文章目录
1.合并两个有序链表
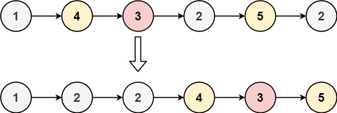
将两个升序链表合并为一个新的 升序 链表并返回。新链表是通过拼接给定的两个链表的所有节点组成的。
示例 1:

输入:l1 = [1,2,4], l2 = [1,3,4]
输出:[1,1,2,3,4,4]
示例 2:
输入:l1 = [], l2 = []
输出:[]
示例 3:
输入:l1 = [], l2 = [0]
输出:[0]
提示:
- 两个链表的节点数目范围是
[0, 50] -100 <= Node.val <= 100l1和l2均按 非递减顺序 排列
public ListNode mergeTwoLists(ListNode list1, ListNode list2) {
// 定义虚拟头节点以及指针
ListNode dummy = new ListNode(0), p = dummy;
ListNode p1 = list1, p2 = list2;
// 当给定的两个链表不为空时,表示链表的节点没有遍历完
while (p1 != null && p2 != null) {
// 比较.val即节点的值,将较小的值放在p2
if (p1.val > p2.val) {
// p2节点赋值给p的下一个节点
p.next = p2;
// p2指针不断前进
p2 = p2.next;
// 将较大的值放在p1
} else {
p.next = p1;
// p1指针不断前进
p1 = p1.next;
}
// p指针不断前进
p = p.next;
}
/*
当不满足循环跳出时,表示p1与p2同时不为空,再进行分开判断;
如果此时p1单独不为空,p2一定为空,意味着p1比p2的长度长;
再由于p1是升序链表,后面的节点只会比前面的节点大,所以直接拼接到p指针的下一个节点即可
*/
if (p1 != null) {
p.next = p1;
}
// 与上面同理
if (p2 != null) {
p.next = p2;
}
// 去除虚拟头节点返回
return dummy.next;
}
这是一个简单难度的题,其中使用到了一个双指针算法中常用到的虚拟头结点(Dummy Node)技巧。
虚拟头结点是一个额外的节点,不存储任何实际的值。它位于实际链表的头结点之前,并链接到实际链表的头结点。通过引入虚拟头结点,我们可以避免对头结点进行特殊处理,从而使代码更加简洁和易于理解。
什么时候需要用虚拟头结点?
当你需要创造一条新链表的时候,可以使用虚拟头结点简化边界情况的处理。
-
时间复杂度分析
最差情况下:在最坏情况下,两个给定链表的长度都为 n。在遍历两个链表并比较节点值的过程中,每次都选择较小的值进行拼接,并移动对应的指针。因此,需要遍历全部的 n 个节点,并将它们逐个拼接起来。所以,在最坏情况下,时间复杂度为 O(n)。
最好情况下:在最好情况下,其中一个给定链表为空,即其中一个链表的长度为 0。此时,另一个链表的所有节点直接拼接到结果链表中,无需进行任何比较和移动操作。因此,时间复杂度为 O(1)。
一句话记解法
双指针解决,大小节点的各放一个链表
2.单链表的分解
给你一个链表的头节点 head 和一个特定值 x ,请你对链表进行分隔,使得所有 小于 x 的节点都出现在 大于或等于 x 的节点之前。
你应当 保留 两个分区中每个节点的初始相对位置。
示例 1:

输入:head = [1,4,3,2,5,2], x = 3
输出:[1,2,2,4,3,5]
示例 2:
输入:head = [2,1], x = 2
输出:[1,2]
提示:
- 链表中节点的数目在范围
[0, 200]内 -100 <= Node.val <= 100-200 <= x <= 200
再解释一下题目,示例1中原链表为 1 -> 4 -> 3 -> 2 -> 5 -> 2,指定数为3,要求是将3右边比3小的数移到左边来,其他数字不变,也就是将右边的两个2移到左边过来;左边要求为1 -> 2 -> 2 ->4 而不是1 -> 4 -> 2 -> 2的因为,题目要求所有小于3的节点要出现在大于或者等于3的节点之前,这里的4 大于 3了,所以要在4的前面
public ListNode partition(ListNode head, int x) {
ListNode leftNode = new ListNode(0), rightNode = new ListNode(0);
ListNode p = head, p1 = leftNode, p2 = rightNode;
// 当节点不为空时结束循环
while (p != null) {
// 将比指定值大的节点放在右边链表
if (p.val >= x) {
p2.next = p;
p2 = p2.next;
} else {
