
来源:CreateAMind
摘要(3万字长文)
这篇综述激发并综合了神经科学启发的人工智能和仿生计算在人类计算方面的研究成果。具体来说,我们从感知行为的理论基础的角度,通过重塑生物物理学、控制论和认知科学中的观点来描述死亡的概念。我们通过Markov blanket形式主义和由推理、学习和选择产生的循环因果关系来构建致命计算论题。随后的框架——由自由能原理支持——可以被证明有助于指导非常规连接主义计算系统、神经形态智能和嵌合智能体(包括有感知器官)的构建,这将彻底改变具身、生成人工智能和认知研究的长期未来。
Mortal computation · Biomimetic intelligence · Free energy · Homeorhesis

正如我们到目前为止所争论的那样,由于一台凡人计算机遵循任何持久实体的相同的自证原理,所以它是固有形态的。此外,因为它是同构的,FEP适用。这很重要,因为这意味着人类计算机将接近与信念更新或计算相关的热力学支出的下限(朗道尔)。这是因为它避开了记忆墙;即在冯·诺依曼体系结构和其他无定形计算机中所需的从存储器读取和写入的热力学成本。更一般地——也更直观地——因为FEP适用于形态计算,一台普通的计算机可以最小化热力学和变分自由能。
具身决策包括所有三种形式的不确定性,这三种形式的不确定性都受制于非稳态调节:关于生理调节的不确定性,关于运动结果的不确定性,以及关于外部世界的不确定性。
1 Introduction
2 Why Mortal Computation?
3 The Biophysical, Cybernetical, and Cognitive Framings of Mortal Computation
3.1 The Biophysics of a Mortal Computer
3.2 The Cybernetics Backend of a Mortal Computer
3.3 A Cognitive-Philosophical Grounding for Mortal Computing: 5E Theory
4 A Free Energy Framing of Mortal Computation
4.1 A Theoretical Starting Point: Free Energy
4.2 The Principle of MILS through Mean-Field Approximations
5 The Mortal Computation Thesis
5.2 Implications for Biomimetic Intelligence
6 Conclusion
(3万字长文)
1 介绍

仿生学的一个关键方面是在制作数学、计算过程或技术人工制品时的生物模拟,或者更确切地说,是模仿自然或生物系统。这通常是为了解决一个复杂的问题,潜在地促进仿生学——以及面向自然的系统工程——在现实世界中的应用。由此可见,仿生和仿生智能研究试图通过模仿或模仿自然思维和大脑(无数世纪进化的产物)来构建认知功能和支持智能的过程。
生命本身就是灵感不断丰富的源泉,吸引了无数理论家和工程师的注意力;从生物学到物理学,从哲学到计算机科学。从单细胞微生物到复杂生物(如植物和动物)的生命系统提供了一个显著的例子,说明了同源异型增生(以及相关的异体异位和自体生成概念)——生物系统用来组装和维持自身的自我调节过程[70,71,52]——如何支持适应性和复杂行为的出现。从计算的角度来看,同源异形形成并指导生物体在与环境互动时进行的“计算”;特别是它的推断、学习和进化能力。从控制论的角度来看,模拟生命系统的计算特性可以追溯到很久以前,特别是在自我复制的细胞自动机的框架内[346,147,336,360]。
我们的中心论点是,如果目标是制造能够进行大量动物或类人行为的机械计算系统,机器智能的主旨将需要在未来几十年内改变,在精神上类似于从符号到非符号处理的转变[106,105,25],这推动了经典的连接主义和统计学习。机器智能研究可能需要关注实现其非线性自组织和高效适应的过程;这种转变是朝着面向生存的处理的发展,体现了生命/死亡的计算概念,一种自然主义的机器智能。具体来说,我们认为一条至关重要的路径——在通往通用人工智能(AGI)的路上——位于在有生计算中,这是我们在本文中寻求开发的一个框架,希望吸引从事人工科学的研究人员。
在这一点上,有人可能会问:什么是凡人(有生)计算?起源于[169]并在[263,255]中进一步发展和提倡的“人类(有生)计算”断言,作为生物或人工系统中信息处理基础的数学计算/过程与实现和执行它们的物理基础是不可分的,即“软件”不能脱离“硬件”。这与计算机科学中计算的概念形成了强烈的对比:在这里,软件与硬件是分离的,软件是“不朽的”,这意味着它可以被复制到不同的硬件上,并且仍然是可执行的。任何机器学习算法,可以被视为根据数据调整自身的程序,也依赖于这种分离(并在设计时考虑到这一点)。此外,不朽计算意味着一个程序,甚至是一个自适应程序,例如一个“智能系统”,开发特性和获取知识,而不管它是在什么介质上被实例化的。相比之下,凡人计算意味着,一旦实现程序的硬件介质发生故障或“死亡”,知识、行为和特定功能,包括其“怪癖”,也将不复存在。这非常类似于当生物有机体不再能够维持自身时,它所获得/发展的知识/行为会发生什么。
我们认为,至少对AGI来说,如果不完全放弃不朽的计算,可能有必要考虑必死(有生)的计算。过渡到一种与衬底命运紧密相连的计算方式,起初可能显得没有必要,甚至有些鲁莽;因为这样的程序可能是脆弱的,并且缺乏智能系统研究中经常寻求的普遍性。然而,特别是当考虑到我们今天面临的一些紧迫的全球挑战时,例如气候变化,我们将突出人类计算带来的优势—在不朽计算环境中难以实现的优势。此外,支持这种转变的努力可能会发现有用的发展出乎意料地容易。总的来说,短语“人类(有生)计算”提供了关于一个核心真理的许多观点——智能行为,无论是以生物还是人工形式表现,都不可避免地与面对可能导致其终结的环境的持久性交织在一起。这一重要概念统一了几十年来在不同学科中阐述的许多观点,包括哲学、控制论、生物物理学、计算机科学、认知科学和生理学,并对计算神经科学、神经形态计算和神经机器人学中的大量应用领域产生了影响[78]。
论文的结构。在这项工作中,我们描述了一个人类计算的形式框架,它可以作为解决仿生系统、神经信息处理模型和AGI的指南。首先,在第二部分中,我们从热力学、具体化和实践论的概念,以及生与死的哲学中得出仿生学所必需的人类计算论题。接下来,在第三部分,我们将回顾历史概念,从生物物理学、控制论、认知科学和自然主义哲学的角度来描述人类计算的特征。在第4节中,我们基于自由能原理、马尔科夫毯形式主义和形态学基础,从人类推理、学习和选择的角度来构建人类计算。第5节提供了人类计算的定义,阐明了其在仿生和仿生智能的未来发展中可能具有的几个原则。最后,我们将考虑这一方向的科学研究框架的长期影响。
2为什么是凡人计算?
乍一看,将一些软件的命运与实现它的硬件的命运混为一谈似乎有一个缺点:我们排除了跨平台复制/转移我们的计算机程序的能力,以及设计它们而不用担心它们将如何执行的能力。然而,放弃计算的不朽本质会带来一些无价的东西;也就是说,能量使用的大量节省和创建执行必要计算所需的硬件的成本的降低。此外,这种转变为人工思维的一种关键思维方式奠定了基础:智能和适应性行为受到一种动力的驱动,这种动力就是在面对不断演变的环境或生态位(econiche)时继续坚持下去。值得注意的是,这种人工智能(AI)的框架反映了过去几十年认知科学和自然主义思想哲学中的概念转变。
热力学动机。为了理解为什么凡人形式的计算会自然而然地节省能量,考虑当代计算的热力学是很重要的。在开放系统的背景下,信息处理和热力学效率之间有着密切的关系,这由朗道原理[208,44]和Jarzynski等式[185,113,14]决定。具体来说,朗道原理指出,擦除一位信息所需的最小能量E与操作成正比

图1:不朽计算(左图)实现了现代深度神经网络(DNN)等模型,而凡人计算(右图)实现了脉冲神经网络等生物物理形态模型,两者之间的一个关键区别是它们的热力学成本。在运行不朽程序的典型冯·诺依曼体系结构中,在计算机体系结构中不同类型的存储器之间存在能量墙,需要消耗能量来将信息,例如突触权重值或中间层活动,从非易失性存储器(NAND闪存)传输到不同类型的易失性存储器(DRAM、SRAM),最终传输到容纳DNN的CPU。在一个神经形态芯片中,比如一个实现为忆阻器交叉开关(右)的芯片,它将显示一个致命的程序,处理直接发生在内存的顶部/内部,绕过了冯诺依曼设置所需的热力学工作。
(计算)系统的温度t:−𝐸>𝑘𝐵𝑇ln(2)其中kB是玻尔兹曼常数。因此,计算机存储信息的不可逆转的变化需要向周围环境散发最低水平的热量。实际上,Jarzynski等式表明,对系统所做的功的波动被限制为等于将该系统从(平衡)状态X带到(通常是非平衡)状态Y的所有可能实现的平均值,即,

