本章节目录
1.什么是操作系统
操作系统概念
1.英文名字Operation System,简称OS。
2.是一种系统软件,是不同的程序代码、数据结构、数据初始化文件的集合。
3.提供用户接口,方便用户操作计算机
4.负责为应用程序分配和调度软硬件资源,并控制与协调应用程序的并发活动,帮助用户存取和保护信息。
操作系统在计算机系统中的位置
1.操作系统依赖于硬件环境
2.它运行在计算机上为应用程序提供执行环境。
2.操作系统功能
功能主要包含:进程管理、内存管理、设备管理、文件管理
进程管理
进程管理,又叫做CPU管理。
进程管理包含进程控制(创建,暂停,唤醒,撤销)、进程调度(调度策略,调度优先级)、进程通信(进程间的通信)
内存管理
内存管理的主要任务是为多道程序的运行提供良好的环境,方便用户使用内存,提高内存的利用率,以及从逻辑上扩充内存以实现虚拟存储。
主要功能有内存分配、内存保护、地址映射、内存扩充。
- 内存分配的主要任务是为每道程序分配内存空间,可采用两种分配方式,即静态分配方式(把内存划分成大小数量固定的区域,其中大小数量不再发生变化)和动态分配方式(根据进程实际请求分配内存,其中大小数量是动态变化的)。
- 内存保护的主要任务是:第一,使操作系统内核的空间不会被用户随意访问,以保证系统的安全与稳定,二是确保每道用户程序都在自己的内存空间中运行,互不干扰。实现内存保护的方法采用界限寄存器存放允许程序访问的地址区间的上限和下限。
- 地址映射。CPU执行程序过程中访问内存时,需要把程序的逻辑地址转变为物理地址,这个转换的过程叫做地址映射。
- 内存扩充。借助于虚拟技术,从逻辑上扩充内存容量,使系统能够向用户提供比物理内存大的存储容量。
设备管理
设备管理,主要完成用户的IO请求,为用户分配IO设备。
主要有以下功能:
- 缓冲管理。管理各种缓冲区
- 设备分配。分配用户I/O所需要的设备
- 设备处理。由设备驱动程序来实现CPU与设备控制器之间的通信。
- 设备独立性和虚拟设备。设备独立性使应用程序独立于物理设备。虚拟设备的功能是把一个物理设备变换为多个对应的逻辑设备,使一个物理设备能供多个用户共享。
文件管理
文件管理有以下功能:
- 存储空间管理。为每个文件分配必要的外存空间,提高外存利用率,并能有助于提高访问文件的速度。
- 目录的操作。为每个文件建立目录项并对目录项进行有效的组织。目录项包括文件名、文件属性以及文件的地址等信息。
- 文件的读写管理和存取控制。根据用户的请求,从外存中读取数据或将数据写入外存。防止未经审核的用户存取文件,防止冒名顶替存取文件,防止以不正确的方式使用文件。
3.操作系统的发展
首先说一下计算机硬件发展的四个阶段
计算机硬件发展的四个阶段
- 电子管时代(1946~1955年)
- 晶体管时代(1955~1965年)
- 集成电路时代(1965~1980年)
- 大规模集成电路时代(1980~至今)
操作系统发展的五个阶段
- 手工操作时代:50年代早期。这个时代的硬件配置为电子管、接线面板,使用的是二进制程序。特点为手工处理程序的准备启动和结束的工作,非常的繁琐,非常耗时。缺点:效率低下、用户独占、缺少交互。
- 单道批处理系统:50年代。单道批处理系统内存中只有一道作业,假如有三道作业,操作系统会依次完成作业1、作业2、作业3。特点是:自动性、顺序性、单道性。优点是减少了等待人工操作的时间,缺点是CPU的资源不能得到充分的利用。
- 多道批处理系统:60年代初期。由操作系统的作业调度按一定的策略从后备作业队列中选择若干个作业调入内存,使他们共享CPU和系统中的各种资源。假如有10道作业,系统按照某种策略选择了作业1、作业3、作业10装入内存中来执行,注意这三个作业是同时执行的,但是三个作业哪个先运行完成,这个是无法确定的。特点是:多道性、无序性、调度性、复杂性。优点:提高了CPU、内存和IO设备的利用率和系统的吞吐量。缺点是:系统平均周转时间长。
- 分时操作系统:60年代中期。允许多个用户通过终端机同时使用计算机,每个用户通过终端与主机交互时都能得到快速的响应,各个主机之间独立操作,互不干扰。特点是:多路性(允许一台主机同时连接多台终端)、独立性(各个终端之间是独立的)、及时性(用户可以在短时间内获取响应)、交互性(用户通过终端和系统进行交互)。
- 实时操作系统。实时系统必须及时响应外部事件的请求,在规定的时间内完成对该作业的处理。主要用在实时控制和实时信息处理领域。特点为:多路性、独立性、及时性、交互性、可靠性(由于是实时响应,所以可靠性一定要高)
4.操作系统的特征
现代操作系统都支持多任务,具有并发、共享、虚拟、异步性特点。具体描述如下:
- 并发:两个或者多个事件在同一时间间隔内发生,例如在同一时间段内,操作系统同时运行了QQ、微信、IE浏览器软件。
- 共享:系统中的资源可供内存中多个并发执行的进程共同使用
- 虚拟:所谓虚拟是指通过某项技术把一个物理实体变为若干个逻辑上的对应
- 异步:操作系统允许多个并发进程共享资源,使得每个进程的运行过程受到其他进程制约,使进程的执行不是一气呵成,而是以停停走走的方式运行。
5.操作系统的体系结构
主要包含:简单的监控程序模型、单体结构模型、层次结构模型、客户/服务器模型与微内核结构、动态可扩展结构模型。
简单的监控程序模型
功能简陋,任意时刻系统中只能运行一个任务,保证了对系统信息的互斥访问,保护了系统数据的安全。
单体结构模型
所有的软件和数据结构都放置在一个逻辑模块中,对外层的用户程序提供一个完整的内核界面—系统调用。
层次结构模型
基本思想是将操作系统分解为多个小的、容易理解的层,系统功能被隔离在不同层中。
客户/服务器模型与微内核结构
核心思想是核心功能外移,即把传统操作系统内核中的一些组成部分放到内核之外作为一个独立的服务器进程来实现。
动态可扩展结构模型
基本思想就是在运行过程中,能够动态地实现系统行为扩展的结构,也可称之为弹性结构。
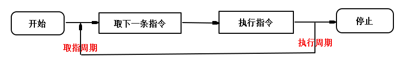
6.指令的执行
程序是指令的集合,程序的执行就是按照某种控制流执行指令的过程。
指令周期:一个单一指令需要的处理称为指令周期。
一个指令周期可以分成两个步骤,分别是取指周期和执行周期。
程序计数器(PC)保存有下一次要取的指令的地址。
取到的指令被放置在处理器的指令寄存器(IR)中。
指令中包含确定处理器要采取动作的位,处理器解释指令并执行要求的动作。这些动作分为四类:
1.处理器与存储器之间的指令或数据传送操作
2.处理器与I/O设备之间的指令或数据传送操作
3.算术运算操作或逻辑运算操作
4.控制操作,就是修改指令的执行顺序的操作

412

被折叠的 条评论
为什么被折叠?