p1.next = p;
p1 = p1.next;
}
/*
在这个过程中,p指针指向当前处理的节点,temp指向下一个待处理的节点;
将p指向temp,就可以断开p节点的next指针;
将p的下个节点置空,并作为下次循环的入参
*/
ListNode temp = p.next;
p.next = null;
p = temp;
}
p1.next = rightNode.next;
return leftNode.next;
}
这个题属于中等难度的题,这里是直接使一个链表中的元素大小都小于 x,另一个链表中的元素都大于等于 x,处理方法与上面合并两个有序链表的非常相似。
-
时间复杂度分析
最差情况下:在最坏情况下,即链表中的所有节点都需要被遍历,并且每个节点都需要被移动到新的链表中。因此,时间复杂度为 O(n),其中 n 表示链表的长度。
最好情况下:在最好情况下,即链表已经按照给定值进行了分区,不需要进行任何操作,只需返回原始链表。因此,时间复杂度为 O(1)。
一句话记解法
双指针解决,大小节点各一个链表,并断开原链表
3.合并 k 个有序链表
给你一个链表数组,每个链表都已经按升序排列。
请你将所有链表合并到一个升序链表中,返回合并后的链表。
示例 1:
输入:lists = [[1,4,5],[1,3,4],[2,6]]
输出:[1,1,2,3,4,4,5,6]
解释:链表数组如下:
[
1->4->5,
1->3->4,
2->6
]
将它们合并到一个有序链表中得到。
1->1->2->3->4->4->5->6
示例 2:
输入:lists = []
输出:[]
示例 3:
输入:lists = [[]]
输出:[]
提示:
k == lists.length0 <= k <= 10^40 <= lists[i].length <= 500-10^4 <= lists[i][j] <= 10^4lists[i]按 升序 排列lists[i].length的总和不超过10^4
public ListNode mergeKLists(ListNode[] lists) {
// 注意为空的判断不能丢
if (lists.length == 0) return null;
// 虚拟头结点
ListNode dummy = new ListNode(-1);
ListNode p = dummy;
// 优先级队列,最小堆(a.val - b.val)为最小堆,(b.val - a.val)为最大堆
PriorityQueue<ListNode> pq = new PriorityQueue<>(lists.length, (a, b) -> (a.val - b.val));
// 将 k 个链表的头结点加入最小堆
for (ListNode head : lists) {
if (head != null)
pq.add(head);
}
// 因为每次poll会弹出节点,当pq中所有节点弹出时,循环结束
while (!pq.isEmpty()) {
// 获取最小节点所在的整个链表,并将其弹出pq
ListNode node = pq.poll();
// 不断的连接最小值,拼接结果
p.next = node;
// 判断最小节点所在的链表下面是否还有其他节点,如果有的话,就再把剩下的也就是node.next再放回去
if (node.next != null) {
/*
这里如果输入3组数据
那么pq每一次循环只有2组数组,并且其中变化的1组数组,较于上一次循环少了最小值(被弹出);
另外的一组被poll拉出来赋值给p.next,并被弹出最小堆
*/
pq.add(node.next);
}
//p指针不断前进
p = p.next;
}
return dummy.next;
}
这是一道困难难度的题,这里使用到优先级队列(二叉堆)这种数据结构的解法,把链表节点放入一个最小堆,就可以每次获得 k 个节点中的最小节点
优先级队列是一种特殊的数据结构,它可以存储具有优先级的元素,并且每次取出的元素都是具有最高(或最低)优先级的元素。
二叉堆是一种常见的实现优先级队列的数据结构。它是一个完全二叉树(即除了最后一层外,所有层都被填满,且最后一层从左到右连续填充),并且满足堆属性:对于最小堆来说,父节点的值总是小于或等于其子节点的值;对于最大堆来说,父节点的值总是大于或等于其子节点的值。
在 Java 中,优先级队列(二叉堆)的实现是通过
java.util.PriorityQueue类来实现的。它是 Java 集合框架提供的一种数据结构,用于实现优先级队列。
上面有用到PriorityQueue中的add和poll方法
-
add(element)方法用于将指定的元素添加到优先级队列中。它将元素插入到队列的末尾,并根据元素的优先级进行调整,以使堆属性得到维护。 -
