这个文件的内容是对风力发电的电机模型的分析,
我们采用的风力机模型为:

根据这个模型,我们可以得到如下仿真结果:

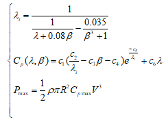
这个是对风能利用系数的研究,即Wind energy utilization coefficient Cp。
研究这个系数的意义在于,如何选择风能电机来获得最大的发电效率。
这个文件研究的是风力系统的接入和切断控制系统,
通常情况下,风速可以分为四个部分:

第一:风速非常小的时候,不发电阶段
第二:风速逐渐增加的时候,发电量逐渐增加
第三:风速达到一个值以后,发电达到最大值
第四:风速过大时,暂停发电,进入保护状态。


这个是MPPT控制系统,由于风力发电过程中,需要具有最大功率跟踪功能,这里单独对该模型进行仿真。


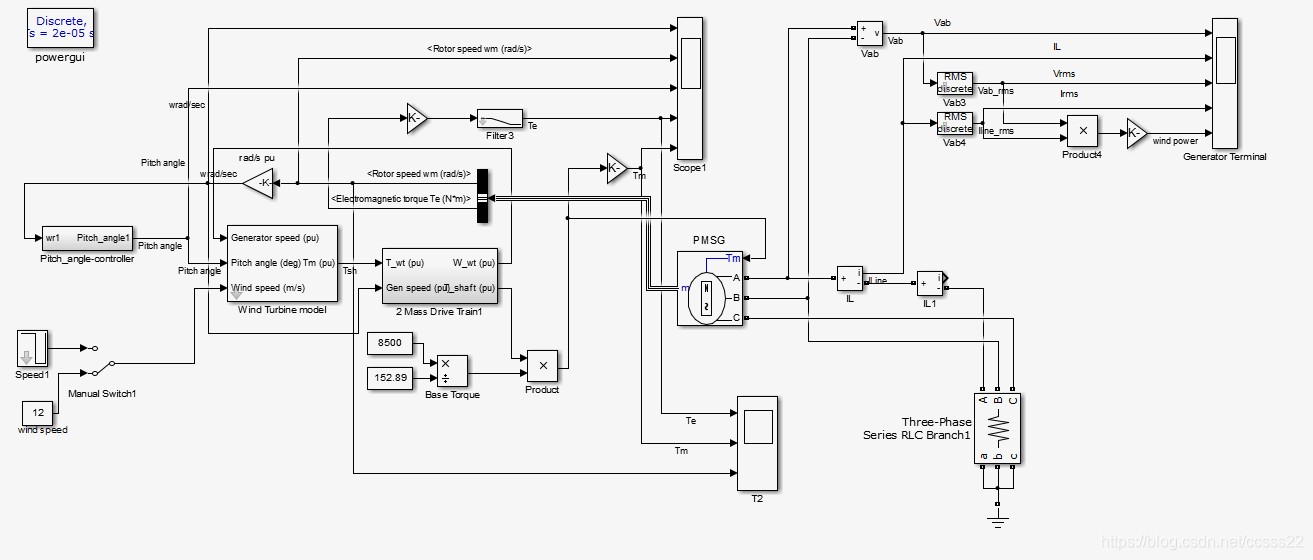
下面开始介绍风力发电的电路系统,整个风力发电的电路系统结构如下所示:

根据这个结构,我们建立如下的simulink电路系统。

这里,电流,电压,功率输出如下所示:

关于成本和污染的相关文献数据非常少,这里就找到了如下的文献,
http://wenku.baidu.com/link?url=E_DUCMAMvFA1SFoxgSgQdioBsgPDXmHs8de-L5SZDp6KFA1f53LRBEG-tmmFh-ppk_JtqWTplYbGd75la56cr0OOtmveW9I4wPPV50F0Ck3
然后根据这个文献,做如下的仿真,获得如下结果:
这里,风力发电的成本,需要知道总的功率,这里功率则由上面的模型仿真得到。

这个是发电成本分析,随着时间的增加,成本的变化情况。
根据这个文献,获得如下仿真结果:
对环境带来的负面影响计算公式如下所示:



本文详细分析了风力发电的电机模型,探讨了风能利用系数Cp对于发电效率的影响,并研究了风力系统的接入和切断控制系统。文章指出风速分为四个阶段,对应不同的发电状态。此外,重点介绍了MPPT控制系统在风力发电过程中的作用,并展示了基于Simulink建立的电路系统仿真。同时,分析了发电成本随时间变化的情况,以及对环境的潜在影响。
2165

被折叠的 条评论
为什么被折叠?



