
通过前几期的学习,我们已经学会了排队论的基本概念、生灭过程和Poisson过程,等待制排队模型、混合制排队模型、其他排队模型以及排队系统优的定义与相关求解方法。在实际工作中,我们能发现排队论在经济管理中有着许多应用,本期小编选择了其中一些典型例子,包括等待制排队模型、混合制排队模型以及M/M/1模型中的最优服务率问题,进行详细讲解。

一些常见的等待制模型包括:M/M/1单服务台等待制模型:一个服务台,到达和服务时间都是指数分布;M/M/s多服务台模型:多个服务台,到达和服务时间都是指数分布。这些模型可以用于计算系统的性能指标,如平均等待时间、系统繁忙度、平均服务时间等。通过分析这些指标,可以优化系统,提高效率,降低等待时间,从而提升顾客体验。
1、问题描述
工厂中只有一个服务台,工件按泊松流到达服务台,平均间隔时间为10分钟,假设对每一工件的服务所需时间服从负指数分布,平均服务时间8分钟。求:
(1)工件在系统内等待服务的平均数和工件在系统内平均逗留时间;
(2)若要求在90%的把握使工件在系统内的逗留时间不超过30分钟,则工件的平均服务时间最多是多少;
(3)若每一工件的服务分两段,每段所需时间都服从负指数分布,平均都为4分钟,在这种情况下,工件在系统内的平均数是多少?
2、问题解析
由题目可知该问题是M/M/1单服务台等待制模型,其中到达率λ=1/10,服务率μ=1/8,服务强度ρ=0.8。
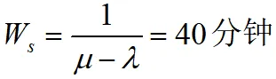
(1)工件在系统内等待服务的平均数即排队长

工件在系统中的平均逗留时间

(2)工件在系统中逗留时间不超过30分钟的概率

得

故工件得平均服务时间最多为5.6分钟。
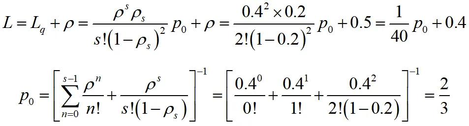
(3)此时模型变为M/M/2等待制排队模型,其中s=2服务率μ1=μ2=0.25=μ,服务强度ρ=λ/μ=0.4,ρs=λ/2μ=0.2,则平均排队长

故系统中的工件数为

小结
单服务台模型与多服务台模型的区别:
(1)服务台数量:
单服务台模型:只有一个服务台为顾客提供服务
多服务台模型:包含多个服务台,每个服务台都可以同时为顾客提供服务
(2)服务率:
单服务台模型:取决于单个服务台的处理能力
多服务台模型: 由所有服务台的总体处理能力决定,取决于每个服务台的速率以及服务台的数量

在现实生活中,很多服务系统都应用混合制排队模型,当顾客到达时,服务台不空就排队,若排队位置已满就离去,如果系统的最大容量为K ,对于单服务台的情形,排队等待的顾客最多为K-1,在某时刻,顾客到达时,如系统中已有K个顾客,那么这个顾客就被拒绝进入系统。
1、问题描述
单人理发馆有 6 个椅子接待人们排队等待理发。当 6个椅子都坐满时,后来到的顾客不进店就离开。顾客平均到达率为 3人/小时,理发平均每人15 分钟。
(1)求某顾客到达理发馆就能理发的概率;
(2)求需要等待的顾客数的期望值;
(3)求有效到达率;
(4)求顾客在理发馆内逗留的期望时间;
(5)在可能到来的顾客中不等待就离开的概率。
2、问题解析
根据题目可知,该问题是该模型为K=7的M/M/1/K的模型,可得到达率λ=3人/小时,服务率μ=4人/小时,服务强度ρ=λ/μ=0.75
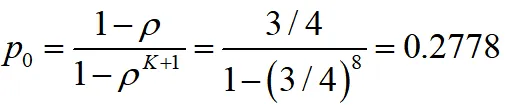
(1)到达理发馆就能理发情形相当于理发馆内没有顾客,所求概率

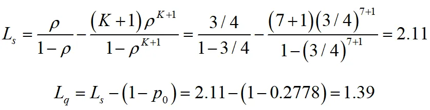
(2)需要等待的顾客数的期望值,就是平均排队长

(3)顾客的有效到达率为

(4)顾客在理发馆内逗留的期望时间就是平均逗留时间

(5)顾客不等待就离开的概率,即系统拒绝率也是系统满员率

这也是理发馆的损失率为3.7%。
总结
等待制模型与混合制模型的区别
等待制模型:顾客源无限,系统空间无限,允许无限排队,当顾客到达时所有的服务台均被占用,顾客就排队等待,直到接受完服务才离去。
混合制模型:顾客源无限,系统空间有限,不允许无限排队,混合制模型既有等待又有损失,在限度以内就排队等待,超过一定限度就离去。

在M/M/1队列模型中,最优服务率通常是指能够使系统达到某种性能指标的最佳服务率。这个性能指标可能是最小的平均等待时间、最小的系统繁忙度或最大的系统通过率。具体来说,M/M/1模型的最优服务率是在给定到达率的情况下,通过调整服务率μ来实现某个优化目标。
1、问题描述
某公司医务室为职工检查身体,职工的到达服从泊松分布,每小时平均到达50人,若职工不能按时体检,造成的损失为每小时每人平均60元。体检所花时间服从指数分布负指数分布,平均每小时服务率为μ,每人的体检费为30元,试确定使公司总支出最少的参数μ。
2、问题解析
该问题求解公司总支出最少的参数μ,即平均服务率的最优值,根据题意可知,该排队模型为M/M/1模型,那么单位时间服务成本与顾客在系统逗留费用之和
![]()
式中Cs为当μ=1时服务机构单位时间的费用;Cw为每个顾客在系统停留单位时间的费用。则代入模型的平均队长公式可得

对μ进行求导,并令导数为零,得

故

注意
M/M/1模型是相对简单的排队模型,因此最优服务率的解通常可以通过解析方法找到,对于更复杂的排队模型,可能需要使用数值方法进行求解。
以上就是本期排队论例题讲解的全部内容啦,通过对这一期的学习,相信大家一定能够加深对排队论的理解,进而在生活实践中学会应用!
作者 | 林鑫 马书良
责编 | 王一静
审核 | 徐小峰


5038

被折叠的 条评论
为什么被折叠?