其中FX是状态a的自由能,⟨∘⟩表示平均值。简而言之,当把朗道原理和Jarzynski等式放在一起时,改变计算系统的信息内容所需的热力学功的量有一个下限。
当通过自由能原理[133]的透镜观察时,改变计算系统的信息内容可以被解读为响应于(例如,神经元)系统对其开放的外部扰动的推断(或信念更新)[136]。此外,可以证明推理——作为变分自由能最小化过程——与热力学自由能共享相同的最小值[306]。因此,任何系统的统计和热力学效率——自由能原理适用于该系统——都是同一枚硬币的两面。然而,这种关系依赖于系统动力学的推理描述。换句话说,动力学被解释为变分自由能上的梯度流,或者等价地,贝叶斯模型证据的对数。这与现代计算机中的推理模拟形成对比,例如冯·诺依曼架构。在这种模拟设置中,存在由读取和写入计算机存储器引起的额外热力学成本,即,在片外存储器单元和计算处理器之间移动数据的功耗比那些数据上的浮点操作大近100倍。这些成本有时与“冯·诺依曼瓶颈”或“记忆墙”有关[369]。这意味着,为了实现贝叶斯计算的潜在热力学效率,有必要在内存中实现信念更新,也称为 in-memory processing or processing-in-memory[153,369]。
从机器智能的角度来看(见图1),这些考虑因素允许向基于局部[自由]能量泛函和基于隐式内存计算的仿生计算迈出重要一步,其中内存对应于(c.f .,synaptic)连接权重和隐式生成模型的参数。从人类计算的角度来看,这些考虑说明了在将执行那些计算的底层中实例化计算的所有方面的重要性。从广义上讲,现代人工智能系统的计算特征实际上需要尽可能靠近支持它们的硬件;就像生物系统中的情况一样。相比之下,不朽计算本质上需要将权重张量的值传入或传出内存。它将进一步必须处理随机存取存储器,因为所付出的代价总是与读/写成本有关。信息的基础物理学必然消除热力学和统计效率之间的任何硬线。换句话说,贝叶斯最优就是热力学有效,反之亦然[305]。人们可以利用这一事实对神经元结构和生理学的许多方面提供互补的观点。
上文描述的向热力学高效的人类计算的一般移动解决了最近在人工智能研究中出现的问题[17,61,323,304,273]:我们如何设计智能系统而不增加计算和碳成本?本质上,有一种强烈的需要从红色人工智能,这是由不朽的计算主导,走向绿色人工智能[304],这将自然地促进人类计算,谈到全球可持续发展目标[214,241]。为现代形式的“生成式人工智能”提供动力的transformers,其排放量约为普通汽车寿命期排放量的4.96倍[323]1, 此外,根据2022年发运的图形处理单元(GPU)的数量,估计chat generative预训练变压器[287] (ChatGPT)在其训练期间产生502公吨的碳(GPT-3需要1287兆瓦小时)[232]。
Embodiment and Enactivism。在认知科学领域,几十年来出现了一个核心二元性,它呼应了不朽计算和必死计算之间的分歧。具体来说,这是孤立认知与情境认知或具身认知之间的关系[127]。孤立认知认为没有“身体”的实体可以展示认知技能。有可能有一个“缸中的大脑”[285],也就是说,一个头脑和它的认知功能是独立于其特定的物理嵌入或基底的;联想到笛卡尔的心身二元论[28]。相比之下,具身认知理论[356]认为,思维根植于感觉运动耦合的细节:有机体的身体内在地限制和塑造其精神活动的性质。孤立认知和具身认知之间的这种对比可以被比作争论支撑智能的软件是否可以在没有体现物理世界中的代理的硬件结构的情况下存在。
有大量的证据支持体现,从观察到人类基于大脑感知和行动的特定模式系统重演经历开始。知识的表达受到先前与世界互动的影响,在没有直接参与感觉输入的情况下,需要重新激活感觉运动功能[9,109,5,127]。实施例的更强变体假设身体在精神功能中起反馈驱动的作用:处于情境中的主体可以感知世界并直接受其影响,因此其行为不需要任何表示或计算参考[36,207,239,354,356]。人类计算的概念包含了具体化的框架,也就是说,它将物理形态学视为其计算处理本质的一部分。人类计算机固有的核心功能是基于硬件或“身体”的,与低级的感觉运动功能没有明显区别。这可能意味着人类计算的模型可以被描述为“具体化智能”(或Embodiment人工智能[107])的一个特定实例。然而,正如我们将在人类计算的处理中看到的,这样的系统不仅仅是具体化的处理;它也是行动功能的化身。作为对体现的补充,生成认知强调一个有生命的实体的环境和实体本身之间的动态关系[332];一个实体的认知是运用其感觉运动系统与世界交换的结果。这意味着人类计算机是其处理的信息生成的积极参与者,因此将受到其行为方式和行为后果的影响[103,343]。
关于死亡如何塑造生命的哲学。从哲学上讲,生命的“有限性”可以被视为赋予生命以目的的因素之一,为生态位的构建创造了“动力”(如选择压力)。这种动力驱使我们人类交流(例如,教导)来一代一代地传递智慧和启发;即从进化心理学的角度来看,文化生态位的构建。这让我们能够创作艺术作品来表达一种内在的信息或体验。此外,生命的有限性需要生殖,遗传素质在生殖中传递,以确保物种的生存。这种观点激发了第三节中考虑的人类计算机的自我复制生物物理和控制论方面。从生死哲学[124]和存在主义[125]的角度来看,死亡——或者说一个实体存在的终结——是一个隐含地塑造行为和意识的视界。换句话说,死亡允许未来的事件对现在的活动施加一个隐含/明确的压力[194]。一个实体的存在和“存在”可以被认为是随着时间而过去的,时间是有限的:最终以我们的死亡而结束[165]。因此,对于生物和人造的人类艺术品来说,理解什么是真正的生命意味着接受自己的有限性。这种死亡的概念——以及它对一个实体生命的影响——有助于从哲学上构建人类计算。虽然存在主义和生/死的哲学处理[125,165,124]集中在我们可以将其中的一小部分用于我们的目的:从死亡中提取意义——理解死亡——塑造一个实体的生命。这允许人们理解,动物,包括人类,无论是隐含的还是明确的,都知道它们的存在是有限的,它们被激励去复制和采取行动来为持久的坚持生存服务。
为了扩展上述思路,自然主义的心灵哲学[179,180,332,343]将生物实体对信息的持续搜寻描述为自证,即,通过所谓的自生生成论[96]优化其自身存在的证据[176]。在这种实践论enactivism的基础上有两个概念:操作封闭和意义创造 operational closure and sense making。操作封闭意味着一个系统必须经历自创性的自我组装和自我维护,以保持其内部状态与其所处生态位的外部状态相分离。这就在系统是什么和不是什么之间建立了界限。至关重要的是,系统的(如代谢)过程决定了这一边界的性质,例如,允许细胞从原始的分子化学汤中出现[340,342]。作为一个直接的结果,一个系统的存在可以被看作是一个边界守恒的过程;这激发了我们在第4节中对人类计算的马尔科夫毯形式化。生命体通过将自身从其他一切事物中独立出来而存在[332];做到这一点的过程是固有的身份构成,产生一个单一的,功能连贯的单位[342]或自明的整体[102]。作为运营结束的补充,是有意义的;也就是说,承认外部过程和实体的内部过程之间存在相互依赖,也就是说,一个生物系统必须将其自身从其生态位中区分出来,但仍然与其耦合,以便在该生态位中持续存在[342]。有意义是指系统拥有操作上封闭的机制,有助于推断其感觉运动行为的后果,并区分通过小生境的其他同等可行路径的不同概率含义[102]。在下一节中,这种生命系统的自动生成、生成框架将服务于生物物理学、控制论和人类计算的认知框架。
3人类计算的生物物理学、控制论和认知框架
The Biophysical, Cybernetical, and Cognitive Framings of Mortal Computation
为了建立一个与机器智能的仿生形式产生共鸣的人类计算的基础,本节综合了生理学、生物物理学、控制论、认知科学和自然主义精神哲学的核心概念。编织在一起,这些想法形成了人类计算的理论结构,激发了它在第5节的定义。
3.1人类计算机的生物物理学
通过物质和能量的流动成为可能,并建立在自动催化闭合的基础上[192,144,178],一个生命系统可以自我组织和生长,在受到环境扰动时保持和修复自己。这是由有机体的新陈代谢推动的;它的一系列维持生命的化学反应,利用能量将物质转化为结构,结构本身利用进一步的能量来转化/运输物质,并消除/排泄多余的物质和毒素[250,267,293,242]。以酶催化剂为动力,通过分解代谢固有的代谢途径[212](分解代谢破坏物质释放能量)和合成代谢固有的代谢途径(合成代谢通过消耗能量合成物质),生物体能够确定哪些物质是有毒的或值得消耗的,对其环境和其他实体行为的变化做出反应。
至关重要的是,任何生物体的持久性都取决于对上述代谢过程的仔细调节[351,298,60,317],从而使关键代谢变量(如温度、pH值、体液平衡)的值保持相对恒定,即在一定的界限内并接近称为设定点的目标值。这就是动态平衡homeostasis的目的[49]——确保系统的基本变量在适应不断发展的、敌对的环境时保持稳定[70,71,49,52].2尽管稳态homeostasis的基于反馈的纠错能力远未提供具有内部稳定性的生物系统,但它是由异稳态allostasis[321]提供的高阶调节和错误预防,这允许它以先发制人、非反应性的方式行动,以确保稳态调节是充分的。作为一种“预测性体内平衡predictive homeostasis”,异体平衡提供了由体内平衡控制范围之外的间接线索触发的预期措施,如应激源和令人惊讶的环境条件[236,64]。最终,非稳态控制的目的是从一开始就防止基本变量将来出现偏差。在一台凡人计算机中,这意味着变构过程精细的稳态(或更一般的稳态),在需求出现之前努力满足约束;这使得凡人计算
在像细胞这样简单的实体中,体内平衡调节负责保持大范围的生物物理量,包括细胞外液、温度、酸度/碱度(pH)、溶解颗粒(如钠、钾、葡萄糖、二氧化碳和氧)的浓度(渗透压),相对恒定并接近期望值。
像生命系统一样预算资源[320,321]。总的来说,在生物实体和人类计算机mortal computers中,反应性的稳态维持和主动的非稳态控制共同确保生命关键变量保持在可行的范围内。
作为上述生物物理公式的结果,人类计算机mortal computers的自组织(与其硬件相关的原语/内部状态)构成了其热力学和代谢效率,奠定了其机构和适应能力的基础。重要的是,它的代谢组织远离热力学平衡,因为能量和物质会以热量和废物的形式损失,因此它必须觅食,就像在生命系统中一样,因为它们不断获得新的资源。正是开放系统和它的环境之间的这种关系保证了系统的设计;以确保其热力学成本降低到生命系统的水平。鉴于热力学第二定律表明,在任何封闭系统中,熵的数量都不会减少,因此“活的”(即开放的)人类计算机不会处于热力学平衡状态,因此作为耗散系统运行。这意味着它必须增加其环境的热力学熵[345,347])。因此,人类计算机的持久性取决于它通过其低级处理(即,使其自由能最小化所采取的动作)保持远离热力学平衡(即,死亡)的能力;参见第4节)以便通过产生无序来建立秩序[98].3
最后一个特征——完全描述一台凡人计算机所需要的特征是自动生成——是它从内部制造自己的能力。对于任何被认为是自生的实体,它必须在没有外部干预的情况下持续(再)生产、组织和维护自身,包括其组成部分/过程以及它们之间的关系模式[340,234,341,59]。这意味着一台人类计算机必须保持它的形式、完整性和功能,强调对智能、适应性行为的形态处理。此外,在这里使用的意义上,自生包括稳态和异稳态控制,因为自生系统可以利用这些调节机制来维持其内环境。自动生成将一个系统(包括其转化/破坏的过程/元素的生产网络)置于物理空间中,这意味着自动生成实体由其拓扑域指定和塑造。
将一台凡人计算机设计成自动生成的,是基于它的物理媒介和动态特性。这意味着,凭借其再生/复制能力,它必须能够比其组成部分持续更长时间。为了使这成为可能,嵌入空间[340]的某些方面必须到位[119,116]: 1)基层材料,例如基质的集中,2)体现/编码信息的组织,以及3)持续再生和内部生成的过程或动态。这些标准对人类计算系统的结构和行为细节有几个含义。首先,这种系统必须能够从环境中选择正确的物质,例如分子,并使用体内平衡/非体内平衡调节将它们包含在正确的内部浓度/平衡中。因此,任何这样的系统都必须有一个边界:例如,在一个细胞中,有一个渗透膜,里面嵌有材料过滤子系统。由于波动-耗散定理导致的耗散,当受到环境扰动的冲击时,人类系统的保护体自身会崩溃[355],因此需要持续的修复。这种修复可以通过替换受损/腐烂的组件(例如分子结构)来实现,并且这种组件可以使用通过合成过程从环境中获取的原材料来生产,该合成过程本身可以分解/腐烂.4
生物物理框架。上述生理学考虑意味着生命具有新陈代谢的方面[58],因此人类计算系统的构建应该从构成其内部状态的基础级功能或变量开始,即基本变量或“原语”.5 由于人类的计算机是自动制造的,这些由许多层次的调节所调节和协调的基本元件和它们的物理结构,应该表现出持续的自我修复。本质上,一个完整的人类计算实体的设计至少应该包括:
1)围绕系统内部状态的边界(马尔科夫毯;参见第4节),2)用于从内部产生系统的合成引擎,以及3)一个或多个换能器-致动器子系统 transducer-actuator subsystems6 其能够与环境进行受控的相互作用,例如跨界泵和过滤器。
一个基本的人类计算单元包括一个由嵌入式传感器和致动器组成的物理边界,允许它作为一个开放系统与其小生境进行交互,在该开放系统中,材料/能量穿过
3本质上,这是生物热力学第一定律的一个应用[35]。
4递归地,这意味着合成过程本身必须在运行时以正确的排列制造和改造它们自己的组件,以便形成/保持它们自己的结构。
5原则上,基本变量/原语的确切规格将取决于人类计算机系统的确切计算机实例。在设计仿生实体时,将许多生物物理变量按照它们在目标硬件平台上的类似物进行联系或比较可能会被证明是有用的。
6换能器将能量从一种形式转换成另一种形式,例如,将机械能转换成电信号。