poll()方法用于从优先级队列中弹出并返回队列中具有最高(或最低)优先级的元素。它首先移除队列的顶部元素,然后根据堆属性将新的顶部元素下移至正确位置,以维持堆的性质。如果队列为空,则返回null -
时间复杂度分析
最差情况下:在最差情况下,即所有链表的总长度为 n,每次从优先级队列中弹出节点需要 O(logk) 的时间复杂度。而在总共有 n 个节点的情况下,有 O(n) 次循环迭代。因此,最差情况下的时间复杂度为 O(n logk)
最好情况下:在最好情况下,即其中一个链表为空,直接返回空结果,时间复杂度为 O(1)
一句话记解法
使用最小优先级队列,边poll边add,指针向前
4.单链表的倒数第 N 个节点
给你一个链表,删除链表的倒数第 n 个结点,并且返回链表的头结点。
示例 1:

输入:head = [1,2,3,4,5], n = 2
输出:[1,2,3,5]
示例 2:
输入:head = [1], n = 1
输出:[]
示例 3:
输入:head = [1,2], n = 1
输出:[1]
提示:
- 链表中结点的数目为
sz 1 <= sz <= 300 <= Node.val <= 1001 <= n <= sz
假设链表的长度为l,我们要找到倒数第n个节点,倒数第n个节点就是正数第l-n+1个节点; 先让p1走n步; p1再走l-n步就到了末尾不存在的空指针,同时让p2从头结点开始走l-n步,p2就停留在了第l-n+1个节点上,即倒数第n个节点;举例说明,1 -> 2 -> 3 -> 4 -> 5 -> 6 链表长度l=6,找倒数第n=2个节点,即正数第6-2+1=5个节点; 先让p1走2步,由于指针p初始位置在节点1,所以到达节点3; p1再走6-2=4步就到了末尾不存在的空指针,同时让p2从头结点开始走6-2=4步,p2就停留在了第6-2+1=5个节点上,即倒数第2个节点;最后需要注意的是,我们删除导数第n个节点时,需要先找到导数第n+1个节点才能进行删除,所以代码中使用到n的地方,我们写为n+1
public ListNode removeNthFromEnd(ListNode head, int n) {
// 删除节点,这里采用虚拟头结点比较合适
ListNode dummy = new ListNode(0);
// 将要删除的节点拼到虚拟头结点后
dummy.next = head;
ListNode p1 = dummy, p2 = dummy;
// 要删除倒数第n个节点,得先找到n+1个节点,n+1表示,遍历到要删除节点的前一个节点
for (int i = 0; i < n + 1; i++) {
p1 = p1.next;
}
// p1为空的时候停下,表示链表遍历完了
while (p1 != null) {
p1 = p1.next;
p2 = p2.next;
}
// 将倒数第n个节点的值跳过,直接连接到再下一个节点,完成删除第n节点的操作
p2.next = p2.next.next;
return dummy.next;
}
便于理解代码也能写成两个方法
public ListNode findFromNode(ListNode node, int n) {
ListNode p1 = node,p2 = node;
// 找到倒数第n个节点
for (int i = 0; i < n; i++) {
p1 = p1.next;
}
// p1为空的时候停下,表示链表遍历完了
while (p1 != null) {
p2 = p2.next;
p1 = p1.next;
}
return p2;
}
public ListNode removeNthFromEnd(ListNode head, int n) {
// 删除节点,这里采用虚拟头结点比较合适
ListNode dummy = new ListNode(0);
// 将要删除的节点拼到虚拟头结点后
dummy.next = head;
// 注意,这里传参不要写成head
ListNode p2 = findFromNode(dummy, n + 1);
// 将倒数第n个节点的值跳过,直接连接到再下一个节点,完成删除第n节点的操作
p2.next = p2.next.next;
return dummy.next;
}
这是一道中等难度的题,可能你会说,这里只需要先for循环得出长度,然后再for循环将倒数第n个节点,转换为整数第l-n+1个节点就行,l表示链表的长度,没错这样是可以的。但是如果是出现在面试中,面试官更希望你能用一次遍历解决
-
时间复杂度分析
最差情况下:在最差情况下,链表的长度为N,要删除的节点位于链表的末尾。在这种情况下,算法需要遍历完整个链表,以找到要删除节点的前一个节点。因此,遍历的时间复杂度为O(N)
