4、【狂神说Java】Java零基础学习笔记-Java数组

Java数组01:数组的定义

  • 数组是相同类型数据的有序集合.
  • 数组描述的是相同类型的若干个数据,按照一定的先后次序排列组合而成。
  • 其中,每一个数据称作一个数组元素,每个数组元素可以通过一个下标来访问它们.

Java数组02:数组声明创建

  • 首先必须声明数组变量,才能在程序中使用数组。下面是声明数组变量的语法:
dataType[] arrayRefVar; //首选的方法
或
dataType arrayRefVar[]; //效果相同,但不是首选方法
  • Java语言使用new操作符来创建数组,语法如下:
dataType[] arrayRefVar = new dataType[arraySize];
  • 数组的元素是通过索引访问的,数组索引从О开始。
  • 获取数组长度:

arrays.length
package com.dawnsmile.array;
 
public class ArrayDemo01 {
    //变量的类型 变量的名字 = 变量的值;
    //数组类型
    public static void main(String[] args) {
        int[] nums; //定义 //1.声明一个数组
        //int nums2[];
 
        nums = new int[10]; //这里面可以存放10个int类型的数字 //2.创建一个数组
 
        //int[] num2 = new int[10];
 
        //3.给数组元素中赋值
        nums[0] = 1;
        nums[1] = 2;
        nums[2] = 3;
        nums[3] = 4;
        nums[4] = 5;
        nums[5] = 6;
        nums[6] = 7;
        nums[7] = 8;
        nums[8] = 9;
        nums[9] = 10;
 
        System.out.println(nums[0]);
 
        //计算所有元素的和
        int sum = 0;
 
        //获取数组长度:arrays.length
        for (int i = 0; i < nums.length; i++) {
            sum = sum + nums[i];
        }
 
        System.out.println("总和为:"+sum);
    }
}
 
1
总和为:55

Java数组03:内存分析

  • Java内存分析:
  • 写代码画图分析内存!

三种初始化

  • 静态初始化:创建 + 赋值,声明以后数组大小不再变化。
int[] a = {1,2,3};
Man[] mans = {new Man(1,1),new Man(2,2)}; //引用类型
  • 动态初始化:包含默认初始化。
int[] a = new int[2];
a[0]=1;
a[1]=2;
  • 数组的默认初始化
    • 数组是引用类型,它的元素相当于类的实例变量,因此数组一经分配空间,其中的每个元素也被按照实例变量同样的方式被隐式初始化。
package com.dawnsmile.array;
 
public class ArrayDemo02 {
    public static void main(String[] args) {
        //静态初始化:创建 + 赋值
        int[] a = {1,2,3,4,5,6,7,8};
        System.out.println(a[0]);
 
        Man[] mans = {new Man(),new Man()};
 
        //动态初始化:包含默认初始化
        int[] b = new int[10];
        b[0] = 10;
        b[1] = 10;
 
        System.out.println(b[0]);
        System.out.println(b[1]);
        System.out.println(b[2]);
        System.out.println(b[3]);
    }
}
 
1
10
10
0
0

Java数组04:数组的四个基本特点

  • 其长度是确定的。数组一旦被创建,它的大小就是不可以改变的。
  • 其元素必须是相同类型,不允许出现混合类型。
  • 数组中的元素可以是任何数据类型,包括基本类型和引用类型。
  • 数组变量属引用类型,数组也可以看成是对象,数组中的每个元素相当于该对象的成员变量。数组本身就是对象,Java中对象是在堆中的,因此数组无论保存原始类型还是其他对象类型,数组对象本身是在堆中的。

数组边界

  • 下标的合法区间:[0, length-1],如果越界就会报错;
public static void main(String[] args) {
    int[] a=new int[2];
    System.out.println(a[2]);
}
  • ArrayIndexOutOfBoundsException:数组下标越界异常!

