一、系统设计仿真结果以及硬件资源估计(用于复制到你的那个txt文件中去即可。)
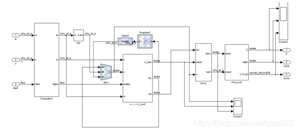
顶层框图:

整个系统的结构如下所示:

进入内部模块则有:

其主要由三大部分组成:

第一部分:输入信号过寄存器处理

第二部分:
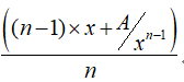
主要使计算递推公式(本系统的核心模块):

第三部分:输出

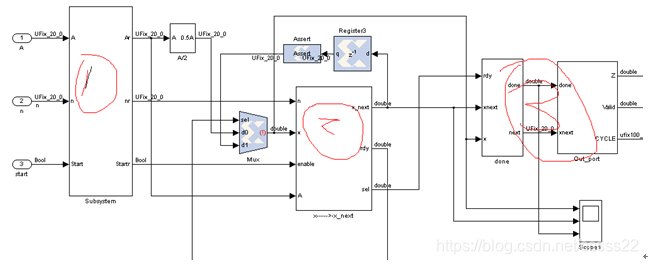
下面主要对第二部分的公式递推解析一下

主要分解如下如下几个部分进行计算:








注意,由于本系统主要是使用system generator设计实现的,没有涉及到具体的代码,所以这里只能对模块进行介绍说明,这里对牛顿法进行介绍。
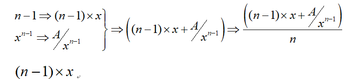
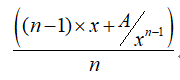
牛顿法的主要公式为:

其对应的模块为:


仿真的波形及收敛曲线:
Case1


Case2


Case3


Case4



163

被折叠的 条评论
为什么被折叠?