图2:从生物物理学和控制论的角度看,人类计算是生物(类器官)和人工系统(神经机器人)的基础。绿色虚线文本框表示控制论原理。
这个界限。这种转换后的流量受到由稳态设定点施加的内部控制:需要简单的机制来比较由传感器产生的感测值和存储的内部建立的设定点。这种生产反应规范为系统的行为提供了个人原因。任何比较器对转换后的信号作出反应,发出控制信号来驱动致动器,例如用于清除废物的分泌机构。这些传感器-比较器-致动器子系统transducer-comparator-actuator subsystems促进了人类计算机与其环境的选择性交互;变异是信息,而系统的作用是物理力。
在图2(上图)中,我们描述必要过程的操作性质的概念层次来构建人类计算。基本变量/状态位于人类计算机的基本功能级别,并与硬件形态的固有属性(功率级别/存储、温度/热量级别)相关。在此之上是调节体内平衡控制的过程,即反应调节水平,提供对抗某些系统基本要素中的偏差所需的措施,以确保这些变量保持在特征值附近.7例如,如果能量低于某个水平,稳态功能将触发内部动作,将能量从能量储备发送到系统的主电池。在脉冲神经元的神经形态构造中,一个具体的稳态变量是细胞的放电率,其影响系统效率,因为稀疏活动促进减少全局计算和硬件资源使用。这可以以设定点的形式建模,设定点被实现为自适应阈值/界限,其在每次单元触发时增加;防止任何细胞太容易着火。在这种稳态表征水平上,考虑将稳态功能耦合在一起可能是有用的:图3(左)显示了一个以转导信号为条件的稳态调节器,它调节另一个稳态过程的设定点。一个可能的设计选择(见左图3)可能包括递归操作的堆叠形式[54,118,115],产生一个动作感知系统或“开放式新陈代谢”[116]:这里,一个基本传感器-比较器-致动器transducer-comparator-actuator 单元放置在另一个类似的基本单元内,但其设定点的控制信号输出是有线的,以修改原始基本单元的设定点。受在生物实体中观察到的分层、复杂的代谢调节模式的启发,其中体内平衡是通过管理代谢途径流量的酶活性来实现的[317],一台凡人计算机将实现体内平衡控制机制的多种变体。内在控制机制可以基于更高水平的设定点值改变某些代谢功能的操作条件,而外在过程可以触发复制/删除特定可变结构的例程,例如,基于来自系统边界外的特定转导值的类似于细胞分裂、特化或凋亡(程序性细胞死亡)的例程[89]。
随后在稳态-反应水平是预测性调节水平,导致异稳态过程Supervening on the homeostatic-reactive level is the predictive regulation level entailing allostatic processes。这种变构功能可以被实现为神经回路,例如神经形态芯片内的泄漏积分器,其触发更高级别的运动指令动作。这些类型的功能例如可以通过响应于系统内远端换能器/传感器接收的信息修改它们的设定点来与稳态功能相互作用;参见图3(右)。通过整合记忆结构,可以使非稳态功能变得越来越复杂,这些记忆结构反复捕捉感觉流中的长期相关性,并促进稳态比较器设定点的时间顺序设置。假设一台人类计算机是一个在非平衡稳态下运行的开放系统,其非稳态过程建立在稳态设定点因其环境而变化的前提下,并且必须确保在面对这种变化时的稳定性[319,236],即实例化同态。这种高阶过程将在面临挑战时启动复杂的适应途径,例如破坏人类计算机形态的外部威胁,并在“挑战”过去后关闭,就像在生命系统中一样[235]。人类计算机的顶层视图,即自动生成自主层,包括其形态发生和复制过程。正是这些使一台凡人计算机具有了“自动制造”能力。这一层包括对以下级别的再生和修复行为的描述,以及单独的创建/破坏例程,即互补神经回路制造、分配/特殊化/重新布线例程,这些例程基于过剩的组件触发,甚至是简单的变量克隆/删除。生成/修复行为的规范可以与基本基元的分解代谢/合成代谢功能相关,因为这种机制提供了产生人类计算系统的持续再造的基本产生和移除引擎。此外,高阶复制形式的规范将进入这一描述层次,注意,如果引入突变,系统级复制的机制是可能的。本质上,通过复制和形态发生过程,该系统能够自我维持其“身份”,不断自我生产,无需外部干预。
图2(上图)中人类计算机的另一个基本方面是它的感觉运动依赖性。这是由生物学中的代谢依赖性/基于代谢的处理和适应性[110]所激发的:细胞运动性背后的中心推动力,例如趋化性[350,111]或趋光性[186,31],其与其小生境的相互作用是其代谢驱动[87,325,12]。传感器/换能器和效应器/致动器在不同程度上表现出
7鉴于生物体内的稳态调节自然会有所不同,确定什么是需要调节的正确的稳态变量很可能取决于执行核心计算的硬件。

图3:(左)一台简单的人类计算机,内置耦合稳态设定点比较器——在这个系统中,一个设定点比较器设置另一个(低级)设定点。(右图)一个非稳态机械系统——在这里,一个预测器(由记忆驱动)预测一个低级比较器的需求,偏置系统以采取行动,从而改善稳态过程的可用资源。橙色模块代表传感器(换能器),粉红色模块代表致动器(控制摄入和分泌,取决于流向箭头的方向)。实线代表转换的信息信号,而虚线代表控制信号。
系统的设计及其提供的形态学,对代谢功能和调节过程的依赖性。在图2中,这些被标记为“异稳态影响”、“稳态影响”和“代谢影响”。例如,运动子系统的运行可能以基本变量的子集、几个稳态比较器的设定点和一个或多个非稳态控制器发出的控制信号为条件。这种依赖性如何调节或改变特定感觉或致动子系统的功能,将取决于系统的基底及其生态位。正是通过感觉运动路径,当人类计算机与它的生态位接触时,能量/物质与它交换。

最后,请注意图2(顶部)中包围人类计算机的功能级别和感觉运动路径的虚线边界框被标记为“组织封闭的”——人类计算机应该只根据其自身的自我复制结构进行操作,而不是根据其直接接收的输入进行操作。虽然对于一台普通的计算机来说,组织上的封闭性是很重要的,但这并不意味着设计者要致力于特定的物理表现。简单地说,组织是指系统的过程和部分之间的关系。人类计算机的结构是指组成组件及其关系的物理实例化。一个组织可以表现为多种结构形式。这意味着,由于它是自动生成的,一台人类计算机的结构可能会随着时间的推移而改变,但它的组织会持续存在。一台普通计算机的反应依赖于它的结构并由其决定,但也由环境事件触发。这意味着一个mortal computer凡人计算机,像一个生命系统一样,不断地与它的世界交互,从而耦合到它的世界,如图2(顶部)中“传感”、“驱动”和“能量交换”的有向箭头所示。简而言之,一台mortal computer人类计算机的完整故事包括它的利基:人类计算机和它的环境相互干扰,并触发彼此状态的变化。
3.2人类计算机的控制论后端
支撑这种人类计算观点的一些关键思想来自经典控制论 cybernetics[352,24,365,38,104,166,271,168],该领域的核心思想是,任何系统实际上都是一个生成模型,充当它所控制的环境的模型。有机体的结构,就其本身而言,被认为是推理过程的一部分。一个与这种框架显著相关的关键生物物理术语是稳态homeostat,由阿什比著名的稳态[23]证明。这些控制论的概念呼应了生理学中的许多概念,加强了人类计算 mortal computation必须首先基于其结构和隐含机制的观点。控制论的核心是“反作用”的概念——一个系统的指令是,以某种康德式的方式[191],将其“目的”(即目标)纳入“手段”(即机制),以确保其目标的实现是(几乎)不可避免的。逆向行动提出的一个中心问题是:一个系统如何学习它需要知道的东西,以便有效地行动?
这个问题激发了对人类计算的补充性描述,即如图2(底部)所示的“控制论 cybernetics后端”,一个控制论原理或公理的特殊综合。从根本上说,控制论是关于系统的,它被视为由基本部分及其局部相互作用组成,其表现出集体动力学[177,312],给定足够的能量[27,100,190,21,192,167,93,353],从这些动力学中可能自发产生整体有序。在这样的系统中,部分产生“整体”(向上因果关系),并在一定程度上约束它,而整体约束组成部分,使它们的行为符合系统定义的更高层次的法则(向下因果关系)[69]。为了用控制论的术语完全理解一个系统,特别是它与环境的关系,我们必须从控制论的基本原理开始;即多样性。