小结:

  • 数组是相同数据类型(数据类型可以为任意类型)的有序集合
  • 数组也是对象。数组元素相当于对象的成员变量
  • 数组长度是确定的,不可变的。如果越界,则报:ArraylndexOutofBounds

Java数组05:数组使用

  • 普通的For循环
  • For-Each循环
  • 数组作方法入参
  • 数组作返回值
package com.dawnsmile.array;
 
public class ArrayDemo03 {
    public static void main(String[] args) {
        int[] arrays = {1,2,3,4,5};
 
        //打印全部的数组元素
        for (int i = 0; i < arrays.length; i++) {
            System.out.println(arrays[i]);
        }
        System.out.println("====================");
 
        //计算所有元素的和
        int sum = 0;
        for (int i = 0; i < arrays.length; i++) {
            sum += arrays[i]; //sum = sum + arrays[i];
        }
        System.out.println("sum="+sum);
        System.out.println("====================");
 
        //查找最大元素
        int max = arrays[0];
        for (int i = 0; i < arrays.length; i++) {
            if (arrays[i]>max){
                max = arrays[i];
            }
        }
        System.out.println("max="+max);
    }
}
 
1
2
3
4
5
====================
sum=15
====================
max=5
package com.dawnsmile.array;
 
public class ArrayDemo04 {
    public static void main(String[] args) {
        int[] arrays = {1,2,3,4,5};
 
//        //JDK1.5, 没有下标
//        for (int array : arrays) {
//            System.out.println(array);
//        }
 
        printArray(arrays);
 
        int[] reverse = reverse(arrays);
        printArray(reverse);
    }
 
    //打印数组元素
    public static void printArray(int[] arrays){
        for (int i = 0; i < arrays.length; i++) {
            System.out.print(arrays[i]+" ");
        }
        System.out.println();
    }
 
    //反转数组
    public static int[] reverse(int[] arrays){
        int[] result = new int[arrays.length];
 
        //反转的操作
        for (int i = 0,j=result.length-1; i < arrays.length; i++,j--) {
            result[j] = arrays[i];
        }
 
        return result;
    }
}
 
1 2 3 4 5 
5 4 3 2 1 

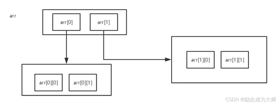
Java数组06:多维数组

  • 多维数组可以看成是数组的数组,比如二维数组就是一个特殊的一维数组,其每一个元素都是一个一维数组。
  • 二维数组
int a[][] = new int[2][5];
  • 解析:以上二维数组a 可以看成一个两行五列的数组。
  • 思考:多维数组的使用?
num[1][0];

package com.dawnsmile.array;
 
public class ArrayDemo05 {
    public static void main(String[] args) {
        //[4][2] 面相对象
        /*
        1,2 array[0]
        2,3 array[1]
        3,4 array[2]
        4,5 array[3]
         */
        int[][] array = {{1,2},{2,3},{3,4},{4,5}};
 
        //System.out.println(array[0]);
        printArray(array[0]);
        System.out.println("====================");
        System.out.println(array[0][0]);
        System.out.println(array[0][1]);
        System.out.println(array[2][0]);
        System.out.println(array[2][1]);
        System.out.println("====================");
        System.out.println(array.length);
        System.out.println(array[0].length);
        System.out.println("====================");
 
        for (int i = 0; i < array.length ; i++) {
            for ( int j = 0; j <array[i].length ; j++) {
                System.out.print(array[i][j]+" ");
            }
            System.out.println();
        }
    }
 
    //打印数组元素
    public static void printArray(int[] arrays){
        for (int i = 0; i < arrays.length; i++) {
            System.out.print(arrays[i]+" ");
        }
        System.out.println();
    }
}
 
1 2 
====================
1
2
3
4
====================
4
2
====================
1 2 
2 3 
3 4 
4 5 

Java数组07:Arrays类

  • 数组的工具类java.util.Arrays
  • 由于数组对象本身并没有什么方法可以供我们调用,但API中提供了一个工具类Arrays供我们使用,从而可以对数据对象进行一些基本的操作。
  • 查看JDK帮助文档
  • Arrays类中的方法都是static修饰的静态方法,在使用的时候可以直接使用类名进行调用,而"不用"使用对象来调用(注意:是"不用”而不是"不能")
  • 具有以下常用功能:
    • 给数组赋值: 通过fill方法。
    • 对数组排序: 通过sort方法,按升序。
    • 比较数组: 通过equals方法比较数组中元素值是否相等。
    • 查找数组元素: 通过binarySearch方法能对排序好的数组进行二分查找法操作。
package com.dawnsmile.array;
 
import java.util.Arrays;
 
public class ArrayDemo06 {
    public static void main(String[] args) {
        int[] a = {1,2,3,4,9090,31231,543,21,3,23};
 
