文章目录
前言
利用深度学习网络训练模型时,需要对一些超参数作用与意义进行清楚了解,才能根据实际训练时出现的问题做相应调整,进而训练出满足精度的模型。
一、momentum
动量来源于牛顿定律,基本思想是为了找到最优,SGD通常来说下降速度比较快,但却容易造成另一个问题,就是更新过程不稳定,容易出现震荡。加入“惯性”的影响,就是在更新下降方向的时候不仅要考虑到当前的方向,也要考虑到上一次的更新方向,两者加权,某些情况下可以避免震荡,摆脱局部凹域的束缚,进入全局凹域。动量,就是上一次更新方向所占的权值。当误差曲面中存在平坦区域,SGD可以更快的学习,是梯度下降法中一种常用的加速技术。
对于一般的SGD,其表达式为:
w := w - lr * dw
即沿负梯度方向下降。而添加momentum的SGD形式如下:
v := mu * v - lr * dw
w := w + v
其中mu为momentum系数,即如果上一次的momentum(v)与这一次的负梯度方向是相同的,则这次下降的幅度就会很大,就起到加速迭代收敛的作用。
注:一个小的trick是,当刚开始训练的时候,把动量设小,或者直接就置为0,然后慢慢增大冲量,有时候效果比较好。
二、 权重衰减(weight decay)
1.背景
在机器学习或者模式识别中,会出现overfitting,而当网络逐渐overfitting时网络权值逐渐变大,因此,为了避免出现overfitting,会给误差函数添加一个惩罚项(正则项),常用的惩罚项是所有权重的平方乘以一个衰减常量之和。其基本思想就是减小不重要的参数对最后结果的影响,一般权值衰减惩罚项使得权值收敛到较小的绝对值,而惩罚大的权值。因为大的权值会使得系统出现过拟合,降低其泛化性能。
2. L2正则化与权重衰减系数
在损失函数中,weight decay是放在正则项(regularization)前面的一个系数,正则项一般指示模型的复杂度,L2正则化就是在代价函数后面加上一个正则化项:
其中C0代表原始的代价函数,后面那一项就是L2正则化项,其为所有参数w平方的和,除以训练集的样本大小n。λ就是正则项系数,权衡正则项与C0项的比重。另外还有一个系数1/2,主要是为了后面求导的结果方便,后面那一项求导会产生一个2,与1/2相乘刚好凑整为1。系数λ就是权重衰减系数。
3. 公式推导
我们对加入L2正则化后的代价函数进行推导,先求导:

可以发现L2正则化项对b的更新没有影响,但是对于w的更新有影响:

在不使用L2正则化时,求导结果中w前系数为1,现在w前面系数为1-ηλ/n,因为η(学习率)、λ、n都是正的,所以1-ηλ/n小于1,它的效果是减小w,这也就是权重衰减(weight decay)的由来。当然考虑到后面的导数项,w最终的值可能增大也可能减小。
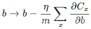
另外,需要提一下,对于基于mini-batch的随机梯度下降,w和b更新的公式跟上面给出的有点不同:


对比上面w的更新公式,可以发现后面那一项变了,变成所有导数加和,乘以η再除以m,m是一个mini-batch中样本的个数。
4. 正则项(权重衰减)作用
作用及使用:
(1)使用正则项既不是为了提高收敛精确度也不是为了提高收敛速度,其最终目的是防止过拟合。所以weight decay的作用是调节模型复杂度对损失函数的影响,若weight decay很大,则复杂的模型损失函数的值也就大。
(2)如果过拟合,调大这个参数;如果欠拟合,调小这个参数。
(3)对于caffe框架最终正则项的惩罚是solver.prtotxt中设置的惩罚项weight_decay与layer中的decay_mult的乘积。若不想让某一些参数加入正则项中,则将layer中的对应param中的参数decay_mult设置为0。例如,一般把bias的decay_mult设置为0,代表bias不加入到正则项的优化中。
思考: L2正则化项有让w变小的效果,但是为什么w变小可以防止过拟合呢?
原理:
(1)从模型的复杂度上解释:较小的权值w,从某种意义上说,表示网络的复杂度较低,对数据的拟合更好(这个法则也叫做奥卡姆剃刀),而在实际应用中,也验证了这一点,L2正则化的效果往往好于未经正则化的效果。
(2)从数学方面的解释:过拟合的时候,拟合函数的系数往往非常大,为什么?如下图所示,过拟合,就是拟合函数需要顾忌每一个点,最终形成的拟合函数波动很大。在某些很小的区间里,函数值的变化很剧烈。这就意味着函数在某些小区间里的导数值(绝对值)非常大,由于自变量值可大可小,所以只有系数足够大,才能保证导数值很大。而正则化是通过约束参数的范数使其不要太大,所以可以在一定程度上减少过拟合情况。

三、 学习率(learning rate)
学习率决定了权值更新的速度,设置得太大会使结果超过最优值,太小会使下降速度过慢。在训练模型的时候,通常会遇到这种情况:我们平衡模型的训练速度和损失(loss)后选择了相对合适的学习率(learning rate),但是训练集的损失下降到一定的程度后就不在下降了,比如training loss一直在0.2和0.4之间来回震荡,不能进一步下降。如下图所示:
遇到这种情况通常可以通过适当降低学习率(learning rate)来实现。但是,降低学习率又会延长训练所需的时间。
学习率衰减(learning rate decay) 就是一种可以平衡这两者之间矛盾的解决方案。学习率衰减的基本思想是:学习率随着训练的进行逐渐衰减。学习率衰减策略见:https://blog.csdn.net/aoxuerenwudi/article/details/109208467
3113

被折叠的 条评论
为什么被折叠?