简而言之,多样性是系统状态空间[22]或log2(|𝑆|中可区分状态数量的度量,其中|S|表示状态空间s的基数.8 多样性可以进一步解释为系统在选择特定状态时的自由度。多样性的变化是系统进化的特征,重要的是,多样性可以通过选择来减少[168],选择是用来分类哪些状态稳定哪些不稳定的标准。为了给人类计算提供一个视角,我们把控制论原理分成三个互补的组:1)稳定性,2)增长,3)调节/控制。在图2(底部)中,我们描绘了这些组之间的核心关系,以调节/控制为中心。
对稳定的追求。对于一个系统,例如一台人类计算机(见图2底部最左边的三分之一),最重要的是达到稳定状态(即一组吸引人的状态)。系统最终的理想状态是一种超稳定状态,在这种状态下,系统达到了一种自组织形式,允许它收敛到一种吸引状态,而不改变它的部分到部分的关系,即,它已经发展了反馈驱动的步进机制,改变内部变量以响应环境扰动[365,20]。不对称跃迁的原理就适用于此:处于不稳定(高能)组态的系统有可能跃迁到稳定(低能)组态,但反之则不然。这意味着系统隐含地执行选择,将状态空间中具有高变化的区域留给具有较低能量的区域。当系统达到更稳定的状态时,系统拒绝更少的状态,多样性随着系统变得更有组织而减少,如果人们将多样性等同于(热力学自由能),系统必须做功,从而产生变化。因此,如果一个系统是稳定的,它不经历变化,可以被视为处于最小能量的状态;因此,系统不太可能消耗离开其当前稳定状态所需的能量。
在达到稳定状态的努力中,应用了选择性变化和从噪声中有序的原则:系统经历的配置/状态的变化越大,它就越有可能保留这些状态中的至少一个(第一原则),而冲击系统的随机扰动将帮助它找到更稳定的状态(第二原则)。换句话说,噪音会增加系统找到更稳定状态的机会,从长远来看,会增加系统的适应性。作为补充,盲变和选择性保持(BVSR blind-variation and selective retention)原理(67,68,313)认为,通过“盲变”产生的配置,即系统无法先验地知道哪些状态将被其动作选择,将可能导致其过渡到稳定状态,与不太稳定的状态相比,不太可能被消除。因此,一个系统的进化是保守的,即稳定的配置被保留,从而被利用,而不稳定的配置消失[68]。
系统增长。控制论系统的第二个关键特性是它是形态学的和形态发生学的,因此能够生长和复制(见图2底部最右边的三分之一)。这又回到了人类计算机作为自动生成的框架,这要求它具有再生和自我修复的能力,同时保持其协调的整体。从控制论的观点来看,一个系统是形态的,如果它能够加载或执行一些计算——导航一个环境所必需的——到它的身体结构,即它的形态形式.9 形态发生指的是塑造系统特定形态的系统-环境交换[333,361,335,156]。从控制论的观点来看,形态发生系统是一个通过改变其组织和/或结构的基本方面来保持其连续性和完整性的系统[48]。请注意,形态发生过程可能是由变化的环境条件触发的。在生物学中,这可能是多细胞结构对外部损伤的再生反应,并可以解释人工和生命系统中模式的出现,例如,众所周知的例子包括细胞类型协调/生成的“图灵模式”[335]和“形态原”[361]。我们认为建立在形态发生基础上的自我复制是一种系统行为,它导致自身或自身部分的相同/相似的副本。生物学中一个众所周知的例子是细胞有丝分裂,即分裂。在控制论中,复制原理的某些方面来自于对细胞的研究
8如果一个系统有两个状态,那么只有一个可能的差异/区别;变化等于一。
9这在机器人学领域变得越来越重要,产生了所谓的形态机器人学[223, 277, 163, 210, 211].例如,就像动物利用其腿部弹性肌肉-肌腱系统的材料属性来减少其大脑执行的计算一样,具有腿部执行器的机器人致力于利用这些腿部的生物机械属性来进行运动,从而减少所需的内部基于物理的计算[277]。
自动机[209],起源早于冯·诺依曼的万能构造器[346]和“生命的游戏”[147,47]。从本质上说,一个能自我复制的系统的控制论基本条件是,它通常必须具备:1)复制因子的“代码”表示,2)复制代码表示的机制,以及
3)用于在复制者的环境中执行构建的机制[346]。产生其来源的不完美拷贝的复制过程(例如,应用了突变)变得受制于自然选择,并如上所述追求自身的稳定性;这个“后代”是另一个基础,一个系统的组织——它的身份——随着时间的推移而传播。
如果一个系统达到了非平衡稳态,并且是自我复制和形态发生的,那么自动催化增长的原理[193]开始发挥作用——一个正反馈循环被创建,这样爆炸式增长是可能的,系统将复制,并且给定有限的资源,不太适合的系统将由于竞争而死亡。自动催化生长与BVSR原理相结合,驱动系统的自组装,由于其形态边界,该系统可与其环境相区别;这是自动生成的控制论形式。这也产生了递归系统增长的原理,其中相互作用的自稳定系统,每个都有自己的边界,充当一组相关的积木,它们将经历变化,从而重组以产生更高阶的配置;其中一些会比其他的更稳定。就像基础系统经历选择以达到稳定一样,更高阶的集合也是如此,因此,等级和异质(“几乎可分解”)系统[311,188]将会出现。10 考虑到自催化生长是递归生长原理的基础,当一个稳定的状态集合使其他构建模块系统更容易加入时,其组成构建模块的数量将会增加[177,291]。
调控。人类计算的第三个也是最后一个方面——我们试图通过控制论的视角来阐明——是它通过调节和控制与环境的关系。这里,三个基本概念开始发挥作用:必要多样性定律、良好调节器定理和内模控制原理three foundational notions come into play: the law of requisite variety, the good regulator theorem, and the principle of internal model control。必要变化定律[199,26]指出,一个控制器只能控制一个目标系统,例如,一个环境,如果它表现出足够的内部变化来代表它;系统应包含获得超稳定性所需的最少状态数[20]。在积极监管的背景下,人类计算机必须有足够多的行动可供其支配,以确保其基本变量的结果几乎没有变化;它必须能够处理其环境固有的可变性。实际上,这与人类计算机维持其内部状态的能力有关,即,它的稳态,以响应外部状态。如果它被当作一种“阻断剂”,防止环境对(代谢)变量的干扰,为了使它有用,这种阻断剂应该具有和它所阻断的一样多的灵活性;否则,它将无法防止它所阻止的变量的扰动[281]。必要多样性的一个结果是,一个系统要对它的环境施加足够的控制,它应该努力使它的内部多样性最大化,以便为它可能遇到的扰动做好最佳准备;最大化内部熵增加了其控制自由或行动选择[118,117]。
在这种平衡的背景下——在内部和外部多样性之间——出现了好的调节者定理[90],也被称为必要知识法则[166]。良好调节器定理指出,环境的每个自调节控制器本身必须包含该环境的模型。这个定理意味着,调节者,例如一台人类计算机,成为它试图控制的niche的模型,更一般地说,系统的生存需要形成、学习和维护其环境的模型。这对于达到超稳定性至关重要。内部模型控制(IMC internal model control) [130]是对良好调节器定理的有益补充,它规定管理环境的控制器的目的首先是提供闭环稳定性,其次是调节作为目标输出和参考信号的函数的变量。IMC断言,如果一个系统在某些系统参数被扰动时保持了这两个特性,那么“综合”或联合控制器-环境系统被认为是结构稳定的。IMC原理有助于将人类计算机对其环境的适应连接回其中心方向之一;达到远离平衡的稳定。

控制论框架。如图2(底部)所示,一台人类计算机的控制论后端根据上述原则描述了它的集体动力、突现行为以及与环境的关系。人类计算机或“再生控制器”(为简单起见,描述为两级系统),包括低级部件,这些部件可以是第3.1节中的基本变量,它们彼此之间具有关系(可能是双向的),如黑色箭头所示。这些低级单元的集群产生了更高级别的单元(显示为略带紫色的正方形),这些单元彼此之间也有关系;低级单元向上引起高级单元,高级单元向下调制低级单元。
10请注意,规模较大的组件,由较少的构件组成,通过盲目变异产生的概率较低。
人类计算机的当务之急是达到低能量的稳定配置。一旦达到更稳定的构型,就不太可能回到先前稳定的更高变化的构型(不对称转变的原理)。此外,由于噪音有序和选择性多样性的原则,环境中的随机波动使它能够不断找到更稳定的配置。人类计算机的当务之急是达到超稳定性,也被视为成功的体内平衡。环境是人类计算机向稳定发展的关键因素;它拥有系统驱动自我生成过程和自我组装所需的资源。由于BVSR原理与自动催化生长的协同作用,人类计算机具有自我生成和自我复制的能力,因此它能够在适应其生态位时递归地自我生长。最后,鉴于一台人类计算机是可再生的,因为它通过行动创造环境——并通过传感器学习其属性(将这些知识编码到内存中)——它作为一个良好的调节器运行,努力成为内部控制的模型。关键是,作为促进其形态发生的自我组装的结果,与环境的多样性相比,人类计算机表现出足够的内部多样性,以确保其持续存在。
就控制论的多样性而言,我们可以通过一台人类计算机与物理世界的联系来理解它随时间的演变。物理世界本身由粒子(在时空中)和能量流(由跨越这些粒子的力引起)组成,导致粒子的构型/状态不断变化。这意味着,在任何一个时间点,环境都处于不同于任何其他配置的特定配置中。因此,宇宙配置之间的差异是一个系统所关心的,其中信息属于这些差异[34].11人类计算机在与世界的互动中感知到这些差异,并通过调整其内部状态做出反应,从而保持组织的封闭性。因此,人类计算机的配置或结构中包含的信息会自我组织,以与它感知和响应周围环境的模式相关联。值得注意的是,细胞自动机(或人工生命[209])体现了许多上述原则,已被证明表现出非平衡动力学[359],并根据我们的控制论后端,作为一个可能的基于简单转换规则的人类计算机的最小模型。
3.3人类计算的认知哲学基础:5E理论
到目前为止,我们已经通过生物物理学建立了人类计算的实施观点,并通过控制论建立了人类计算的分析观点。基于这些结果,我们现在考虑它的认知哲学基础。具体地说,我们将一台人类计算机分解成它的“认知切片”,以展示我们称之为认知的5E理论。在认知科学中,4E认知理论[145,338,249]将认知过程分为四类:体验认知、生成认知、嵌入认知和扩展认知。在这项工作中,人类计算是根据4E理论的一种形式进行的,我们将其扩展到包括“基本认知”,或生物学中的“基础认知”,它基于神经系统之前存在的功能来表征所有生物实体固有的行为[219,224,122,123]。这就产生了认知的5E理论,如图4所示,描述如下:
1.基本的:认知建立在基本的功能和结构上,这些功能和结构使得能够采取行动和跟踪生态位的各个方面以确保生存,即寻找食物、避免危险和繁殖[229,276]——这是基本的认知[219,224],它通过系统的自我生成来体现;
2.具身化:认知不能仅用抽象的心理过程和表征来描述,即它必须涉及整个身体/生命系统的形态(身体充当大脑的约束和/或认知的分配器/实现者)[18,127]——这是具身化论题[18,9,127,343,309];
3.能动的:认知是一组有意义的关系,这些关系是由生物的生物学和现象学复杂性与它们居住和积极塑造的环境之间的适应性双向交换决定的[292,332,146]——这就是能动主义;
4.嵌入式:认知不是一个孤立的事件,与生物实体的生态环境相分离,也就是说,一个实体表现出与世界的物理、社会和文化层面的共同决定[330,81,62,279,37]——这是情境认知或情境[294];和
5.扩展的:认知经常被加载到生物和非生物装置中,以充当仅依靠代理人自己的心理过程不可能/太难实现的功能——这是扩展心智理论[85,357,83,184](心智扩展到个体的边界之外)。
请注意,当解释其所有五个原则时,上述5E理论不仅将实体的心理过程与其生命维持过程[340,234]、其身体或形态结构及其生物生态位联系起来,而且还与个体系统之外的集体动态/过程联系起来,例如,多主体团体、抽象组织结构。这可以包括非物理表现的元素,例如,社会结构和


