 root ,返回它节点值的 前序 **遍历。
示例 1:

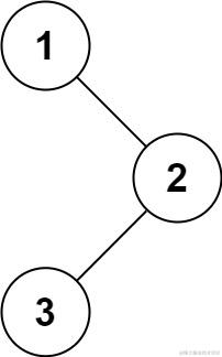
输入: root = [1,null,2,3]
输出: [1,2,3]
示例 2:
输入: root = []
输出: []
示例 3:
输入: root = [1]
输出: [1]
示例 4:

输入: root = [1,2]
输出: [1,2]
示例 5:

输入: root = [1,null,2]
输出: [1,2]
提示:
- 树中节点数目在范围
[0, 100]内 -100 <= Node.val <= 100
进阶: 递归算法很简单,你可以通过迭代算法完成吗?
145. 二叉树的后序遍历
给你一棵二叉树的根节点 root ,返回其节点值的 后序遍历 。
示例 1:

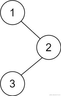
输入: root = [1,null,2,3]
输出: [3,2,1]
示例 2:
输入: root = []
输出: []
示例 3:
输入: root = [1]
输出: [1]
提示:
- 树中节点的数目在范围
[0, 100]内 -100 <= Node.val <= 100
进阶: 递归算法很简单,你可以通过迭代算法完成吗?
94. 二叉树的中序遍历
给定一个二叉树的根节点 root ,返回 它的 中序 遍历 。
示例 1:

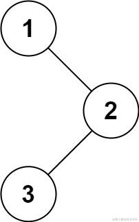
输入: root = [1,null,2,3]
输出: [1,3,2]
示例 2:
输入: root = []
输出: []
示例 3:
输入: root = [1]
输出: [1]
提示:
- 树中节点数目在范围
[0, 100]内 -100 <= Node.val <= 100
进阶: 递归算法很简单,你可以通过迭代算法完成吗?
分析解答
前序遍历
/**
* Definition for a binary tree node.
* function TreeNode(val, left, right) {
* this.val = (val===undefined ? 0 : val)
* this.left = (left===undefined ? null : left)
* this.right = (right===undefined ? null : right)
* }
*/
/**
* @param {TreeNode} root
* @return {number[]}
*/
var preorderTraversal = function(root, res = []) {
if (!root) return res
res.push(root.val)
preorderTraversal(root.left, res)
preorderTraversal(root.right, res)
return res
};
后续遍历
/**
* Definition for a binary tree node.
* function TreeNode(val, left, right) {
* this.val = (val===undefined ? 0 : val)
* this.left = (left===undefined ? null : left)
* this.right = (right===undefined ? null : right)
* }
*/
/**
* @param {TreeNode} root
* @return {number[]}
*/
var postorderTraversal = function(root, res = []) {
if (!root) return res
postorderTraversal(root.left, res)
postorderTraversal(root.right, res)
res.push(root.val)
return res
};
中序遍历
/**
* Definition for a binary tree node.
* function TreeNode(val, left, right) {
* this.val = (val===undefined ? 0 : val)
* this.left = (left===undefined ? null : left)
* this.right = (right===undefined ? null : right)
* }
*/
/**
* @param {TreeNode} root
* @return {number[]}
*/
var inorderTraversal = function(root, res = []) {
if (!root) return res
inorderTraversal(root.left, res)
res.push(root.val)
inorderTraversal(root.right, res)
return res
};
文章详细介绍了如何通过递归和迭代方法实现二叉树的前序、后序和中序遍历,包括相应的函数定义和示例。
1万+

被折叠的 条评论
为什么被折叠?