最好情况下:在最好情况下,链表的长度为N,要删除的节点位于链表的开头。在这种情况下,算法只需要遍历一次即可找到要删除节点的前一个节点,并进行删除操作。因此,遍历的时间复杂度为O(1)
一句话记解法
先找倒数第n个节点,再找n+1,删除即跳过n的值
5.单链表的中点
给你单链表的头结点 head ,请你找出并返回链表的中间结点。
如果有两个中间结点,则返回第二个中间结点。
示例 1:

输入:head = [1,2,3,4,5]
输出:[3,4,5]
解释:链表只有一个中间结点,值为 3 。
示例 2:

输入:head = [1,2,3,4,5,6]
输出:[4,5,6]
解释:该链表有两个中间结点,值分别为 3 和 4 ,返回第二个结点。
提示:
- 链表的结点数范围是
[1, 100] 1 <= Node.val <= 100
public ListNode middleNode(ListNode head) {
// 快慢指针
ListNode slow = head, fast = head;
// 这里只要通过快指针来判断是否到达末尾即可,要同时2个节点不为空才循环
while (fast != null && fast.next != null) {
slow = slow.next;
fast = fast.next.next;
}
// 直接返回慢指针则为链表的中点
return slow;
}
这是一道简单难度的题,问题的关键在于同时使用两个快慢指针,每当慢指针 slow 前进一步,快指针 fast 就前进两步,这样,当 fast 走到链表末尾时,slow 就指向了链表中点。当链表长度为奇数时,慢指针 slow 恰好指向链表的中间节点。当链表长度为偶数时,慢指针 slow 将会停在中间两个节点的第二个节点上
-
时间复杂度分析
最差情况下: 在最差情况下,链表的长度为N。由于快指针每次移动两个节点,慢指针每次移动一个节点,所以当快指针到达链表末尾时,慢指针正好位于中间节点。因此,整个过程需要遍历整个链表一次。所以,时间复杂度为O(N)
最好情况下: 在最好情况下,链表的长度为N。如果链表长度为奇数,那么快指针会比慢指针先到达末尾,而慢指针正好位于中间节点。如果链表长度为偶数,那么快指针会比慢指针先到达倒数第二个节点,而慢指针正好位于中间的两个节点中的第一个。无论是奇数还是偶数,算法只需要遍历一次即可找到中间节点。因此,时间复杂度为O(N)
一句话记解法
快慢指针,以快指针为空作为条件
6.判断链表是否包含环
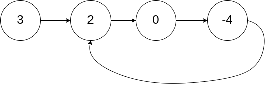
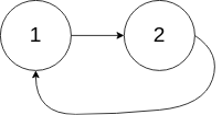
给定一个链表的头节点 head ,返回链表开始入环的第一个节点。 如果链表无环,则返回 null。
如果链表中有某个节点,可以通过连续跟踪 next 指针再次到达,则链表中存在环。 为了表示给定链表中的环,评测系统内部使用整数 pos 来表示链表尾连接到链表中的位置(索引从 0 开始)。如果 pos 是 -1,则在该链表中没有环。注意:pos 不作为参数进行传递,仅仅是为了标识链表的实际情况。
不允许修改 链表。
示例 1:

输入:head = [3,2,0,-4], pos = 1
输出:返回索引为 1 的链表节点
解释:链表中有一个环,其尾部连接到第二个节点。
示例 2:

输入:head = [1,2], pos = 0
输出:返回索引为 0 的链表节点
解释:链表中有一个环,其尾部连接到第一个节点。
示例 3:

输入:head = [1], pos = -1
输出:返回 null
解释:链表中没有环。
public ListNode detectCycle(ListNode head) {
ListNode fast, slow;
fast = slow = head;
while (fast != null && fast.next != null) {
fast = fast.next.next;
slow = slow.next;
// 如果快慢指针相遇说明在进行无限循环即存在环
if (fast == slow) break;
}
// 当上面退出循环后,看是否遇到空指针,遇到了就代表没有环
if (fast == null || fast.next == null) {
return null;
}
// 慢指针重新指向头节点
slow = head;
// 快慢指针同步前进,当两个指针相等时,相交点就是环起点
while (slow != fast) {
fast = fast.next;
slow = slow.next;
}
return slow;
}
这是一道中等难度的题,属于一个经典问题,属于上面单链表的中点的延伸,在快慢指针相遇的情况下说明一定有环,重新将慢指针指向头结点后,相交点就是环的起点了
-
时间复杂度分析