图4:由相互关联的认知切片显示的人类计算:基础认知功能(自我生成驱动)、形态/身体功能、生成小生境影响功能和外部驱动功能。越来越复杂的人类计算机将是生命-思维连续性论题的体现。
定位认知功能的文化期望[294],以及非生物对象,例如笔/纸或智能手机等技术人工制品。
这与孤立的认知理论形成对比,在孤立的认知理论中,神经/心理过程是认知行为的唯一驱动力[126,159,175,176]。通过5E理论的前三个E的镜头,一台凡人计算机可以被解释为选择性地对其生态位做出反应,始终如一地调节其边界,即参与自动生成的实存主义[96],以确保它不会消散或溶解到其环境中。它维持低水平基本/状态的反应的成功/失败——与它的生物物理稳态或控制论超稳定性相关——本质上由其身体/形态决定[348,15],受制于选择历史。然而,虽然我们的焦点已经集中在人类计算如何围绕自我调节、身体结构和小生境niche形状计算,但是实体的生存和继续存在肯定会受到其与世界中的其他参与者(例如,其他人类计算机)的交互以及其对可用的非生物对象/工具的使用的影响。在这一概念下,扩展的认知系统可以被理解为包括生物体环境的神经、非神经和体外方面[85](例如蜘蛛编织的网[184])。有可能进一步推动身体在认知功能中的作用的观点:不是将非神经结构视为服务于无实体认知过程的(辅助)资源,而是将其视为需要复杂内部心理表征的替代物[309],即替代假说。
在图4(右图)中,我们描绘了5E认知理论的分组,按照从下到上递增的认知复杂性和效果进行排列。基础认知功能位于具身认知之下,它包括管理基本原语的调节过程以及通过自然选择在有机体中出现的选择和导航的基本形式;即使它通过一个生命系统的形态/组织来表现自己。在图的左半部分,我们描绘了人类计算机的认知切片(范围):1)基本认知(通过自动生成的功能),
2)形态认知(通过身体结构/形式的功能性),3)发生认知(通过身体和其小生境之间的相互作用的功能性,反之亦然),以及4)外化认知(通过系统外实体包括其他人类计算机和非人类物体的功能性)。如紫色箭头所示,认知范围相互依赖并相互调节。形态学认知是由基础认知固有的同形/异态机制密切驱动的。生成认知依赖于产生动作的形态学,以便操纵/响应环境,从而触发作为其因果动作的结果的结果。外部认知需要人类计算机参与其他人的集体,包括相关的抽象规范和标准,这种外部化的认知处理的结果将对人类计算机的基础水平产生自上而下的调节效应。
通过5E理论的镜头来检查人类的计算,可以根据认知功能性的复杂性增加来进行表征。如图4所示,对其行为的研究可以通过一个认知切片进行,例如,一个人可能想要关注其具体化的功能(什么启示[154]


图5:一个细胞的内部状态𝑧,环境状态o,以及它的马尔可夫链:感觉𝑠和行动𝑎。弧线是节点之间的条件概率关系。
系统的主体提供),而不是它的扩展功能(系统如何使用工具)。这也需要考虑认知范围之间的关系,例如,在基础认知基础上提供的功能决定了可能影响系统生成功能的形态认知功能。请注意,5E理论的认知范围从简单和复杂系统的角度对人类计算进行了界定,这与生命-思维连续性理论非常相似12 对大脑/思想的影响。
4人类计算的自由能框架
在前述生物物理学、控制论和哲学认知观点的推动下,我们转向人类计算的理论支柱,我们称之为人类推理——学习和选择(MILS) mortal inference-learning and selection (MILS). 。MILS根据所有生物都参与的三个过程,即推理、学习和适应性结构的选择,突出了表征系统及其最佳行为的时间尺度的分离。为了描述这三个过程的特征,我们从回顾马尔可夫链构造和自由能原理开始。此外,我们突出了有形态和无形态之间的区别,因为这将区分计算系统固有的mortal和非mortal。
4.1一个理论起点:自由能
自由能原理断言,实体要保持其结构和功能的完整性,就必须通过行动改变它们与其econiche实体的关系。从生物物理学的角度来看,自由能原理(FEP)描述了开放随机动力系统的自组织特征,这些系统积极抵制无序的自然趋势,或者换句话说,在一些宏观时间尺度上保持可测量/可识别的独特、持久的实体[136]。根据FEP,任何具有非平衡稳态解的实体(NESS)13 non-equilibrium steady-state solution具有以下性质:1)它的内部密度动力学有条件地独立于系统的环境;即,环境和系统是弱耦合的,并且实体具有不同于其外部或环境状态的状态,以及2)它将通过返回到或接近其NESS来持续“自证”[176];即,实体表现为保持其功能完整性.
12生命-心智连续性理论指出,心智的起源与主动持续存在的系统(生命系统)的起源有关,而不是那些被动持续存在的系统,如恒温器或耦合钟摆系统[197]。
13一个生命系统必须处于非平衡状态,因为这种状态意味着有能量/动力和/或物质的净流动通过它——这种状态不能自我维持,因此需要隐性或显性的能量。这是生命的一个关键条件,因为能量将被用来驱动从系统中摄取/清除物质的过程。因此,如果没有能量/物质输入到系统中,系统将松弛到平衡状态,从而“死亡”。
请注意,这两个特性与我们的概念是一致的,即人类计算机是自动生成的,并朝着超稳定性的方向努力。
Characterizing a Mortal Computer with Markov Blankets


用马尔可夫毯描述一台凡人计算机的特征。作为上述弱耦合和局域相互作用的结果——如FEP的两个核心性质所规定的——系统的全(联合)状态空间,例如一个凡人计算机和环境,可以划分为外部/环境状态𝒪 = {𝑜 (𝑡)}|𝒪|,内部/系统𝒵 = {𝑧 (𝑡)}|𝒵|),中间ℳ = {𝑚 (𝑡)}|ℳ|),也称为(马尔科夫毯)州.14
Markov blanket构造[274]充当实体内部的内容和实体外部的内容之间的接口[173],并且在3.1节和3.2节的形态学边界内表现出来。它也可以被描述为一个统计邻域,由{z(t)}中的所有状态的父状态、{z(t)}中的所有状态的子状态或{z(t)} [84]的所有子状态的父状态组成。至关重要的是,Markov blanket对象提供了FEP核心属性所要求的必要的状态划分:不包括在所描述的关系中的状态
( z(t)的父母、子女和子女的父母)不提供关于内部状态z(t)的进一步信息,这意味着给定m(t)的存在,z(t)有条件地独立于环境状态o(t)。假设它们描述了一个实体如何感知和作用于它的小生境,马尔可夫毯状态可以被进一步分解
分成两组状态:感觉状态𝒮 = {𝑠 (𝑡)}|𝒮|调节外部状态对内部状态的影响,
动作状态𝒜 = {𝑎 (𝑡)}|𝒜|,调解内部状态对外部状态的影响。
为了将马尔可夫毯的概念建立在人类mortal实体的背景下,考虑一个神经元细胞。在这种情况下,马尔科夫毯将采取细胞表面的形式,将细胞内和细胞外成分分开。神经元的感知环境由其部署的感觉结构决定,包括突触后受体和通道,以及分布式生化和生物电传感器和用于物质泵送/分泌的子系统。形式上,神经元感知的环境是{s(t)},它的突触后特化产生的一组活动,它对环境的作用由{a(t)}介导,它的突触前特化产生的一组活动。同样,集合{s(t)}和{a(t)}包括神经元的马尔可夫毯,并且其感知和动作通过其内部状态的动力学关键地联系在一起,其内部状态受到细胞内部结构的约束,例如,其基因组、线粒体、其他细胞器、细胞骨架网络等,或者——我们将在下面看到——它的生成(即世界)模型。
该cell用于调节生物电化学梯度,其检测为{s(t)}的状态变化。细胞的输入和输出通过其形态进行空间组织,并且细胞能够检测其形态的局部变化,例如其细胞骨架上的应变。细胞的功能及其输出/动作取决于其动力学,即内部计算信息传递架构,因此也取决于其形态学。本质上,细胞的形态决定了它的功能,而功能决定了它在其环境中采取的行动(这里是它所嵌入的神经元网络)。

