当频率很高时,电容不再被当做集总参数看待,寄生参数的影响不可忽略。寄生参数包括Rs,等效串联电阻(ESR)和Ls等效串联电感(ESL)。
电容器实际等效电路如图1所示,其中C为静电容,1Rp为泄漏电阻,也称为绝缘电阻,值越大(通常在GΩ级以上),漏电越小,性能也就越可靠。因为Pp通常很大(GΩ级以上),所以在实际应用中可以忽略,Cda和Rda分别为介质吸收电容和介质吸收电阻。介质吸收是一种有滞后性质的内部电荷分布,它使快速放电后处于开路状态的电容器恢复一部分电荷。
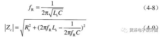
ESR和ESL对电容的高频特性影响最大,所以常用如图1(b)所示的串联RLC简化模型,可以计算出谐振频率和等效阻抗:
▲图1 去耦电容模型图
电容器串联RLC模型的频域阻抗图如下图2所示,电容器在谐振频率以下表现为容性;在谐振频率以上时表现为感性,此时的电容器的去耦作用逐渐减弱。同时还发现,电容器的等效阻抗随着频率的增大先减小后增大,等效阻抗最小值为发生在串联谐振频率处的ESR。
▲图2 电容器串联RLC模型的频域阻抗图
由谐振频率式(4-8)可得出,容值大小和ESL值的变化都会影响电容器的谐振频率,如图3所示。由于电容在谐振点的阻抗最低,所以设计时尽量选用fR和实际工作频率相近的电容。在工作频率变化范围很大的环境中,可以同时考虑一些fR较小的大电容与fR较大的小电容混合使用。
▲图3 容值和ESL的变化对电容器频率特性的影响




7246

被折叠的 条评论
为什么被折叠?