最差情况下: 在最差情况下,链表中存在环,且环的长度为N。快指针每次移动两个节点,慢指针每次移动一个节点,直到它们相遇为止。在这种情况下,整个过程需要遍历整个链表以确定是否存在环,这需要O(N)的时间复杂度。之后,当慢指针重新指向头节点后,快指针和慢指针再次同步前进,直到它们相遇在环的起点。由于环的长度为N,所以在最坏情况下,这部分过程需要再次遍历整个环,时间复杂度为O(N)。因此,最坏情况下的总时间复杂度为O(N)
最好情况下: 在最好情况下,链表中不存在环,即链表是一个单链表。在这种情况下,快指针会先到达链表末尾,而慢指针会到达链表的最后一个节点。因此,在第一次循环中,算法就会检测到快慢指针相遇,然后返回null,表示没有环存在。所以,在最好情况下,算法只需要遍历一次链表。因此,最好情况下的时间复杂度为O(N)
一句话记解法
快慢指针判断是否有环,慢指针重新指向头结点
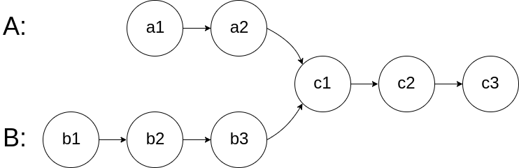
7.两个链表是否相交
给你两个单链表的头节点 headA 和 headB ,请你找出并返回两个单链表相交的起始节点。如果两个链表不存在相交节点,返回 null 。
图示两个链表在节点 c1 开始相交
题目数据 保证 整个链式结构中不存在环。
注意,函数返回结果后,链表必须 保持其原始结构 。
自定义评测:
评测系统 的输入如下(你设计的程序 不适用 此输入):
intersectVal- 相交的起始节点的值。如果不存在相交节点,这一值为0listA- 第一个链表listB- 第二个链表skipA- 在listA中(从头节点开始)跳到交叉节点的节点数skipB- 在listB中(从头节点开始)跳到交叉节点的节点数
评测系统将根据这些输入创建链式数据结构,并将两个头节点 headA 和 headB 传递给你的程序。如果程序能够正确返回相交节点,那么你的解决方案将被 视作正确答案 。
示例 1:
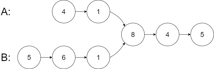
输入:intersectVal = 8, listA = [4,1,8,4,5], listB = [5,6,1,8,4,5], skipA = 2, skipB = 3
输出:Intersected at '8'
解释:相交节点的值为 8 (注意,如果两个链表相交则不能为 0)。
从各自的表头开始算起,链表 A 为 [4,1,8,4,5],链表 B 为 [5,6,1,8,4,5]。
在 A 中,相交节点前有 2 个节点;在 B 中,相交节点前有 3 个节点。
— 请注意相交节点的值不为 1,因为在链表 A 和链表 B 之中值为 1 的节点 (A 中第二个节点和 B 中第三个节点) 是不同的节点。换句话说,它们在内存中指向两个不同的位置,而链表 A 和链表 B 中值为 8 的节点 (A 中第三个节点,B 中第四个节点) 在内存中指向相同的位置。
示例 2:
输入:intersectVal = 2, listA = [1,9,1,2,4], listB = [3,2,4], skipA = 3, skipB = 1
输出:Intersected at '2'
解释:相交节点的值为 2 (注意,如果两个链表相交则不能为 0)。
从各自的表头开始算起,链表 A 为 [1,9,1,2,4],链表 B 为 [3,2,4]。
在 A 中,相交节点前有 3 个节点;在 B 中,相交节点前有 1 个节点。
示例 3:
输入:intersectVal = 0, listA = [2,6,4], listB = [1,5], skipA = 3, skipB = 2
输出:null
解释:从各自的表头开始算起,链表 A 为 [2,6,4],链表 B 为 [1,5]。
由于这两个链表不相交,所以 intersectVal 必须为 0,而 skipA 和 skipB 可以是任意值。
这两个链表不相交,因此返回 null 。
提示:
listA中节点数目为mlistB中节点数目为n1 <= m, n <= 3 * 1041 <= Node.val <= 1050 <= skipA <= m0 <= skipB <= n- 如果
listA和listB没有交点,intersectVal为0 - 如果
listA和listB有交点,intersectVal == listA[skipA] == listB[skipB]
**进阶:**你能否设计一个时间复杂度 O(m + n) 、仅用 O(1) 内存的解决方案?
public ListNode getIntersectionNode(ListNode headA, ListNode headB) {
ListNode p1 = headA, p2 = headB;
// 这题思路比较清洗和简单,将两个链表连起来即可,两个指针相遇时表示找到了相交的节点
while (p1 != p2) {
