
来源:明敏 发自 凹非寺
量子位 | 公众号 QbitAI
由于在图像生成效果上可以与GAN媲美,扩散模型最近成为了AI界关注的焦点。
谷歌、OpenAI过去一年都提出了自家的扩散模型,效果也都非常惊艳。

另一边,剑桥大学的学者David Krueger提出,自动编码器会不会卷土重来成为研究热潮。

就在最近,DeepMind的一位研究科学家Sander Dieleman基于以上两股热潮,提出了自己的观点:
扩散模型就是自动编码器啊!

这一观点立刻引起了不少网友的注意,大家看了Sander的阐述,都觉得说得很有道理,并且给了自己不少启发。

那么,他到底是如何论证自己这一观点的呢?
我们一起来看。
去噪自动编码器=扩散模型
想要看透这二者之间的联系,首先要看看它们自身的特点。
扩散模型是一种新的图像生成方法,其名字中的“扩散”本质上是一个迭代过程。
它最早于2015提出,是定义了一个马尔可夫链,用于在扩散步骤中缓慢地向数据添加随机噪声,然后通过学习逆转扩散过程从噪声中构建所需的数据样本。
相比GAN、VAE和基于流的生成模型,扩散模型在性能上有不错的权衡,最近已被证明在图像生成方面有很大的潜力,尤其是与引导结合来兼得保真度和多样性。

比如去年谷歌提出的级联(Cacade)扩散模型SR3,就是以低分辨率图像为输入,从纯噪声中构建出对应的高分辨率图像。

OpenAI的GLIDE、ADM-G也是用上了扩散模型,以此能生成更加更真实、多样、复杂的图像。
△GLIDE模型效果
接下来,再来看自动编码器的原理。
自动编码器可以理解为一个试图去还原原始输入的系统,模型如下所示:

它的主要目的是将输入转换为中间变量,然后再将中间变量转化为输出,最后对比输入和输出,使它们二者之间无限接近。
当模型框架中存在瓶颈层或者输入被损坏时,自动编码器能够学习输入本质特征的特性,就可以大显身手了。
在这里,作者主要拿来和扩散模型对比的,便是去噪自动编码器。
它可以将损坏数据作为输入,通过训练来预测未损坏的原始数据作为输出。
看到这里是不是有点眼熟了?
向输入中加入噪声,不就是一种破坏输入的方法吗?
那么,去噪自动编码器和扩散模型,原理上不就是有着异曲同工之妙吗?

二者是如何等价的?
为了验证自己的这一想法,作者从原理方面对扩散模型进行了拆解。
扩散模型的关键,在于一个分数函数 (score function)
。
需要注意的是,这和
不同。(求梯度的参数不同)
通过后者,我们可以知道如何改变模型参数来增加向下输入的可能性,而前者能够让我们知道如何改变输入本身来增加可能性。
在训练过程中,希望在去噪中的每一点都使用相同的网络。
为了实现这个,需要引入一个额外的输入
,由此可以看到在去噪中进行到了哪一部分
。
当t=0时,对应无噪声数据;t=1时,对应纯噪声数据。
训练这个网络的方法,就是用添加噪声
来破坏输入x。然后从
中预测
。
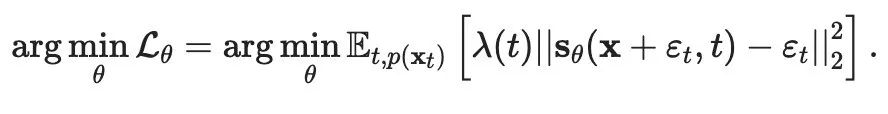
需要注意的是,在这里方差大小取决于t,因为它可以对应特定点的噪声水平。损失函数通常使用均方误差(MSE),有时会用 λ(t)进行加权,因此某些噪声水平会优先于其他噪声水平:

假设λ(t)=1时,一个关键的观测值为
或 x(它们二者是等价的),在这里可以用公式:

为了确保它们是等价的,可以考虑使用训练模型
来预测
,并加上一个新的残差连接。从输入到输出的比例系数均为-1,这个调整后的模型则实现了:

由此,一个扩散模型便逐渐变成一个去噪自动编码器了!
One More Thing
不过博客的作者也强调,虽然扩散模型和去噪自动编码器的效果等价,但是二者之间不可完全互换。
并且以上得到的这个去噪自动编码器,和传统类型也有不同:
第一,附加输入t可以使单个模型用一组共用参数来处理噪声级别不同的情况;
第二,因为更加关注模型的输出,所以内部没有瓶颈层,这可能会导致“弊大于利”的结果。
而作者更想强调的是这二者之间存在的联系。
此外他还表示,模型效果好的关键应该在于共用参数,这种方法已经被广泛应用在表示学习上。
从这些成果中也能发现一个规律:
噪声含量越高的模型,往往更容易学习到图像的特征;
噪声含量越低的模型,则会更专注于细节。

作者认为以上规律值得进一步研究:
这意味着随着噪声水平逐步降低,扩散模型能够补充图像细节也就越来越多。
最后,我们再来介绍一下这一发现的提出者——Sander Dieleman。
他现在是DeepMind的一位研究科学家,主要研究领域为生成模型和音乐合成。
参与的主要研究工作有Spotify音乐平台的内容推荐模型。
参考链接:
[1]https://benanne.github.io/2022/01/31/diffusion.html
[2]https://twitter.com/sedielem
未来智能实验室的主要工作包括:建立AI智能系统智商评测体系,开展世界人工智能智商评测;开展互联网(城市)大脑研究计划,构建互联网(城市)大脑技术和企业图谱,为提升企业,行业与城市的智能水平服务。每日推荐范围未来科技发展趋势的学习型文章。目前线上平台已收藏上千篇精华前沿科技文章和报告。
如果您对实验室的研究感兴趣,欢迎加入未来智能实验室线上平台。扫描以下二维码或点击本文左下角“阅读原文”


3575

被折叠的 条评论
为什么被折叠?