在图5中,我们描绘了我们神经元细胞的马尔可夫毯特征。请注意,根据马尔科夫毯形式,我们可以说细胞通过维持其马尔科夫毯边界(即细胞膜)来参与其自我生成,而表现出持续局部动力学的非生命系统则不会,即营火在宇宙的流动中迅速消散,因为它被倾盆大雨扑灭。
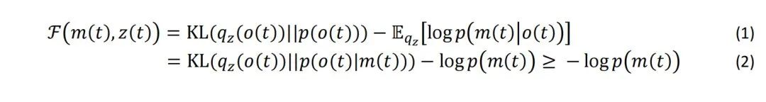
变分自由能。形式上,FEP声称,一个实体的内部和活跃(即自治)状态的演变,以尽量减少其变化的自由能(VFE),这是一个上限的自我信息或惊喜15.实际上,VFE量化了由内部态参数化的变分密度和以包层态为条件的外部态的概率密度之间的差异。这种对自主(内部的和主动的)动态的解释以一种直接的方式遵循马尔可夫毯划分所隐含的条件依赖性,其中实体被定义为拥有马尔可夫毯。
VFE的函数形式可以用下面的方式书写(详见[84,136]):

14这里,t表示时间,|𝒪|表示集合𝒪.的基数注意,I索引状态的特定值;省略该索引是指任意/通用状态。
15当与系统感觉状态相关联时,事件发生的可能性或观察结果发生的可能性。
其中,KL(∘||∘表示Kullback-Leibler (KL)散度,这是一个非负量,用于计算两个概率分布之间的差异。我们进一步指出,实体具有构造内部状态的形态𝒬。在这里,内部状态可以对应于在神经回路中快速变化的突触活动和缓慢变化的突触功效。第二个等式表明VFE是包层态负对数概率的一个上界;即毯态的自我信息或惊奇。从统计学(贝叶斯模型选择)的角度来看,最小化变化的自由能隐含地最大化模型证据或边际可能性,即与环境交换的可能性,在外部状态上被marginalized边缘化。对VFE的这种解读许可了不证自明的概念;即,对实体的描述,其自治状态增加了模型证据(在一定的近似范围内)。
等式2表明实体可以被解读为通过𝑞𝑧(𝑜(𝑡来推断环境的状态),这可以与以马尔可夫毯𝑝(𝑜(𝑡)|𝑚(𝑡)). 为条件的环境的真实状态形成对比根据实体的生成模型𝒬 [227,95,171,366],这种对比实际上是系统的预测误差。换句话说,基于内部状态提供的感觉状态的预测,人们可以将自治状态的动态或梯度流解释为最小化某种预测误差,内部状态的动态在某种内部结构𝒬.下演化, 从技术上讲,𝒬的生成模型被表达为系统联合状态的联合概率密度。
这种联合密度或生成模型就是系统的NESS。换句话说,NESS密度提供了环境/外部状态与构成所讨论实体的状态之间关系的概率规范。假设马尔可夫毯包含感觉状态和活动状态,VFE上的梯度流(例如,神经元动力学)可以根据活动推理来理解[139]:即,内部状态可以被解读为参与贝叶斯信念更新,而活动状态则介导对环境的主动探索,以排除令人惊讶的(即,非典型的)状态,从而保持“活着”。
FEP提供了一种自组织的一般理论,它通过自证明来识别具有足够动态稳定性的实体(即,在技术上,具有拉回吸引子或一组吸引或特征状态的实体)。因此,一个实体被认为是一个与其周围环境不同的“事物”,因为它的Markov blanket确保了其内部状态和环境/外部状态之间的条件独立性,即它的操作封闭性——将它们之间的交互(或信息交换)限制在局部。请注意,等式2规定的自组织形式与人类计算的控制论后端相联系;特别是好调节器定理和内模控制。
等式2中的VFE进一步示出,在给定马尔可夫毯(状态)和先验密度(外部状态)的情况下,该NESS密度可以被分解成外部状态的似然性。正是先验表征了它的优先状态,即控制论稳定性的吸引子,从而保证了内部信息传递或动力学。假设一台普通的计算机会表现出对状态的偏好16 通过它的NESS密度,我们可以说,这样一个实体在它的整个生命周期中,将返回到它的状态空间中的同一个状态邻域。换句话说,它将避免大量(令人惊讶的低概率)状态,并以高概率占据少量状态[286]。换句话说,作为一个实体而存在,一台凡人计算机只是占据了它所特有的那种状态。这些是控制论[超]稳定性的低多样性状态。
当实例化人类计算机时,FEP的这种几乎同义反复的表达变得有用。这是因为人类计算机可以学习它的生成模型(通过结构学习或贝叶斯模型比较的过程——见下文)。当人类计算机配备有生成模型时,其自主动力学,即信念更新和动作,完全由该模型的变分自由能泛函上的梯度流决定。至关重要的是,这意味着对于任何给定的生成模型(即特征状态的概率规范),人们可以通过简单地求解上述运动方程来模拟致命的计算。
注意,由于马尔可夫毯被认为是系统的一部分,等式2暗示每个人类计算系统在某种意义上是自治的,并且只与一个其他系统,即它的环境交互。这也表明人类计算机和它的环境都保持它们自己的明确定义的、有条件独立的状态,其中每一个都在资源允许的情况下适应另一个的动作[204]。根据第3.3节,这可以理解为人类计算机的行为认知。
16关于环境状态如何随时间演变/展开的“优先选择”或优先预期[139]。
Markov blanket是系统和环境之间的界面,正如[121,120]中所述,它可以被视为FEP量子公式中的全息屏幕。在经典和量子信息论公式中,实体无法访问其环境的结构;它只能通过Markov blanket的相互关联的系统-环境组件来感知它的各个方面。Markov blanket的观察扇区充当系统内部动态和环境之间的读/写交换,反之亦然。我们注意到Markov blanket的概念也可以递归应用,即,我们可以考虑,例如,复杂系统包括多个(嵌套的)参与自组装的blanket[197]。
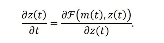
推论。鉴于上述对VFE的描述,推理过程或短期计算的执行可以根据等式2来表达,因为自治状态遵循变化自由能的梯度流[140]。这使我们能够描述系统的信息处理以及其内部状态如何随时间变化:

这个常微分方程依赖于系统的形态𝒬以及在时间t的覆盖状态的当前值。在计算上,让我们考虑预测编码线路[289,132,260]或卡尔曼滤波器[189,290]作为跟随VFE梯度流的具体例子;这种实现工作来调整或“纠错”它们的z(t ),这对应于在吸收感觉数据模式时它们的内部单元或神经元(以异质结构排列)的有状态活动值。这些模型调整它们的动力学,即控制内部活动的动力学,利用突触反馈路径来预测传入的感觉刺激。这发生在一个快速的时间尺度上,并且通常发生在每次感觉状态被扰乱或者数据变得可用的时候。当考虑到一些内部状态编码了缓慢变化的外部变量(例如,环境中的法律、偶然事件和规则)时,完全相同的梯度流在较慢的时间尺度上展开。这导致了时标的第一次分离;从关于状态的推断转移到学习模型参数。
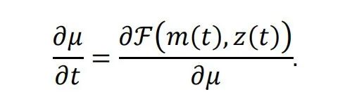
学习。在人类计算系统中的学习——例如,在突触前和突触后波动存在的情况下的突触可塑性——通常发生在比推理更慢的时间尺度上。至关重要的是,学习根据等式2进行操作,并负责在更长的时间内存储有用的信息,作为(关联)记忆的构建模块,用于影响系统的快速推理动态。系统的学习过程可以被描述为一种操纵或改变内部变量子集的机制
—即参数—参数化变分密度qz。具体而言,这是使用VFE的相关梯度来完成的,从而得到微分方程:

这是在误差反向传播(backprop)中发现的具有重要转折的学习类型:在自由能原理下,可以局部计算VFE梯度,导致基于局部能量的方案,该方案是预测编码和贝叶斯滤波的祖父扩展,以学习生成模型的参数,此外还推断隐藏在马尔可夫链之后的状态,即隐藏的、外部的或潜在的状态。
请注意,学习依赖于内部状态和具有特定值的总括状态,这意味着学习必须根据推理的速度来安排。对参数的改变——例如,对突触进行加权的类似希伯仑的更新——以较慢的时间尺度进行,积累统计规律并吸收环境中的因果依赖。使用我们早期的预测编码示例[289,260,299],这可以通过诉诸期望最大化框架[99]以近似的方式实现,其中在K个步骤上进行推理,并且在每组K个步骤之后调整突触参数。
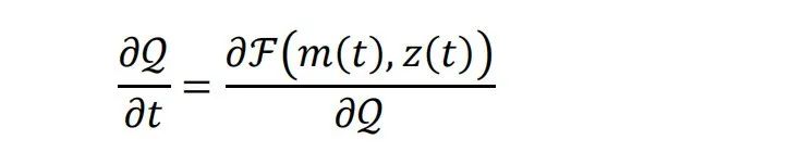
选择和结构学习。从FEP的角度来看,结构和形态学的优化意味着人类计算机将最小化其VFE,或者等价地,最大化其形态学(模型)证据。我们可以根据形态学结构将其表示为梯度流:

其中结构𝒬由模型参数限定。在通常集中于提供推理(例如,深度神经网络中的前馈通路)和学习(例如,通过反向传播调整参数的连接权重[221,295])的机器智能研究中,这种类型的优化已经以各种名称被考虑:架构搜索[222,257,112],超参数优化[46,316,307],结构学习[327,329],自动相关性确定等等,所有这些都由条件计算和动态结构化预测方案的概念驱动[44]在统计和概率中,这种形式的结构学习被称为贝叶斯模型选择[349,141]或因子图学习背景下的“稀疏化[77,66,148]。目的是通过修剪模型参数来开发最优计算机,以保证泛化能力。当表达为梯度下降(如上所述)时,人们通常会想到这样的方案,即当且仅当VFE减小或模型证据增加时,将各种参数向零收缩并消除它们。神经生物学上,这对应于突触选择和修剪;在神经发育和更快的时间尺度上,在睡眠-觉醒周期的突触内稳态中,人们可能会看到这种情况。
形态与非形态的区别。正如在3.1节末尾所讨论的,总体结构是一台人类计算机的组织的体现。如果我们观察形态学如何应用于生物实体,某些生物,如单细胞变形虫和草履虫[149,128],具有三维(3D)物理结构,也称为形态学“自由度”[120],已经进化了几代。一个系统的形态强加了两个核心约束:1)热力学成本,如前所述,来自信息的不可逆编码(将一个比特值写入存储器或从存储器中擦除)[43],和2)信息的耦合:一个实体的物理实例严格地决定了它的输入如何从它的环境中获得,以及它的输出如何传递到它的环境中。
基于形态学的这个定义,我们可以清楚地区分什么可以被称为“形态的”和“非形态的”实体。本质上,所有的生物系统都是形态的。以我们的神经元细胞为例:在其细胞膜内组织,它具有由突触后特化组成的传感结构,这些突触后特化转导神经递质和效应器以传递其自身的信号,以及一系列泵/分泌机制。这种细胞的网络表现出它们自己的动态形态,由各种大小的树突和轴突突起组成,导致信号之间的差异延迟[228,218],其中生长/退化的树突棘促进/抑制突触形成和位置特异性神经元间通信[65,74,174,296]。此外,长范围和短范围的皮质连接是由活动依赖性修剪形成的[275,288,310]。
其形态的变化会影响网络的处理动态及其适应能力:其快速推理受到短期活动依赖性可塑性的影响,而学习则取决于功能解剖或结构的突触连接[270]。由于其对与学习和推理相关的动力学的影响,形态学本身被视为生物实体中的计算资源;展示了一种表征从大脑中的神经元网络到植物、真菌和微生物生物膜的事物的策略[247,364,339,57,244]。
与生物实体相反,尽管现代计算机也拥有形态17, 在它们上面运行的软件并不享受这种亲密关系,因为它是抽象设计的,独立于执行它的计算机。这就是使这类程序不朽的原因,也是使这类程序本质上非mortal的原因。例如,让我们考虑流行的深度神经网络(DNN)。写下它的特征推理和学习方程可以独立于三维环境中的任何实现来完成,尽管事实上它在教学上被绘制为节点和箭头图。然后,DNN程序的执行,即其推理和学习机制,通过由计算机体系结构提供的抽象级别而成为可能,即,编译器将高级语言翻译成汇编程序的例程,汇编程序将这些例程翻译成遵循指令体系结构集(ISA)的二进制命令。此外,DNN所需的资源,例如包含其突触值和感觉数据记录的权重矩阵,然后从计算机的底层存储器层级(如在第2节中)读取,以促进其在中央处理单元(CPU)或图形处理单元(GPU)上一段时间的模拟。
请注意,正如我们到目前为止所争论的那样,由于一台凡人计算机遵循任何持久实体的相同的自证原理,所以它是固有形态的。此外,因为它是同构的,FEP适用。这很重要,因为这意味着人类计算机将接近与信念更新或计算相关的热力学支出的下限(朗道尔)。这是因为它避开了记忆墙;即在冯·诺依曼体系结构和其他无定形计算机中所需的从存储器读取和写入的热力学成本。更一般地——也更直观地——因为FEP适用于形态计算,一台普通的计算机可以最小化热力学和变分自由能。这是因为FEP处于非平衡稳态的实体,即最小化热力学自由能,可以被描述为贝叶斯最优计算机,即最小化VFE。
17 .计算机具有3D形式,可以最大限度地提高散热能力,最大限度地减少信息传输延迟。

图6:支撑人类计算的概念之间的关系:1)推理,2)学习,3)结构的选择。红色方框突出显示感兴趣/正在讨论的特定对象(方框旁边的问号表示特定时间范围内试图回答/优化的目标或问题)。
4.2平均场近似下的MILS原理 mortal inference-learning and selection (MILS).
根据人类计算机的FEP公式——它通过其马尔科夫毯证明了操作的封闭性——我们看到了时间尺度的分离,即推理、学习和选择,这是其“结构上的动力学”所固有的。具体而言,一台普通计算机可以被提炼为以下关系:1)状态推理只是优化一些关于隐藏状态的信念结构,而2)参数学习只是优化一些关于隐藏参数的信念结构,而3)模型选择只是选择正确的结构知识;换句话说,优化关于生成模型的功能形式的信念。然而,尽管在它们各自的时间尺度内被观察/发生,但是一旦考虑到最小化VFE的优化观点,这些过程之间就存在关系依赖性。
具体地说,没有正确的参数,人类计算机不能执行推理,并且它不能学习它的参数,除非它利用正确的推理(找到它的内部状态z(t)的值)。此外,系统无法学习正确的参数,除非它为基础生成模型采用正确的结构𝒬。相反,该系统不能选择正确的创成式模型结构,除非它学习正确的参数。这种清晰、强烈的循环因果关系(如图6所示),对于适应不断发展的生态位至关重要,代表了MILS固有的核心“缠绕”。这种交织有一个简单明了的原则性的原因,它来自所有测量和建模的普遍方面;即平均场近似。
将FEP应用于人类计算机意味着它正在执行物理上实现的贝叶斯推理。假设一个实体不能在物理上实现精确的贝叶斯推理,它必须求助于近似(因此在等式2中使用了变分密度)。变分自由能继承了应用于平均场近似的变分法[150]中的术语“变分”,即概率密度分解为条件独立因子[358,363,270]。这意味着人类计算机的结构可以用平均场近似来描述。有人可能会问:平均场近似的典型首选是什么?答案是应用于状态、参数和结构的平均场近似,它允许我们通过计算将状态和参数以及参数和结构分开.18 这意味着推理和学习之间的区别取决于平均场近似,因此状态和参数(以及结构)之间的条件独立性。例如,我们看到这在神经解剖学中表现为短期突触活动与长期可塑性的对比,为神经元网络提供了在处理刺激时进行快速推理的能力,同时将信息存储到突触(关联)记忆中。通过应用于参数和生成模型结构之间关系的平均场近似,引入了相同的条件独立性。在大脑中,这方面的一个很好的例子是当处理感官刺激时,它代表“什么”-“哪里”-“何时”的区别。背侧流和腹侧流的物理分离通常被视为对视觉感知对象的“哪里”和“什么”元素进行编码[337,88]。知道某物是什么并不能告诉一个人某物在哪里(反之亦然)。随之而来的条件独立性体现在腹流和背流之间的形态分离。同样的分离也适用于“什么”和“什么时候”[88,138],因为知道某个东西是“什么”并不能告诉一个人“什么时候”
18虽然,在经典卡尔曼滤波器[189]的一些应用中,可以将参数视为变化非常缓慢的状态——状态空间增加了一些缓慢变化的变量来“代替”参数,然后卡尔曼滤波器实际上只是运行来“学习”底层状态转移矩阵。