        System.out.println(a); //[I@4554617c
 
        //打印数组元素 Arrays.toString()
        System.out.println(Arrays.toString(a));
        printArray(a);
 
        Arrays.sort(a); //数组进行排序:升序
        System.out.println(Arrays.toString(a));
 
        Arrays.fill(a,2,4,0); //数组填充,下标2-3的数字填充为0.左闭右开
        System.out.println(Arrays.toString(a));
    }
 
//    //重复造轮子
    public static void printArray(int[] a){
        for (int i = 0; i < a.length ; i++) {
            if (i==0){
                System.out.print("[");
            }
            if (i== a.length-1){
                System.out.print(a[i]+"]");
            }else {
                System.out.print(a[i]+", ");
            }
        }
        System.out.println();
    }
}
 
[I@4554617c
[1, 2, 3, 4, 9090, 31231, 543, 21, 3, 23]
[1, 2, 3, 4, 9090, 31231, 543, 21, 3, 23]
[1, 2, 3, 3, 4, 21, 23, 543, 9090, 31231]
[1, 2, 0, 0, 4, 21, 23, 543, 9090, 31231]

Java数组08:冒泡排序

  • 冒泡排序无疑是最为出名的排序算法之一,总共有八大排序!
  • 冒泡的代码还是相当简单的,两层循环,外层冒泡轮数,里层依次比较,江湖中人人尽皆知。
  • 我们看到嵌套循环,应该立马就可以得出这个算法的时间复杂度为O(n²)。
  • 思考:如何优化? //通过flag标识位减少没有意义的比较
package com.dawnsmile.array;
 
import java.util.Arrays;
 
//冒泡排序
//1.比较数组中,两个相邻的元素,如果第一个数比第二个数大,我们就交换他们的位置。
//2.每一次比较,都会产生出一个最大,或者最小的数字。
//3.下一轮则可以少一次排序!
//4.依次循环,直到结束!
 
public class ArrayDemo07 {
    public static void main(String[] args) {
        int[] a = {1,4,5,6,72,2,2,2,25,6,7};
 
        int[] sort = sort(a); //调用完我们自己写的排序方法以后,返回一个排序后的数组
 
        System.out.println(Arrays.toString(sort));
    }
 
    public static int[] sort(int[] array){
        //临时变量
        int temp = 0;
 
        //外层循环,判断我们这个要走多少次
        for (int i = 0; i < array.length-1; i++) {
            boolean flag = false; //通过flag标识位减少没有意义的比较
            //内层循环,比较判断两个数,如果第一个数,比第二个数大,则交换位置
            for (int j = 0; j < array.length-1-i; j++) {
                if (array[j+1]<array[j]){
                    temp = array[j];
                    array[j] = array[j+1];
                    array[j+1] = temp;
                    flag = true;
                }
            }
            if (flag==false){
                break;
            }
        }
 
        return array;
    }
}
 
[1, 2, 2, 2, 4, 5, 6, 6, 7, 25, 72]

Java数组09:稀疏数组

  • 需求:编写五子棋游戏中,有存盘退出和续上盘的功能。

  • 分析问题:因为该二维数组的很多值是默认值0,因此记录了很多没有意义的数据。
  • 解决:稀疏数组

稀疏数组介绍

  • 当一个数组中大部分元素为0,或者为同一值的数组时,可以使用稀疏数组来保存该数组。
  • 稀疏数组的处理方式是:
    • 记录数组一共有几行几列,有多少个不同值。
    • 把具有不同值的元素和行列及值记录在一个小规模的数组中,从而缩小程序的规模。
  • 如下图:左边是原始数组,右边是稀疏数组。

package com.dawnsmile.array;
 
public class ArrayDemo08 {
    public static void main(String[] args) {
        //1.创建一个二维数组11*11   0:没有棋子    1:黑棋    2:白棋
        int[][] array1 = new int[11][11];
        array1[1][2] = 1;
        array1[2][3] = 2;
        //输出原始的数组
        System.out.println("输出原始的数组");
 
        for (int[] ints : array1) {
            for (int anInt : ints) {
                System.out.print(anInt+"\t");
            }
            System.out.println();
        }
 