if (p1 != null)
p1 = p1.next;
// p1为空后就连上headB
else
p1 = headB;
if (p2 != null)
p2 = p2.next;
// p2为空后就连上headA
else
p2 = headA;
}
// 返回任意一个指针即可
return p1;
}
这是一道比较简单的题目,题目描述的还是比较清晰的,解决这个问题的关键是,通过某些方式,让 p1 和 p2 能够同时到达相交节点 c1
- 时间复杂度分析
在最差情况下,即两个链表没有相交的节点。首先需要遍历整个链表 headA,然后将指针 p1 连接到链表 headB 的头部,继续遍历整个链表 headB。接着,需要再次遍历整个链表 headA。因此,在最差情况下,需要进行三次完整的链表遍历,时间复杂度为 O(m + n),其中 m 和 n 分别表示两个链表的长度
在最好情况下,即两个链表的首节点就是相交的节点。首先需要一次遍历就可以找到相交的节点,即指针 p1 和 p2 相遇。因此,在最好情况下,时间复杂度为 O(1)
一句话记解法
双指针解决,遍历完当前链表再拼接剩下链表遍历
8.附加的main代码
笔者喜欢将算法代码写完后,放到编译器的main里面去跑,方便debug去分析和学习。1-5题放在main中是比较简单的,直接创建链表调用算法的方法打印即可,这里给出第5题作为示例,1-4题同理,主要是6,7题,下面main中的输入均为力扣运行时所有的测试案例
5.单链表的中点
package blog.linkedlist;
/**
* @Author Daniel
* @Date: 2023/08/14 16:00
* @Description LeetCode876.链表的中间结点
**/
public class MiddleNode {
public ListNode middleNode(ListNode head) {
// 快慢指针
ListNode slow = head, fast = head;
// 这里只要通过快指针来判断是否到达末尾即可,要同时2个节点不为空才循环
while (fast != null && fast.next != null) {
slow = slow.next;
fast = fast.next.next;
}
// 直接返回慢指针则为链表的中点
return slow;
}
public static void main(String[] args) {
int[] testCase1 = {1, 2, 3, 4, 5};
int[] testCase2 = {1, 2, 3, 4, 5, 6};
MiddleNode middleNode = new MiddleNode();
middleNode.print(middleNode.middleNode(middleNode.array2ListNode(testCase1)));
// middleNode.print(middleNode.middleNode(middleNode.array2ListNode(testCase2)));
}
public ListNode array2ListNode(int[] arr) {
ListNode root = new ListNode(0);
ListNode other = root;
for (int j : arr) {
ListNode node = new ListNode(j);
other.next = node;
other = node;
}
return root.next;
}
public void print(ListNode node) {
while (node != null) {
System.out.println(node.val);
node = node.next;
}
}
}
6.判断链表是否包含环
package blog.linkedlist;
/**
* @Author Daniel
* @Date: 2023/08/14 16:00
* @Description LeetCode142.环形链表 II
**/
public class DetectCycle {
public ListNode detectCycle(ListNode head) {
ListNode fast, slow;
fast = slow = head;
while (fast != null && fast.next != null) {
fast = fast.next.next;
slow = slow.next;
// 如果快慢指针相遇说明在进行无限循环即存在环
if (fast == slow) break;
}
// 当上面退出循环后,看是否遇到空指针,遇到了就代表没有环
