题目描述
给你一棵二叉树的根节点 root ,翻转这棵二叉树,并返回其根节点。
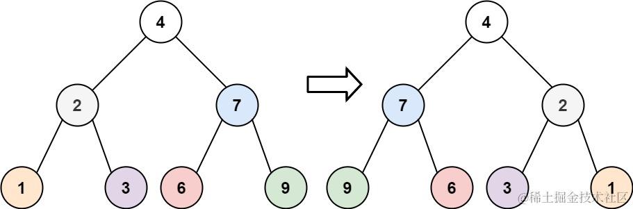
示例 1:

输入: root = [4,2,7,1,3,6,9]
输出: [4,7,2,9,6,3,1]
示例 2:

输入: root = [2,1,3]
输出: [2,3,1]
示例 3:
输入: root = []
输出: []
提示:
- 树中节点数目范围在
[0, 100]内 -100 <= Node.val <= 100
分析解答
比较简单,就是一个递归。
而最好使用前后序遍历,中序有点复杂。当然层序和非递归遍历也可以。
中序遍历可见(讲的很清楚):听说一位巨佬面Google被拒了,因为没写出翻转二叉树 | LeetCode:226.翻转二叉树_哔哩哔哩_bilibili
/**
* Definition for a binary tree node.
* function TreeNode(val, left, right) {
* this.val = (val===undefined ? 0 : val)
* this.left = (left===undefined ? null : left)
* this.right = (right===undefined ? null : right)
* }
*/
/**
* @param {TreeNode} root
* @return {TreeNode}
*/
var invertTree = function(root) {
if (!root) return root
if (root.left || root.right) {
[root.left, root.right] = [root.right, root.left]
}
invertTree(root.left)
invertTree(root.right)
return root
};
333

被折叠的 条评论
为什么被折叠?