        System.out.println("====================");
 
        //转换为稀疏数组保存
        //获取有效值的个数
        int sum = 0;
        for (int i = 0; i < 11; i++) {
            for (int j = 0; j < 11; j++) {
                if (array1[i][j]!=0){
                    sum++;
                }
            }
        }
        System.out.println("有效值的个数:"+sum);
 
        // 2.创建一个稀疏数组的数组
        int[][] array2 = new int[sum+1][3];
 
        array2[0][0] = 11;
        array2[0][1] = 11;
        array2[0][2] = sum;
 
        //遍历二维数组,将非零的值,存放稀疏数组中
        int count=0;
        for (int i = 0; i < array1.length ; i++) {
            for (int j = 0; j < array1[i].length; j++) {
                if (array1[i][j]!=0){
                    count++;
                    array2[count][0] = i;
                    array2[count][1] = j;
                    array2[count][2] = array1[i][j];
                }
            }
        }
 
        //输出稀疏数组
        System.out.println("稀疏数组");
 
        for (int i = 0; i < array2.length; i++) {
            System.out.println(array2[i][0]+"\t"
                    +array2[i][1]+"\t"
                    +array2[i][2]+"\t");
        }
 
        System.out.println("====================");
        System.out.println("还原");
        //1.读取稀疏数组
        int[][] array3 = new int[array2[0][0]][array2[0][1]];
 
        //2.给其中的元素还原它的值
        for (int i = 1; i < array2.length; i++) {
            array3[array2[i][0]][array2[i][1]] = array2[i][2];
        }
 
        //3.打印
        System.out.println("输出还原的数组");
        for (int[] ints : array3) {
            for (int anInt : ints) {
                System.out.print(anInt+"\t");
            }
            System.out.println();
        }
    }
}
 
输出原始的数组
0    0    0    0    0    0    0    0    0    0    0    
0    0    1    0    0    0    0    0    0    0    0    
0    0    0    2    0    0    0    0    0    0    0    
0    0    0    0    0    0    0    0    0    0    0    
0    0    0    0    0    0    0    0    0    0    0    
0    0    0    0    0    0    0    0    0    0    0    
0    0    0    0    0    0    0    0    0    0    0    
0    0    0    0    0    0    0    0    0    0    0    
0    0    0    0    0    0    0    0    0    0    0    
0    0    0    0    0    0    0    0    0    0    0    
0    0    0    0    0    0    0    0    0    0    0    
====================
有效值的个数:2
稀疏数组
11    11    2    
1    2    1    
2    3    2    
====================
还原
输出还原的数组
0    0    0    0    0    0    0    0    0    0    0    
0    0    1    0    0    0    0    0    0    0    0    
0    0    0    2    0    0    0    0    0    0    0    
0    0    0    0    0    0    0    0    0    0    0    
0    0    0    0    0    0    0    0    0    0    0    
0    0    0    0    0    0    0    0    0    0    0    
0    0    0    0    0    0    0    0    0    0    0    
0    0    0    0    0    0    0    0    0    0    0    
0    0    0    0    0    0    0    0    0    0    0    
0    0    0    0    0    0    0    0    0    0    0    
0    0    0    0    0    0    0    0    0    0    0

本笔记搭配视频【狂神说Java】Java零基础学习视频通俗易懂】

原文来自博客园,作者:黎明の微笑,https://www.cnblogs.com/Ge-sun-smile/p/17527458.html 

在此基础上按自己理解整理所得

评论
添加红包

请填写红包祝福语或标题

红包个数最小为10个

红包金额最低5元

当前余额3.43前往充值 >
需支付:10.00
成就一亿技术人!
领取后你会自动成为博主和红包主的粉丝 规则
hope_wisdom
发出的红包
实付
使用余额支付
点击重新获取
扫码支付
钱包余额 0

抵扣说明:

1.余额是钱包充值的虚拟货币,按照1:1的比例进行支付金额的抵扣。
2.余额无法直接购买下载,可以购买VIP、付费专栏及课程。

余额充值