python数据结构与算法基础 第八课
tags:
- python
- 路飞学院
categories:
- python
- 数据结构
- 树
- 二叉树
- 二叉搜索树
文章目录
第一节 树结构
1. 树的定义
- 树是一种数据结构,比如:目录结构。
- 树是一种可以递归定义的数据结构
- 树的定义:树是由n个节点组成的集合
- 如果n=0,那这是一棵空树;
- 如果n>0,那存在1个节点作为树的根节点,其他节点可以分为m个集合,每个集合本身又是-棵树。
2. 树的相关概念
- 根节点、叶子节点
- 树的深度(高度)
- 节点的度。节点的分差数比如:F的度是三
- 树的度。所有节点的分差数最大的数叫数的度。
- 孩子节点/父节点
- 子树

第二节 二叉树的介绍
1. 知识回顾-二叉树顺序储存方式
- 二叉树:度不超过2的树
- 每个节点最多有两个孩子节点
- 两个孩子节点被区分为左孩子节点和右孩子节点
- 满二叉树:一个二叉树,如果每一个层的结点数都达到最大值,则这个二叉树就是满二叉树。
- 完全二叉树:叶子节点只能出现在最下层和次下层,并且最下面一层的结点都集中在该层最左边的若干位置的二叉树。(最后一层若有节点,必从左边开始排。图b,7号节点有值,六号节点没右孩子则不是完全二叉树)
- 二叉树的储存方式:
- 链式存储方式(后面会讲到)
- 顺序存储方式(用列表储存)
- 在此堆排序中用顺序储存方式
- 二叉树(顺序储存方式)中最常见的操作:
- 父亲i找孩子:左孩子2i+1, 右孩子2i +2
- 孩子p找父亲:左右孩子(p-1)//2

2.二叉树的链式储存方式
- 二叉树的链式存储:将二叉树的节点定义为一个对象,节点之间通过类似链表的链接方式来连接。
- 二叉树的定义如下:

class BiTreeNode:
def __init__(self, data):
self.data = data
self.lchild = None # 左孩子
self.rchild = None # 右孩子
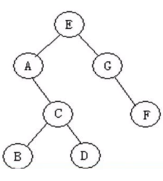
a = BiTreeNode("A")
b = BiTreeNode("B")
c = BiTreeNode("C")
d = BiTreeNode("D")
e = BiTreeNode("E")
f = BiTreeNode("F")
g = BiTreeNode("G")
e.lchild = a
e.rchild = g
a.rchild = c
c.lchild = b
c.rchild = d
g.rchild = f
root = e
print(root.lchild.rchild.data)
root = e
print(root.lchild.rchild.data)
第三节 二叉树的遍历
1. 二叉树的遍历方式
- 前序遍历: EACBDGF
- 中序遍历: ABCDEGF
- 后序遍历: BDCAFGE
- 层次遍历: EAGCFBD (用队列实现,不光适用于二叉树。多叉树也可以)
- 可以通过上述前中,后中还原出树的结构。但是通过前后不能唯一还原出二叉树。(有兴趣可以中找资料了解一下)
from collections import deque
class BiTreeNode:
def __init__(self, data):
self.data = data
self.lchild = None # 左孩子
self.rchild = None # 右孩子
a = BiTreeNode("A")
b = BiTreeNode("B")
c = BiTreeNode("C")
d = BiTreeNode("D")
e = BiTreeNode("E")
f = BiTreeNode("F")
g = BiTreeNode("G")
e.lchild = a
e.rchild = g
a.rchild = c
c.lchild = b
c.rchild = d
g.rchild = f
root = e
# 前序遍历
def pre_order(root):
if root:
print(root.data, end=",")
pre_order(root.lchild)
pre_order(root.rchild)
# 中序遍历
def in_order(root):
if root:
in_order(root.lchild)
print(root.data, end=",")
in_order(root.rchild)
# 后序遍历
def post_order(root):
if root:
post_order(root.lchild)
post_order(root.rchild)
print(root.data, end=",")
# 层次遍历
def level_order(root):
queue = deque()
queue.append(root)
while len(queue) > 0: # 只要队列不为空,一直访问
node = queue.popleft()
print(node.data, end=",")
if node.lchild:
queue.append(node.lchild)
if node.rchild:
queue.append(node.rchild)
pre_order(root)
print("")
in_order(root)
print("")
post_order(root)
print("")
level_order(root)
第四节 二叉树的实际应用-二叉搜索树
1. 二叉搜索树介绍
- 二叉搜索树是一颗二叉树且满足性质:设x是二叉树的一个节点。如果y是x左子树的
一个节点,那么y.key≤x.key; 如果y是x右子树的一个节点,那么y.key ≥x.key。 - 二叉搜索树的操作:查询、插入、删除。
- 下面递归写法都要带node参数,因为node是用来递归的。
2. 二叉搜索树的插入
class BiTreeNode:
# 二叉搜索树节点对象
def __init__(self, data):
self.data = data
self.lchild = None # 左孩子
self.rchild = None # 右孩子
self.parent = None # 父节点
class BST:
def __init__(self, li):
self.root = None
if li:
for i in li:
self.insert_no_rec(i)
# 递归写法
def insert(self, node, val):
# 这里没有考虑等于的情况,可以统一归到左边或者右边。
# 也可以给节点加个属性值。count计数它
if not node:
node = BiTreeNode(val)
elif val < node.data:
node.lchild = self.insert(node.lchild, val)
node.lchild.parent = node
elif val > node.data:
node.rchild = self.insert(node.rchild, val)
node.rchild.parent = node
return node
# 非递归写法
def insert_no_rec(self, val):
p = self.root
# 空树特殊处理
if not p:
self.root = BiTreeNode(val)
return
while True:
if val < p.data:
if p.lchild:
p = p.lchild
else:
p.lchild = BiTreeNode(val)
p.lchild.parent = p
return
elif val > p.data:
if p.rchild:
p = p.rchild
else:
p.rchild = BiTreeNode(val)
p.rchild.parent = p
return
else:
return
# 前序遍历
def pre_order(self, root):
if root:
print(root.data, end=",")
self.pre_order(root.lchild)
self.pre_order(root.rchild)
# 中序遍历
def in_order(self, root):
if root:
self.in_order(root.lchild)
print(root.data, end=",")
self.in_order(root.rchild)
# 后序遍历
def post_order(self, root):
if self.root:
self.post_order(root.lchild)
self.post_order(root.rchild)
print(root.data, end=",")
# 层次遍历
def level_order(self, root):
from collections import deque
queue = deque()
queue.append(root)
while len(queue) > 0: # 只要队列不为空,一直访问
node = queue.popleft()
print(node.data, end=",")
if node.lchild:
queue.append(node.lchild)
if node.rchild:
queue.append(node.rchild)
tree = BST([4, 6, 7, 9, 2, 1, 3, 5, 8])
# 中序遍历实际上是对二叉搜索树的排序
tree.in_order(tree.root)
3. 二叉搜索树的查询
# 二叉搜索树的查询-递归写法
def query(self, node, val):
if not node:
return None
if node.data < val:
return self.query(node.rchild, val)
elif node.data > val:
return self.query(node.lchild, val)
else:
return node
# 二叉搜索树的查询-非递归写法
def query_no_rec(self, val):
p = self.root
while p:
if p.data < val:
p = p.rchild
elif p.data > val:
p = p.lchild
else:
return p
return None
4. 二叉搜索树的删除
- 删除分三种情况
- 情况一:删除的节点是叶子节点。直接删除
- 情况二:要删除的节点是父节点,而且只有一个孩子。把节点删除,把他的孩子和他的父亲连起来。
- 情况三:要删除的节点有两个孩子。那么选左子树的最大元素或右子树的最小元素替换这个删除的节点即可。(我们采用右子树的最小节点)
def __remove_node_1(self, node):
# 情况1:node 是叶子节点
if not node.parent:
# 根节点
self.root = None
if node == node.parent.lchild:
# 如果node是左孩子
node.parent.lchild = None
# node.parent = None
else: # 右孩子
node.parent.rchild = None
# node.parent = None
def __remove_node_21(self, node):
# 情况2: node只有一个左孩子
if not node.parent:
self.root = node.lchild
node.lchild.parent = None
# 它是它父亲的左孩子
elif node == node.parent.lchild:
node.parent.lchild = node.lchild
node.lchild.parent = node.parent
# 它是它父亲的右孩子
else:
node.parent.rchild = node.lchild
node.lchild.parent = node.parent
def __remove_node_22(self, node):
# 情况2: node只有一个右孩子
if not node.parent:
self.root = node.rchild
node.rchild.parent = None
# 它是它父亲的左孩子
elif node == node.parent.lchild:
node.parent.lchild = node.rchild
node.rchild.parent = node.parent
# 它是它父亲的右孩子
else:
node.parent.rchild = node.rchild
node.rchild.parent = node.parent
def delete(self, val):
if self.root: # 不是空树
node = self.query_no_rec(val) # 这里query_no_rec返回的是一个对象
if not node:
return False
if not node.lchild and not node.rchild:
self.__remove_node_1(node)
elif not node.rchild: # 只有一个左孩子
self.__remove_node_21(node)
elif not node.lchild: # 只有一个右孩子
self.__remove_node_22(node)
else: # 两个孩子都有
# 找到右子树的最小值
min_node = node.rchild
while min_node.lchild:
min_node = min_node.lchild
node.data = min_node.data
# 删除min_node
if min_node.rchild:
self.__remove_node_22(min_node)
else:
self.__remove_node_1(min_node)

被折叠的 条评论
为什么被折叠?



