
原函数的微分为被积函数,被积函数的积分则为原函数。因为被积函数的积分可以出现很多个不确定的原函数故称为不定积分
不定积分的概念
简介:微分法的逆运算就是积分法,正如加法的逆运算是减法一样
原函数和不定积分
|| 定义一:原函数的定义
设函数f和F在区间 I 上都有定义,若F’(x) = f(x),x∈ I,则称F是f 在区间 I 上的原函数
|| 定理1:什么样的函数具有原函数
若函数 f 在区间 I 上 连续,则 f 在I 上有原函数F,即F’(x) = f(x), x∈ I
|| 定理2:原函数的不确定
设F是f 在区间 I 上的原函数,那么:F+c(常数) 也是f 在I上的原函数
|| 定义二:不定积分的定义
函数f在区间I 上的全体原函数称为f 在 I 上的不定积分,记作 ∫ f(x)dx。
其中的∫称为积分号,f(x)称为被积函数,f(x)dx称为被积表达式,x为积分变量
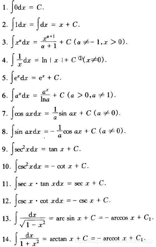
|| 基本积分表:求解一个函数的不定积分往往需要按照微分法的已知结果去试探
以下是根据导数公式转换成的积分表:

|| 定理3:不定积分中的线性运算
若函数 f 和 g 在区间I上都存在有原函数,k1,k2为两个常数,则k1f+k2g 在上同样存在原函数,且

复杂的积分法
由复合函数的求导法推出换元积分法
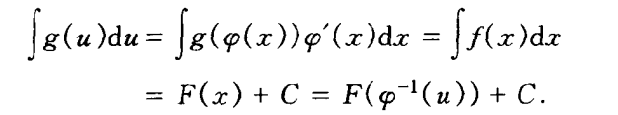
|| 定理4:换元积分法


|| 第一换元积分法:第一换元积分公式(正换元)
(是对复合函数的微分形式求不定积分,即得复合函数)

|| 第二换元积分法:第二换元积分公式(逆换元)

由乘法的求导法推出的分部积分法
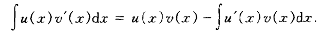
|| 定理5:分部积分法
若u(x),v(x)可导,不定积分∫u’(x)v(x)dx存在,则∫u(x)v’(x)dx也存在,并有分部积分公式

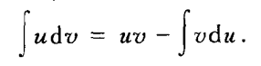
其简写为:
特殊类型的不定积分
有理函数的不定积分是要进行部分因式分解
非有理函数的不定积分是通过换元转换为有理函数的形式再进行不定积分
有理函数的不定积分
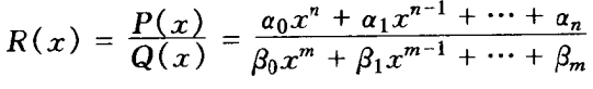
|| 有理函数的定义:由两个多项式函数的商所表示的函数,其一般形式为:

系数a,β都为常数,且a0,β0都不为0,m,n为非负整数
当m>n时该函数称为真分式,当m<n时该函数称为假分式,而假分式可以化为一个多项式和一个真分式之和 (我们只需研究真分式的不定积分就好了)
|| 真分式的不定积分求法:主要思想是将真分式划分成多个部分分式之和(部分因式分解),再求解各个分式的不定积分

三角函数有理式的不定积分:求其不定积分的核心是通过换元化为有理函数形式
|| 有理式的定义:
由u(x),v(x)及常数经过有限次四则运算所得到的函数称为u(x),v(x)的有理式,并用R( u(x),v(x))表示。
而三角函数有理式即为R(sin(x),cos(x))
|| 求三角函数有理式的不定积分:我们通常使用变换t = tan(x/2),可把它化为有理函数的不定积分
无理根式的不定积分:求其不定积分的核心是通过换元化为有理函数形式
|| 无理根式的定义: R(x, [(ax+b)/(cx+d)]1/n ) 或 R(x,(ax2+bx+c)1/2 )
||求第一种无理根式的不定积分:我们通常使用变换t = [(ax+b)/(cx+d)]1/n,可把它化为有理函数的不定积分
|| 求第二种无理根式的不定积分:由分为三种情况

|| 欧拉变换:换元时产生的变化若能直接将无理式化为有理形式,这类变换称为欧拉变换
本文介绍了不定积分的概念,强调了原函数与不定积分的关系,阐述了不定积分的基本性质和计算方法,包括换元积分法和分部积分法。同时,讨论了有理函数、三角函数有理式和无理根式不定积分的特殊求解技巧,如部分因式分解和欧拉变换。
2648

被折叠的 条评论
为什么被折叠?



