完全是因为adaptive Boosting吸引了我,慢慢积累慢慢成长(有点事,没有更完)
AdaBoosting: 通过顺序的学习一些弱分类器,然后通过加权投票(weight voting)得到最后的预测,每一次迭代后,样本的权重都会更新
先给出paper中出现的符号意思:
接下来一一给出公式的解释:
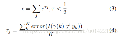
公式(4) 是分类器对K个语料进行分类的错误率,公式(3)中的 j 是第j个batch
公式(2)
公式(6)
公式(7)
公式(8)
算法伪代码:
——————————————————————————————————————————关于ensemble learning:

其中bagging学习的过程如下:

boosting学习的过程是:

参考文献:
https://blog.csdn.net/sinat_26917383/article/details/54667077
https://blog.csdn.net/qq_36330643/article/details/77621232
3097

被折叠的 条评论
为什么被折叠?



