目录
系统概述
长途汽车信息管理系统由三部分组成:汽车,乘客,管理员。分别拥有不同的功能权限。汽车会进行线路,汽车信息等信息的录入,乘客可以进行汽车信息,车票信息,价格,余票等信息的查询,管理员可以对我们整个系统的数据进行修改或调整。比如,汽车种类的变动,票价的变动,汽车路线的变动等一系列操作。
系统展示
汽车:
汽车公司录入汽车的编号,种类,载客人数,票价

汽车公司录入对应车的出发地,目的地,和所需时间

汽车公司录入对应车的总售票数,剩余车票数,VIP车票数

乘客:
乘客查询汽车的票价,编号信息

乘客查询对应汽车的出发地和目的地,时长,便于乘客更好的选择车辆

乘客查询对应汽车的车票数,VIP车票数,调整坐车方案

管理员:
管理员修改汽车的票价,或者其他选项,利于在节假日进行折扣优惠

管理员修改车辆的行驶出发地或者目的地,以便及时管理车辆

管理员对汽车的余票,VIP票数量进行修改,进行及时更新

当然,也有删除汽车的一些信息的功能,便于汽车信息的管理,或者更新换代。主要通过java代码进入管理系统,可以修改数据库的一些数据,也能退出系统等一整套功能流程。
数据库设计
数据库图表:
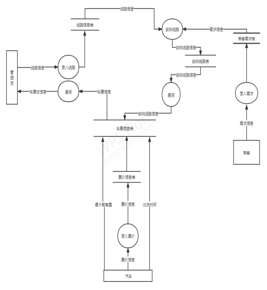
长途汽车信息管理系统数据流图

总流程图

主要系统功能

总E-R图

数据库的建立
create table bus.chepiao
(
bianhao char(10),
shoupiao char(10),
shengyu char(10),
VIP char(8)
);
create table bus.qiche
(
bianhao char(10),
zhonglei char(10),
zaike char(10),
piaojia char(8)
);
create table bus.xianlu
(
bianhao char(10),
chufadi char(10),
mudidi char(10),
shijian float(8)
);
测试用例
功能测试:

非功能测试:

测试总结
经过全面细致的功能测试和非功能测试,该长途汽车信息系统能够满足管理和使用需求,系统质量良好。不过仍有一些遗留问题有待进一步优化,如未设计出良好的界面、个别操作耗时略高等。我将持续关注并及时反馈,助力系统不断完善。
充分的测试工作是确保软件质量的重要环节。良好的测试设计和执行对于提升系统可靠性和用户满意度至关重要。我会秉持这一理念,为每个项目提供高质量的测试服务。
完整代码:
github:https://github.com/DeveloperWhite/Long-Distance-Bus-Management-System
gitee:https://gitee.com/Monster--hunter/Long-Distance-Bus-Management-System/tree/main/
1215

被折叠的 条评论
为什么被折叠?