if (fast == null || fast.next == null) {
return null;
}
// 慢指针重新指向头节点
slow = head;
// 快慢指针同步前进,当两个指针相等时,相交点就是环起点
while (slow != fast) {
fast = fast.next;
slow = slow.next;
}
return slow;
}
public static void main(String[] args) {
DetectCycle detectCycle = new DetectCycle();
// 输入链表与环的位置
int[] testCase1Num1 = {3, 2, 0, -4};
int[] testCase1Num2 = {1, 2};
int[] testCase1Num3 = {1};
int testCase1Pos1 = 1;
int testCase1Pos2 = 0;
int testCase1Pos3 = -1;
// 创建链表
ListNode head = buildLinkedList(testCase1Num1, testCase1Pos1);
// ListNode head = buildLinkedList(testCase1Num2, testCase1Pos2);
// ListNode head = buildLinkedList(testCase1Num3, testCase1Pos3);
ListNode result = new DetectCycle().detectCycle(head);
// 输出结果
if (result != null) {
int index = detectCycle.getIndex(head, result);
System.out.println("tail connects to node index " + index);
} else {
System.out.println("no cycle");
}
}
// 构建链表
private static ListNode buildLinkedList(int[] nums, int pos) {
ListNode dummy = new ListNode(-1);
ListNode curr = dummy;
ListNode cycleNode = null;
for (int i = 0; i < nums.length; i++) {
curr.next = new ListNode(nums[i]);
curr = curr.next;
if (i == pos) {
cycleNode = curr;
}
}
// 尾部连接到指定位置,形成环
curr.next = cycleNode;
return dummy.next;
}
private int getIndex(ListNode head, ListNode node) {
int index = 0;
ListNode current = head;
while (current != node) {
current = current.next;
index++;
}
return index;
}
public void print(ListNode node) {
while (node != null) {
System.out.println(node.val);
node = node.next;
}
}
}
7.两个链表是否相交
package blog.linkedlist;
/**
* @Author Daniel
* @Date: 2023/08/14 16:00
* @Description LeetCode160.相交链表
**/
public class GetIntersectionNode {
public ListNode getIntersectionNode(ListNode headA, ListNode headB) {
ListNode p1 = headA, p2 = headB;
// 这题思路比较清洗和简单,将两个链表连起来即可,两个指针相遇时表示找到了相交的节点
while (p1 != p2) {
if (p1 != null)
p1 = p1.next;
// p1为空后就连上headB
else
p1 = headB;
if (p2 != null)
p2 = p2.next;
// p2为空后就连上headA
else
p2 = headA;
}
// 返回任意一个指针即可
return p1;
}
public ListNode[] createInput(ListNode headA, ListNode headB, int skipA, int skipB) {
// 连起来
ListNode a = headA, b = headB;
