给定一个已排序的链表的头 head , 删除原始链表中所有重复数字的节点,只留下不同的数字 。返回 已排序的链表 。
示例 1:

输入:head = [1,2,3,3,4,4,5]
输出:[1,2,5]
示例 2:

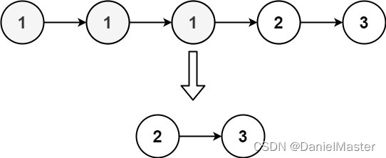
输入:head = [1,1,1,2,3]
输出:[2,3]
提示:
- 链表中节点数目在范围
[0, 300]内 -100 <= Node.val <= 100- 题目数据保证链表已经按升序 排列
解题思路
若出现重复节点
定义一个辅助节点pre,可避免单独讨论头结点的情况
将目标节点cur挂载在此节点下,即pre为cur的头节点
当链表中有元素相等时,进行遍历,一直到不相等为止跳出循环
这个时候cur的值为最后一次重复节点的值,取它的下一个节点作为不重复的值
将这个不重复的值拼在pre上,遍历下一个即可若不重复
直接复制继续遍历即可
实现代码
package com.blog.leetcode;
/**
* @Author Daniel
* @Date: 2022/11/29 16:00
* @Description LeetCode82.删除排序链表中的重复元素 II
**/
public class Solution {
public static class ListNode {
int val;
ListNode next;
ListNode() {
}
ListNode(int val) {
this.val = val;
}
ListNode(int val, ListNode next) {
this.val = val;
this.next = next;
}
}
// 删除排序链表中的重复元素
public static ListNode deleteDuplicates(ListNode head) {
if (head == null || head.next == null) {
return head;
}
// 辅助头节点,值可以任意取
ListNode headR = new ListNode(0);
// 将目标链表挂载在辅助头结点下
headR.next = head;
// 辅助链表
ListNode pre = headR;
// 目标链表
ListNode cur = head;
while (cur != null) {
// 相等时
if (cur.next != null && cur.val == cur.next.val) {
// 循环,一直到不相等后退出
while (cur.next != null && cur.val == cur.next.val) {
cur = cur.next;
}
// 退出后的cur的值为重复节点的最后一个值,所以得再往后推一个值
cur = cur.next;
// 将不重复的值挂在pre节点下
pre.next = cur;
// 不等时,直接赋值,继续遍历
} else {
pre = cur;
cur = cur.next;
}
}
// 返回时,去掉头结点0
return headR.next;
}
public static void main(String[] args) {
int[] arr = new int[]{1, 1, 2, 3};
ListNode root = array2ListNode(arr);
ListNode deleteNode = deleteDuplicates(root);
printListNode(deleteNode);
}
// 数组转链表
private static ListNode array2ListNode(int[] arr) {
ListNode root = new ListNode(arr[0]);
// 为了不改变节点本身的值,创建一个child节点用来给子节点赋值
ListNode child = root;
for (int i = 1; i < arr.length; i++) {
ListNode newNode = new ListNode(arr[i]);
// 调用.next方法将新节点传递给child节点
child.next = newNode;
// 将新节点作为下一次循环的父节点
child = newNode;
}
return root;
}
// 打印链表
private static void printListNode(ListNode deleteNode) {
while (deleteNode != null) {
System.out.println(deleteNode.val);
deleteNode = deleteNode.next;
}
}
}
1289

被折叠的 条评论
为什么被折叠?