图7:人类计算的主干——人类推理——学习和选择,受其明显的底物和小生境的影响,并在特定的平均场假设下明确实现。
它就在那里。最终,这些平均场近似降低了复杂性;从而最小化统计、算法和热力学成本[358];换句话说,优化人类计算机的消息传递方案的效率.19
上述例子意味着,在生物学中,在这样的平均场近似下工作是可以接受的,也是有效的。这同样适用于人类计算机,因为它们的共同目标是实现与世界的某种开放(非平衡)稳态交换。然而,使用变分法来平衡这些平均场近似背后的前提是,系统将致力于“修复”由这种近似引起的错误,即,它必须补偿其状态和参数之间以及参数和结构之间的统计独立性假设。这需要在不同级别之间传递信号的机制,从而激发一个连接时间尺度的消息传递方案。例如,在神经元网络中,编码在活动依赖可塑性中的经验将推理与学习联系起来。非平衡稳态在推理、学习以及结构选择的时间尺度上需要一个(VFE)梯度流,这意味着系统,如人类计算机,必须体现一种依赖于活动的适应形式,或者换句话说,它们在具有动力学的结构上作为动力学运行[11]。
这种类型的依赖适应的结果是形态学或结构实例化对人类计算机变得存在性重要,因为它定义了跨系统元素可能发生的(学习和推理过程的)消息传递的稀疏性。结构成为核心计算资源,用于确保人类计算机的持续生存,并需要寻找进行正确修剪/生长以促进自动生成的机制,例如,在神经元细胞网络中选择正确的突触连接以获得正确的图形结构.20 在生物系统中,这种形态自组织与隔离和屏蔽有关:酶和催化剂、缝隙连接和其他可控的生物机制建立了信号通路和边界[233,362]。这发生在多个尺度上,从亚细胞器(分隔生物物理、化学反应)到器官区室边界到动物群体行为[308,97,91]。实际上,人类计算机的基本结构元素,就像多细胞结构中的细胞一样,需要在分布式形态中占据自己的位置。这相当于自生成自组装,其中配备有其自己的边界的每个元素检测由其自己的生成模型预测的局部图案化信号[140],从而最小化其VFE,从而推断其在整个系综中的正确位置和功能[140,269]。
19甚至在机器智能中,这种平均场近似也适用——在基于DNN的模型中,突触参数矩阵的值与深度变分自动编码器中的级别/层数之间存在明显的分离[196]或变压器块[344]内的注意头的数量。
20系统形态发生的一个可能实施方案可能涉及从参数的一个特定“种子”(空间)排列开始,使用诸如门控变量的机制,逐步地、暂时地打开或关闭事物,这可以被解读为一种精确加权的形式[133],通常在认知控制架构[259]中使用,或“结构学习变量”,这将被要求最小化它们自己的变化自由能泛函。
系统的形态、它的学习和它的推理之间的关系保证了人类计算机的物理可实现的贝叶斯推理,这是它存在背后的引擎。根据MILS,通过FEP,形态学,学习和推理机制都服从于相同的基本命令,每个负责最小化与之相关的VFE界限。作为等式2的结果,并且根据良好调节器定理,人类计算机的形态将需要准确地描述其环境,同时也尽可能简单[134,135]。最后,作为其形态学的结果——以及其通过马尔科夫毯与小生境的耦合——一台人类计算机及其MILS的细节将反映在它被实例化的环境中,并由它们进一步调节。参见图7,它直观地描述了支撑一台普通计算机的关系依赖结构。
5有生计算论题
我们通过人类计算构建的智能是,一个主体的所有行为都源于一种原始的动力,即保持其身份,在面对变化的环境时保持非平衡的稳定状态21 。这样一个代理所做的大部分事情都是为它的基本“需求”服务,满足它的最低层次的需求。第3节中的三个不同的视角,生物物理的、控制论的和哲学认知的,被开发来提供实现的、分析的和理论的透镜,通过它们来观察人类计算。这些观点在第4节中充当了人类计算的形态版本的形式化的基础,通过自由能原理和参与马尔科夫毯构造,使人类能够学习-推理-选择(MILS)。有了这些部分提供的背景,我们现在来看一个人类计算机(MCmortal computer)的定义,它为人类计算和仿生智能的实现提供了一个总体概念。
定义(非正式)。计算机是会死的,当且仅当:
1.它的形态根据马尔可夫毯(即,包括感觉和活动状态的边界)和它的内部结构(即,需要马尔可夫毯和它的小生境之间的关系的生成模型)来指定;也就是说,该系统是严格形态的(非无定形的).22
2.它规定了一组主要的必要条件(即特征状态),这些条件保证了它的持久性,并导致了面向资源的行动(这包括“体内平衡homeostatic”状态的指定,如疲劳、过热等)。
3.它实例化了可以被解读为广义体内平衡homeostatic(例如,“人工代谢途径”)的主要必要条件(即,对基本变量的精确先验)。
4.它实现了mortal的推理-学习-选择(MILS),每个必要的过程都由生成模型的自由能函数指定。
5.计算过程(软件)和执行基础(硬件)是共同设计的,因此消息传递、信念更新和生成模型(承保MILS)可以在物理上实现。
根据这个定义,如果没有实例化它的硬件,软件的实例就没有意义;根据(定义,性质1),它是严格纯态的。MC进行的计算是基于形态学和热力学的约束,这些约束依赖于它们的结构实现。在其最低水平,MC由于其MILS(定义,特性4)和广义稳态控制(定义,特性3),将表现出热力学效率,通过物质/能量途径维持,如其生态位所提供的。虽然MC子系统可能不会直接受到整体形态的影响,但每个子系统都可以感知其子结构中的局部波动,并能够自我修复。根据上述定义,这样一个系统将是可发生的:一个MC,通过MILS,需要形态发生过程,这些过程支持它的物理结构,编码环境信息,给定的第一个条件是它的生态位必须被指定(通过一个生成模型),从而将身体与环境配对(定义,属性4和属性1)。由于性质5与性质1密切相关,因此MC的推理和学习过程受到其形态状态和进化的影响,并且不可避免地与其结合。在因果链的一端(见图6),必须存在一个硬件-软件反馈回路,因为基质决定了MC可以采取的一系列形态发生功能。
21严格地说,FEP颠倒了这一论点,并指出,如果某种东西存在,在宏观时间上拥有一个马尔可夫链,那么它就获得了一个不证自明的目的论描述;即自组织到其特有的状态。
22由此可见,系统计算的设计和规格很大程度上取决于实现它的硬件结构的性质或“生物学”特性。
在链条的另一端,推理动力学本身替代性地告知了当选择可能的结构时,MC的形态发生将采取的方向。
鉴于上述情况,我们现在可以将人类计算分为三大类。即:
1.稳态 Homeostatic MC:23 这种系统满足定义的性质1-5,即,它解决了基本变量的动态平衡;
2.变构 AllostaticMC:这样一个系统显示了一个被变构化的同源异形;
3.自生 AutopoieticMC:这一类表现出体内平衡和异体平衡,但具有自生方面的特征;即自我修复和自我复制。
自生MC可以作为一个复杂的适应性系统的理想候选者,它实例化了一种形式的AGI。构建这样一个系统绝非易事,因为它需要异态过程——建立在反应性稳态功能之上——才能实现或出现更高级别的认知过程。实现这一目标的补充方向可以从认知架构中获得灵感[206,322,259],如用于组装深度(即,分层)异态MC模块的理论框架所提供的。
异稳态 AllostaticMC可以用稳态MCs来构建(与图3的精神相呼应)。值得注意的是,为了制作这种MC,第4节的Markov blanket框架可以以递归、分层的方式部署。由于它们的形成,马尔科夫毯允许不断增加规模的毯的部署。这有助于从细胞/组织构建器官,从器官构建身体/个体等。,其中统计形式/划分适用于从宏观到微观的水平。在这种设置中,宏观层面的马尔可夫链及其内部状态由微观层面的较小实体的状态组成。然后,这种分层结构将导致在一个尺度上的状态的动态在低于[197]的水平上对马尔可夫链施加向下的偶然调解/约束,从而确保系统在全局上最小化其联合VFE。此外,人们可以求助于复杂性理论[177,291]和协同学[160]的原理来开发自组装方案,设计一个过程,其中马尔科夫毯参与重新配置内部、外部、活动和感觉状态之间的特定依赖关系。这种自组装可以在时间尺度上进行,其中慢系综动力学来自在快(更)时间尺度上展开的微尺度动力学:产生较低水平马尔可夫毯的有序协调[291]。这意味着一个自生MC必须包含多个马尔科夫毯,其微观动力学将受到其宏观动力学的约束。在表1中,我们回顾了几个现存的人类计算机,如恒温箱[23,328,73,20,280,284],电化学线程[272,38,39,53],异种机器人[29,220,56,86,55],真菌计算[246,19,
6,7,16,8]和细胞制剂,如类器官[162,315,314,237](在补充中有进一步的细节)。

5.2仿生智能的含义
询问方向。我们的理论框架产生了几个关键问题,仿生智能的未来工作可以通过人类计算论题的镜头来解决这些问题。其中最重要的将是:现实世界的生物系统和它们的小生境niche能告诉我们关于人类计算机的什么?它们的内部功能(例如,它们的内部状态和必要的马尔可夫链的设计)如何影响MC系统的设计?生物物理实体,例如异种机器人[29,220]和类器官微生理系统[162,315],提供了能够自我组织和自我复制的系统的令人信服的例子,以及不同水平的基础认知和集体行为。除了研究这些实体的模式和机制,可以通知在计算机模拟的设计,一个凡人计算机的定义并不承诺在任何特定的基板/利基实施。因此,异种机器人和类器官是MC发展的可能候选物。然而,在撰写本报告时,这种生物物理系统对于从事人工科学的人来说既不容易获得,也不容易获得,这与从事生物领域工作的人不同。这推动了创建生物物理或嵌合人类计算系统的工作,以及从异种机器人/类器官研究到计算机系统/神经形态工程的见解交流。在补充材料中,我们检查和研究了神经形态计算芯片和神经拟态方案,包括预测编码和前向学习[30,255,255,248],在人类计算以及机器智能评估范式的重新构建的背景下,引入了人类计算特有的问题,称为身体小生境问题。
23在附录中,我们根据趋化性模型[110]的启发,勾画了一个基于预测编码的稳态MC。
对人工智能/通用人工智能的影响。人们对人工智能的现状存在一些误解[3,1,4,2], 这主要是由于我们对智能的迷恋以及我们的拟人化倾向而加剧。我们对大型语言模型的着迷就证明了这一点, 这些模型在某种意义上是智能的, 但不像人类机体那样智能 [2, 80]。根据凡人计算, 人工智能/通用人工智能的未来在于追求其他智能定义和表述, 主要基于仿生学和仿生学
我们目 的是阐明一条建立在生物物理学、 生物学、 控制论、 认知科学和自 然主义哲学多年融合思想基础上的道路。简而言之, 凡人计算可能是 AGI 的关键之一。
这篇评论提倡对人工智能不同的看法; 目 前的人工智能形式通常将其视为支持人类努力的工具。在这个方向上的努力回避或驳回了可能导致通用和多用途智能系统设计突破的其他观点和想法。如果我们以人类、 动物机体作为自 然智能的例子, 我们会观察到能够执行和学习许多不同类型任务的实体, 如果出现问题, 这些实体就会死亡。正是这种死亡率推动了凡人计算理论, 并促使人们从以需求为导向、 “以工具为中心” 的人工智能观点转变(这导致了发展强大而狭隘的人工智能[3]系统), 朝着将智能、 适应性行为植根于生命本身的根源的方向发展。对生命/生存的追求及其与心灵的关系可以教会我们关于体现的、 活跃的和一般功能的智能的知识[131, 278]。凡人计算论文为人工智能研究的下一阶段提供了可能的催化剂: 摩尔定律在超出某一点后不再适用, 而其他计算范式, 例如量子计算[253], 可能会提供一种更快的方式来进行我们所进行的计算。 然而, 这仍然使我们保持在不朽计算的传统之中。人们可能认为未来不在于将智能视为一种差异引 擎, 而在于一种感知的人工形式: 一种能够通过自 主进行自 我修复和自 我修复的智能。
六, 结论
根据某些观点, 这种人工制品的伦理意义是巨大的, 它会赋予它道德地位 [297, 158]。如果凡人计算事业想要成功, 就需要考虑这些问题; 范围从凡人计算机与生物体的关系性质到它们的权利[198,82,158]。如果凡人计算机的前提是正确的, 那么正确水?的自 组织、 自 调节过程, 与能够再生的物理形态元素相互作用并由其实例化, 将产生从基础认知到行为能力的越来越多的行为。计划和想象力。原则上, 这可能会肯定地回答一个问题: 一件人造物?? 考虑到它实际上是一种生命形式?? 是否可以推理、 受苦或交流。就像动物等其他生命形式一样, 这将需要考虑计算机中凡人仿生实体的权利[45], 因为人工与自 然之间的界限变得模糊。这种? 知觉的人造物的好处是多方面的, 其基础是其物理表现和持续的自 我驱动力。这样一个实体, 由于其仿生驱动和目 标, 将对其存在的环境表现出好奇心[142, 303]。它将?能力“关心”/关心他人, 可能促进紧急同理心,社交智力和沟通能力。与现代形式的计算智能不同, 例如大型神经变压器生成系统[63,324,76,230,334], 它们没身体的经验, 仿生实体甚至很可能能够“...... .打破自 己的规则“
凡人计算背后的许多核心思想已经出现了几十年。正如我们所讨论的, 凡人计算可能会在 AGI 研究的⻓期未来中发挥重要作用。生物计算机的制造和研究的进步进一步促进了这一发展。 AGI 在凡人计算中的应用是多方面的; 从基于边缘的计算和机器人技术到绿色人工智能, 再到可以在多个层面上为可持续发展服务而部署的系统。
参考资料:


未来智能实验室的主要工作包括:建立AI智能系统智商评测体系,开展世界人工智能智商评测;开展互联网(城市)大脑研究计划,构建互联网(城市)大脑技术和企业图谱,为提升企业,行业与城市的智能水平服务。每日推荐范围未来科技发展趋势的学习型文章。目前线上平台已收藏上千篇精华前沿科技文章和报告。
如果您对实验室的研究感兴趣,欢迎加入未来智能实验室线上平台。扫描以下二维码或点击本文左下角“阅读原文”

68

被折叠的 条评论
为什么被折叠?



