朴素贝叶斯分类
问题引入
设一个数据集为D={(X1, Y1), (X2, Y2), …, (Xn, Yn)},其中样本Xi的可由m个特征表示,即Xi=(Xi1, Xi2, …, Xim)(一般要离散特征,对于连续特征的情况见后续的注意事项);而Yi为样本标签,Yi∈{C1,C2, …, Ck},i=1,2, …, n.
现有一个新样本X# = (X#1, X#2, …, X#m),在给定的数据集D的基础上估计其所属的类别标签Y#(即对其进行分类,也即估计条件概率P(Y# | X#) )。
算法理论(问题分析)
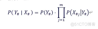
1.贝叶斯定理
贝叶斯定理给出:

由于P(X#)对于所有类别都是相同的(因为这里是在比较不同类别的后验概率),所以选择忽略它,而只专注于计算

2. 朴素贝叶斯的假设
朴素贝叶斯分类器假设样本特征之间相互独立,即:

忽略分母P(X#)且应用该假设之后,

3. 计算概率
计算


…………

k个“概率值”的最大值对应的Ck即为最后所预测的样本X#的标签。
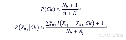
这里使用所给定的数据集D的“频率”代替“概率”:

其中,
为D中标签为Ck的样本数量,n为D中的样本总数,

计算的是类别Ck中样本的第j个特征的值为X#j的样本数(也即D中类别为Ck且第j个特征的值为X#j的样本的数量)。
另外,在实际应用中,为了防止出现“零概率”(D中不一定有足够的样本数量造成的),实际使用的计算中需要加入平滑处理,如拉普拉斯平滑:

其中,K为标签的种数(即样本的标签共用K种),Aj为X#j所有可能取值的个数(即样本的第j个特征共有Aj种取值),j=1,2, …, m。
. 注意事项
朴素贝叶斯分类器假设特征之间相互独立,虽然这在实际应用中往往不成立,但它在许多情况下仍然表现良好。
对于连续特征,通常假设它们服从某种分布(如高斯分布),并计算该分布的参数(如均值和方差),然后使用这些参数来估计条件概率。
拉普拉斯平滑或其他平滑技术可以帮助处理零概率问题,提高模型的鲁棒性。
示例实验-垃圾信息识别
数据准备
原数据文件:SMSSpamCollection,每行表示一个样本(文本标签,文本单词,用Tab格隔开)。样本总数为5574,分两类(ham、spam分别表示正常短信、垃圾短信)。

SMSSpamCollection部分内容
加载数据集并拆分为训练集、测试集:

最低0.47元/天 解锁文章

2657

被折叠的 条评论
为什么被折叠?