// 循环到相交节点
for (int i = 0; i < skipA; i++) {
a = a.next;
}
for (int i = 0; i < skipB; i++) {
b = b.next;
}
if (a == null || b == null)
return null;
// b回去,重新给b的相交部分赋值,保证链表地址也相同
b = headB;
// 由于a中已经包含了相交点,这里只需要循环到skipB - 1即可
for (int i = 0; i < skipB - 1; i++) {
b = b.next;
}
// 重新给相交部分赋值
b.next = a;
return new ListNode[]{headA, headB};
}
public static void main(String[] args) {
GetIntersectionNode getIntersectionNode = new GetIntersectionNode();
// 这里如果非要用数组转链表,需要保证他们相交链表的的地址都是一样的,不仅仅是值,否则就直接用ListNode.next连接的方式创建
ListNode testCase1A = getIntersectionNode.array2ListNode(new int[]{4, 1, 8, 4, 5});
ListNode testCase1B = getIntersectionNode.array2ListNode(new int[]{5, 6, 1, 8, 4, 5});
int testCase1SkipA = 2;
int testCase1SkipB = 3;
ListNode testCase2A = getIntersectionNode.array2ListNode(new int[]{1, 9, 1, 2, 4});
ListNode testCase2B = getIntersectionNode.array2ListNode(new int[]{3, 2, 4});
int testCase2SkipA = 3;
int testCase2SkipB = 1;
ListNode testCase3A = getIntersectionNode.array2ListNode(new int[]{2, 6, 4});
ListNode testCase3B = getIntersectionNode.array2ListNode(new int[]{1, 5});
int testCase3SkipA = 3;
int testCase3SkipB = 2;
ListNode[] input = new GetIntersectionNode().createInput(testCase1A, testCase1B, testCase1SkipA, testCase1SkipB);
// ListNode[] input = new GetIntersectionNode().createInput(testCase2A, testCase2B, testCase2SkipA, testCase2SkipB);
// ListNode[] input = new GetIntersectionNode().createInput(testCase3A, testCase3B, testCase3SkipA, testCase3SkipB);
if (input != null) {
ListNode intersectionNode = new GetIntersectionNode().getIntersectionNode(input[0], input[1]);
// 输出结果
if (intersectionNode != null) {
System.out.println("Intersected at '" + intersectionNode.val + "'");
} else {
System.out.println("No intersection");
}
} else {
System.out.println("No intersection");
}
}
public ListNode array2ListNode(int[] arr) {
ListNode root = new ListNode(arr[0]), other = root;
for (int i = 1; i < arr.length; i++) {
ListNode temp = new ListNode(arr[i]);
other.next = temp;
other = temp;
}
return root;
}
}




121

被折叠的 条评论
为什么被折叠?



