朴素贝叶斯设定了一个假设前提:输入实例的各个属性之间是相互独立的,其结构图如下图所示
但是在现实中很多时候这种假设是不成立的,本文要介绍的SuperParent是对朴素贝叶斯的一种扩展,打破了这种属性之间相互独立的假设,属性之间可以有依赖关系。
先给出3个概念。
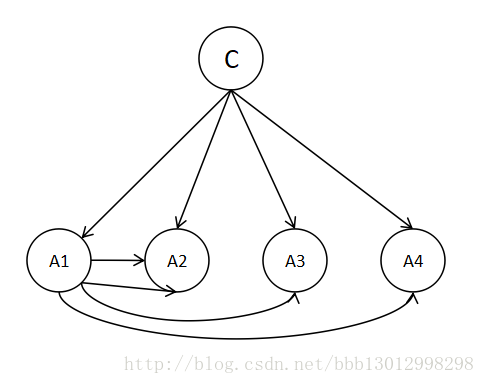
1. 孤儿节点:如果一个节点除了类节点之外没有别的节点指向他(意味着其没有父节点),则称它是一个孤儿节点;
2. SuperParent(超父)节点:如果一个节点指向了所有的孤儿节点,则称其为超父(SuperParent)节点,例如下图
上图中的A1就是一个超父节点;
3. 最喜爱的子节点:对于SuperParent节点指向孤儿节点的线我们称为弧(arc)
SuperParent算法是对朴素贝叶斯的扩展,解决了属性间独立假设的问题。它寻找超父节点并添加最有利的子节点以提高分类精度。通过Leave-One-Out交叉验证评估性能,当没有孤儿节点或只余一个时,算法结束。
最低0.47元/天 解锁文章
1086

被折叠的 条评论
为什么被折叠?



